Click here to close Hello! We notice that you are using Internet Explorer, which is not supported by Xenbase and may cause the site to display incorrectly. We suggest using a current version of Chrome, FireFox, or Safari.
Summary Literature (6)
Literature for DOID 0050589: inflammatory bowel disease


Xenbase Articles :
( Denotes literature images)
An in vivo chemical library screen in Xenopus tadpoles reveals novel pathways involved in angiogenesis and lymphangiogenesis., Kälin RE,Bänziger-Tobler NE,Detmar M,Brändli AW, Blood. July 30, 2009; 114(5):1528-0020.
Embryonic frog epidermis: a model for the study of cell-cell interactions in the development of mucociliary disease., Dubaissi E,Papalopulu N, Dis Model Mech. March 1, 2011; 4(2):1754-8411.
The SLC2A14 gene, encoding the novel glucose/dehydroascorbate transporter GLUT14, is associated with inflammatory bowel disease., Amir Shaghaghi M,Zhouyao H,Tu H,El-Gabalawy H,Crow GH,Levine M,Bernstein CN,Eck P, Am J Clin Nutr. December 1, 2017; 106(6):0002-9165.
Transport Characteristics of 5-Aminosalicylic Acid Derivatives Conjugated with Amino Acids via Human H+-Coupled Oligopeptide Transporter PEPT1., Yuri T,Kono Y,Okada T,Terada T,Miyauchi S,Fujita T, Biol Pharm Bull. January 1, 2020; 43(4):1347-5215.
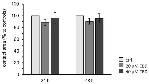
Cannabidiol Strengthening of Gastric Tight Junction Complexes Analyzed in an Improved Xenopus Oocyte Assay., Stein L,Vollstaedt ML,Amasheh S, Membranes (Basel). January 8, 2024; 14(1):2077-0375.
Ibuprofen-induced multiorgan malformation during embryogenesis in Xenopus laevis (FETAX)., Park MJ,Chae JP,Woo D,Kim JY,Kim JY,Bae YC,Lee JY,Lee JY,Lee SY,Nam EJ,Nam SW, Biochem Biophys Res Commun. February 9, 2024; 703:1090-2104.