Click here to close
Hello! We notice that you are using Internet Explorer, which is not supported by Xenbase and may cause the site to display incorrectly.
We suggest using a current version of Chrome,
FireFox, or Safari.
Nrl and Sp nuclear proteins mediate transcription of rod-specific cGMP-phosphodiesterase beta-subunit gene: involvement of multiple response elements.
Lerner LE, Gribanova YE, Ji M, Knox BE, Farber DB.
???displayArticle.abstract???
cGMP-phosphodiesterase (PDE) is the key effector in rod photoreceptor signal transduction. Mutations in the gene encoding its catalytic beta-subunit (beta-PDE) cause retinal degenerations leading to blindness. We report that the short -93 to +53 sequence in the upstream region of this gene is sufficient for beta-PDE transcription in both Y79 human retinoblastoma cells and Xenopus embryo heads maintained ex vivo. This sequence also functions as a minimal rod-specific promoter in transgenic Xenopus tadpoles. The Nrl transcription factor binds in vitro to the betaAp1/NRE regulatory element located within this region and transactivates it when overexpressed in nonretinal 293 embryonic kidney cells. We also found a G/C-rich activator element, beta/GC, important for promoter activity in Y79 retinoblastoma cells and Xenopus embryos. Both the ubiquitousSp1 and the central nervous system-specific Sp4 transcription factors are expressed in retina and interact with this element in vitro. Electrophoretic mobilities of beta/GC-Y79 nuclear protein complexes are altered by antibodies against Sp1 and Sp4. Thus, our results implicate Nrl, Sp1, and Sp4 in transcriptional regulation of the rod-specific minimal beta-PDE promoter. We also conclude that Xenopus laevis is an efficient system for analyzing the human beta-PDE promoter and may be used to study other human retinal genes ex vivo and in vivo.
Figure 1
Deletion analysis of the β-PDE promoter shows that the −93 to +53 region is sufficient to direct high levels of transcription in transient transfections of Xenopus embryos and Y79 human retinoblastoma cells. A, deletion constructs were transfected in dissected Xenopus embryo heads ex vivo. The −93 to +53 β-PDE construct transfected inXenopus embryo trunks is designated as −93 to +53/T. XOP, Xenopus opsin promoter.B, deletion constructs were transiently transfected in cultured Y79 human retinoblastoma cells. The relative luciferase activity was determined for each transfection system as described under “Experimental Procedures.” The results are expressed as a percentage of the mean activity ± S.D. produced by theXenopus opsin promoter in Xenopus embryo heads and by the SV40 promoter in Y79 retinoblastoma cells. Each transfection was carried out in triplicate and repeated at least 2–4 times.
Figure 2
The human β-PDEpromoter directs expression of GFP to rod photoreceptors in transgenic Xenopus. A representative 3-cm-long stage-56 froglet carrying a transgene that has the human β-PDE upstream sequence â93 to +53 directing expression of EGFP was photographed using a dissecting microscope under bright-field (A) or fluorescent (B) illumination. A merged image in C demonstrates that GFP expression is clearly visible and restricted to the eye. GFP expression was observed in early tadpoles and was stable through metamorphosis. Fluorescence was absent in nontransgenic siblings. The fluorescence from only one eye is visible in this picture, because the other eye is not at the appropriate angle for the dissecting microscope imaging system. Radial cross sections were prepared from fixed and frozen eyes from transgenic froglets. Fluorescent microscopy (D) shows clear GFP expression in rod photoreceptors and no expression in other cell types of the retina including the cones (arrows). Expression of GFP was higher in the inner segment and cell body than the outer segments, reflecting the relative cytosolic volumes of these compartments. E, the section was illuminated with UVA light to reveal the fluorescence from cone oil droplets. A merged image (F) shows that GFP fluorescence is not seen in cells that have oil droplets and is found exclusively in rod photoreceptors. Scale bar, 50 microns. RPE, retinal pigment epithelium; OS, photoreceptor outer segments; INL, inner nuclear layer; G, ganglion cell layer; L, lens.
Figure 3
Serial deletion analysis of the −93 to +53 β-PDE minimal promoter demonstrates multiple potential regulatory sequences. Transient transfections of Y79 human retinoblastoma cells (light bars) andXenopus embryo heads maintained ex vivo(black bars) were carried out using sequential 5′-end deletion constructs of the −93 to +53 β-PDE region fused to the luciferase reporter gene. Results are expressed as a percentage of the mean luciferase activity produced by the −93 to +53 construct ± S.D. The transfections were carried out in triplicate and repeated at least 2–4 times.
Figure 6
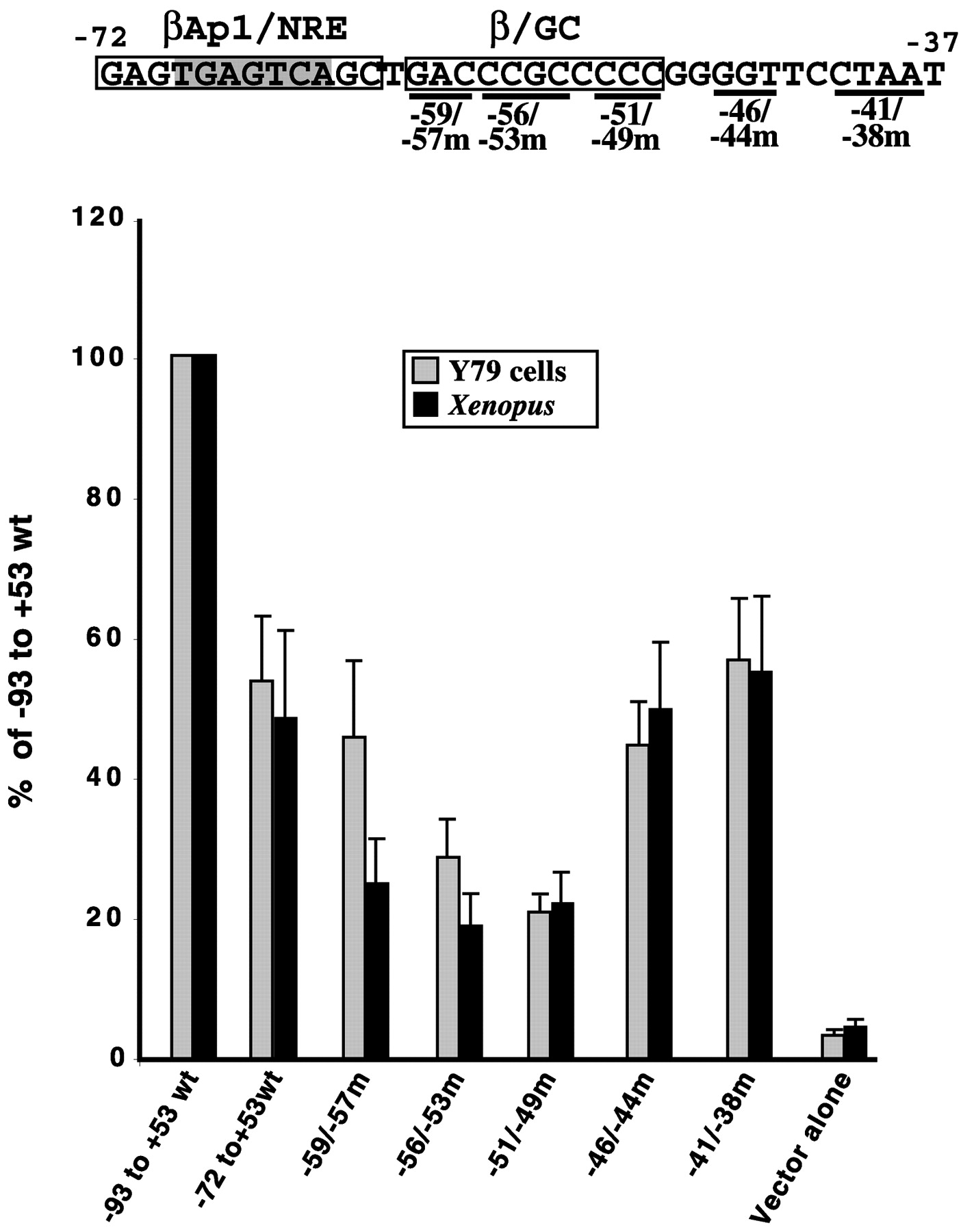
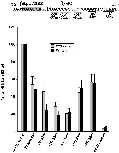
Substitution mutant analysis demonstrates the presence of a β/GC control element in the −93 to +53 region of the β-PDE promoter.Several β-PDE/luciferase fusion constructs were generated in the context of the −72 to +53 β-PDE sequence. Each construct contained a 3- or 4-bp transversion mutation. Upper panel, all mutations are summarized in this sequence and underlined. Putative βAp1/NRE and β/GC response elements are boxed and labeled. Lower panel, transient transfections of the constructs in Y79 retinoblastoma cells (light bars) andXenopus embryos (dark bars) delineated the important β/GC regulatory sequence at the −59 to −49 nucleotides. Luciferase activity was measured and normalized as appropriate for each of the transfection systems. Transfections were carried out in triplicate and repeated several times. The results are expressed as a percentage of the mean activity of the wild-type −93 to +53 sequence ± S.D.