|
Literature for DOID 303: substance-related disorder
Xenbase Articles
(
|
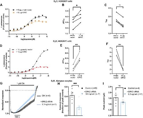
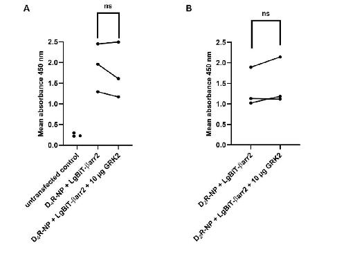
Dopamine-induced arrestin recruitment and desensitization of the dopamine D4 receptor is regulated by G protein-coupled receptor kinase-2.,
Burström V,Ågren R,Betari N,Valle-León M,Garro-Martínez E,Ciruela F,Sahlholm K,
Front Pharmacol. January 1, 2023; 14:1663-9812.
|
