Click here to close
Hello! We notice that you are using Internet Explorer, which is not supported by Xenbase and may cause the site to display incorrectly.
We suggest using a current version of Chrome,
FireFox, or Safari.
???displayArticle.abstract???
In the early Xenopus embryo, the dorsal axis is specified by a Wnt signal transduction pathway, involving the movement of beta-catenin into dorsal cell nuclei and its functional association with the LEF-type transcription factor XTcf3. The subsequent function of XTcf3 is uncertain. Overexpression data has suggested that it can be both an activator and repressor of downstream genes. XTcf3 mRNA is synthesized during oogenesis in Xenopus and is stored in the egg. To identify its role in dorsal axis specification, we depleted this maternal store in full-grown oocytes using antisense deoxyoligonucleotides, and fertilized them. The developmental effects of XTcf3 depletion, both on morphogenesis and the expression of marker genes, show that primarily, XTcf3 is an inhibitor, preventing both dorsal and ventral cells of the late blastula from expressing dorsal genes. We also show that simple relief from the repression is not the only factor required for dorsal gene expression. To demonstrate this, we fertilized eggs that had been depleted of both XTcf3 and the maternal transcription factor VegT. Dorsal genes normally repressed by XTcf3 are not activated in these embryos. These data show that normal dorsal gene expression in the embryo requires the transcriptional activator VegT, whilst XTcf3 prevents their inappropriate expression on the ventral side of the embryo.
Fig. 1. Depletion of maternal XTcf3 RNA. (A) Real-time PCR analysis of XTcf3 and XTcf4 RNA levels in uninjected oocytes (Un) and oocytes injected with 3.5 ng XTcf3 oligo T1. (B) Real-time PCR analysis of XTcf3 and XTcf4 RNA levels in uninjected oocytes (Un) and oocytes injected with 5 ng XTcf3 oligo T2.
Fig. 2. Depletion of XTcf3 causes a dorso-anteriorized phenotype. (A) Vegetal views of wild-type uninjected gastrula (top left; brown) and embryos injected with increasing doses of XTcf3 oligos (T1); 2.5 ng (top right; blue), 3.0 ng (bottom left; mauve) or 3.5 ng (bottom right; red). (B) Phenotypes of tailbud stage embryos (top) and isolated marginal zones (bottom) from uninjected controls (Un) or embryos injected with the indicated doses of XTcf3 oligos (T1; in ng). The embryos are from the same experiment as in A and the color code is the same. Excessive elongation is evident in isolated XTcf3â marginal zone explants. (C) Phenotype of XTcf3â embryos (TCFâ, 4 ng oligo T1) at the early tadpole stage (Un, uninjected). (D-F) Injection of XTcf3 RNA can rescue the XTcf3â phenotype. These experiments used oligo T1 (3 ng, D,E) or T2 (5 ng, F). 100 pg of XTcf3 RNA was injected in rescued embryos. (D)Vegetal views of uninjected (Un, brown) and XTcf3â gastrulae (TCFâ, mauve) compared to embryos from the same experiment injected with XTcf3 RNA (right row, arrowheads). Note reduced blastopore protrusion and delayed gastrulation in the rescued XTcf3â embryos (bottom right two embryos). (E,F) Phenotypes of XTcf3â (TCFâ) and rescued embryos (TCFâ +RNA) at the tailbud stage. Prominent notochords (arrowhead in E) and swollen anteriorendoderm (arrowhead in F) in XTcf3â embryos are absent in rescued embryos. Heads are reduced in rescued embryos (arrows) owing to the ventralizing effect of overexpressed XTcf3.
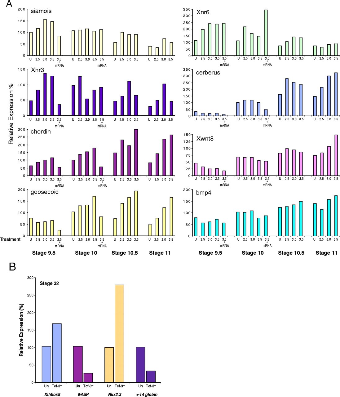
Fig. 3. XTcf3â embryos express higher levels of dorso-anterior marker genes. (A) Uninjected (U), XTcf3â embryos (2.5 ng, 3 ng or 3.5 ng T1 oligo) or XTcf3-embryos injected with 100 pg XTcf3 RNA (3.5 + mRNA) were collected throughout gastrulation (stages 9.5-11) and were analyzed by real-time RT-PCR. All samples in A were from a single host-transfer experiment. Relative expression levels for each gene were determined by comparison to a standard curve generated by serial dilution (100%-10%) of uninjected stage 10 controls. Expression levels of all genes were normalized to the level of ornithine decarboxylase prior to quantitation (not shown). Expression of early dorsal genes (siamois, Xnr3, chordin, goosecoid, Xnr6 and cerberus) were increased in XTcf3â embryos and rescued (with the exception of Xnr6) by injection of XTcf3 RNA (3.5 + mRNA). (B) Uninjected (Un) or XTcf3â embryos (Tcf3â, 4 ng T1 oligo) were frozen at the tailbud stage (stage 32) for real-time RT-PCR as above. Stage-32 uninjected embryos were used for the standard curve. Late dorso-anterior genes Xlhbox8 and Nkx 2.3 were increased in XTcf3â embryos. IFABP and α-T4 globin were decreased in XTcf3â embryos.
Fig. 4. Dorsal genes are ectopically expressed in XTcf3â embryos. (A) siamois and Xnr3 are activated in animal caps from XTcf3â embryos. Animal caps were isolated from stage-8 uninjected or XTcf3â embryos (5 caps each) and cultured to stage 11 prior to processing for real-time RT-PCR as above. Expression levels are relative to 100% stage-11 uninjected controls. Direct Wnt target genes siamois and Xnr3 are ectopically expressed while dorsal mesoderm genes (chordin and goosecoid) are not. (B) Dorsal genes are up-regulated both dorsally and ventrally in XTcf3â embryos. Uninjected or XTcf3â embryos were bisected during gastrulation at the indicated stages and processed immediately for real-time RT-PCR. Expression levels were normalized to ODC and are relative to 100% uninjected stage 10.5 embryos (not shown). Dorsal genes (siamois, chordin, Xnr3 and goosecoid) are up-regulated in both dorsal and ventral explants of XTcf3â embryos compared to controls. (C) Comparison of dorsal and ventral gene expression in XTcf3â embryos and axinâ embryos. XTcf3â and axinâ embryos obtained from sibling donor oocytes were bisected as above and analyzed by real-time RT-PCR. Note the more severe inhibition of Xwnt8 expression and enhanced goosecoid expression in axinâ embryos.
Fig. 5. Depletion of XTcf3 does not rescue organizer formation in VegTâ embryos. (A) Phenotypes of uninjected controls, XTcf3â (blue; 3 ng T1), VegTâ (red; 6 ng) and XTcf3â/VegTâ (mauve; 3 ng T1+6 ng VegT oligo) at the tailbud stage. XTcf3â/VegTâ embryos resemble the VegTâ embryo. (B) Real-time RT-PCR analysis of XTcf3â/VegTâ embryos. Sibling embryos of those shown in A were collected at the indicated stages during gastrulation and analyzed for expression of dorsal/ventral patterning markers. siamois and Xnr3 are up-regulated in XTcf3â embryos and remain at high levels in XTcf3â/VegTâ embryos. Goosecoid and Xnr6 are up-regulated in XTcf3â embryos but are not expressed in either VegT â or XTcf3â/VegTâ embryos. Chordin, Xnr1 and Xsox17α have a similar pattern of expression, but are not as severely affected as goosecoid and Xnr6. Bmp4 is unaffected by depletion of either XTcf3 or VegT.