|
Figure 1. Block of IRK1 currents by intracellular QAs. Current traces without and with TMA, TEA, TPrA, TBA, or TPeA (each at 0.3 mM). The currents were elicited by stepping membrane voltage from the 0-mV holding potential to −100 mV (25 ms), and then to various test potentials (100 ms) from −100 to +100 mV in 10-mV increments. All current traces were recorded from the same patch and corrected for background current. The dotted lines identify the zero current levels. |
|
Figure 2. Effects of QAs on the I-V relationship of IRK1 channels. (A) Steady-state I-V curves without and with various concentrations of one of five QAs obtained from the data as shown in Fig. 1. The current was determined at the end of each test pulse. (B) Ratios of the I-V curves with and without the QAs shown in A. The curves superimposed on the data are fits of the equation I/Io = Kd /(Kd + [QA]), where Kd = Kd(0 mV)e−ZFVm/RT. The Kd(0 mV) and Z values obtained from the fits are summarized in Fig. 9. |
|
Figure 5. Block of ROMK1 currents by intracellular QAs. Current traces without and with TMA, TEA, TPrA, TBA, or TPeA (each at 0.3 mM). The currents were elicited by stepping membrane voltage from the 0-mV holding potential to −100 mV (50 ms), and then to various test potentials (1 s) between −100 and +100 mV in 10-mV increments. All records were obtained from the same patch. |
|
Figure 3. Kinetics of voltage jump–induced IRK1 current relaxations in the presence of QAs. (A) Current traces at three representative test voltages in the presence of a fixed concentration of a given QA. (B) Current traces at three representative concentrations of a given QA at a fixed test voltage. All current traces were collected as shown in Fig. 1, but for clarity, only the outward currents are shown. |
|
Figure 4. Analysis of the voltage jump–induced IRK1 current relaxations in the presence of QAs. (A) For a given QA, the reciprocals of the time constants (1/τ; mean ± SEM, n = 5) obtained from the fits as shown in Fig. 3 are plotted against concentration and fitted with straight lines. (B and C) The natural logarithms of kon and koff (mean ± SEM, n = 5) are plotted against membrane voltage, respectively. The lines through the data are fits of the equation: ln k = ln k(0 mV) ± zFV/RT. The values of k(0 mV) and z thus obtained are summarized in Fig. 10. |
|
Figure 6. Effects of QAs on the I-V relationship of ROMK1 channels. (A) Steady-state I-V curves without and with various concentrations of one of five QAs, obtained from the data as shown in Fig. 5. (B) Ratios of the I-V curves with and without the QAs shown in A. The curves superimposed on the data are fits of the equation I/Io = Kd / (Kd + [QA]), where Kd = Kd(0 mV)e−ZFVm/RT. The Kd(0 mV) and Z values obtained from the fits are summarized in Fig. 9. |
|
Figure 7. Kinetics of voltage jump–induced ROMK1 current relaxations in the presence of QAs. (A) Current traces at three representative test voltages in the presence of a fixed concentration of a given QA. (B) Current traces at three representative concentrations of a given QA at a fixed test voltage. All current traces collected as shown in Fig. 5, but for clarity, only the outward currents are shown. |
|
Figure 9. Summary of equilibrium dissociation constants and corresponding valence factors of channel block by QAs. The Kd(0 mV) and Z values (mean ± SEM, n = 5) for each QA, obtained as shown in Fig. 2 and Fig. 6, are presented in A and B, respectively. The open and closed circles correspond to the data for IRK1 and ROMK1, respectively. |
|
Figure 8. Analysis of the voltage jump–induced ROMK1 current relaxations in the presence of QAs. (A) For a given QA, the reciprocals of the time constants (1/τ; mean ± SEM, n = 5) obtained from the fits as shown in Fig. 7 are plotted against the concentration and fitted with straight lines. (B and C) The natural logarithms of kon and koff (mean ± SEM, n = 5) are plotted against membrane voltage, respectively. The lines superimposed on the data are fits of the equation: ln k = ln k(0 mV) ± zFV/RT. The values of k(0 mV) and z thus obtained are summarized in Fig. 10. |
|
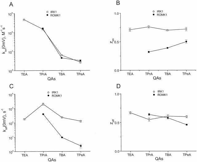
Figure 10. Summary of the rate constants and associated valence factors for channel block by QAs. The kon and koff values (mean ± SEM, n = 5) for a given QA are presented in A and C, and the zon and zoff in B and D, respectively. The open and closed circles correspond to the data for IRK1 and ROMK1, respectively. |
|
Figure 11. Block of mutant IRK1 and ROMK1 channels by intracellular quaternary ammoniums. IRK1-D172N and ROMK1-N171D current traces without and with TMA, TEA, or TPrA (each at 0.3 mM). The currents were elicited by stepping membrane voltage from the 0-mV holding potential to −100 mV (25 ms), and then to various test potentials (100 ms) from −100 to +100 mV in 10-mV increments. For each channel type, all records are from the same patch and corrected for background current. |
|
Figure 12. Comparison of equilibrium dissociation constants and associated valence factors for QA block of wild-type and mutant channels. The Kd(0 mV) and Z value (mean ± SEM, n = 5) for each of three QAs tested are presented in A and B, respectively. (circles) IRK1; (squares) ROMK1. (open symbols) Wild-type channels; (closed symbols) mutant channels. |
|
Figure 13. Models of QA entering the inner pore. The two systems are either without (A) or with (B) compliance and hindrance. |