|
Literature for DOID 28: endocrine system disease
Xenbase Articles
(
| Bisphenol A induces feminization in Xenopus laevis tadpoles., Levy G,Lutz I,Krüger A,Kloas W, Environ Res. January 1, 2004; 94(1):0013-9351. |
|
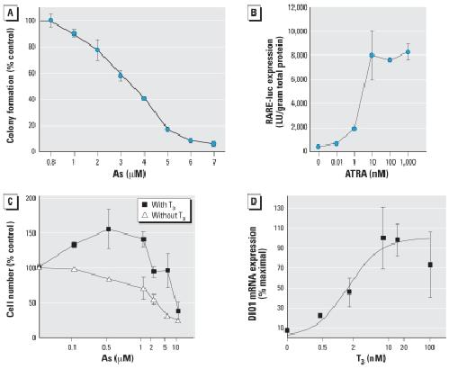
Arsenic as an endocrine disruptor: arsenic disrupts retinoic acid receptor-and thyroid hormone receptor-mediated gene regulation and thyroid hormone-mediated amphibian tail metamorphosis.,
Davey JC,Nomikos AP,Wungjiranirun M,Sherman JR,Ingram L,Batki C,Lariviere JP,Hamilton JW,
Environ Health Perspect. February 1, 2008; 116(2):0091-6765.
|
|
More similar than you think: Frog metamorphosis as a model of human perinatal endocrinology.,
Buchholz DR,
Dev Biol. December 15, 2015; 408(2):1095-564X.
|
