Click here to close
Hello! We notice that you are using Internet Explorer, which is not supported by Xenbase and may cause the site to display incorrectly.
We suggest using a current version of Chrome,
FireFox, or Safari.
J Exp Zool B Mol Dev Evol
2026 Mar 12;3462:141-151. doi: 10.1002/jezb.70012.
Show Gene links
Show Anatomy links
Escaping Constraints to Innovate: Maternal Neofunctionalization in a HoxB4 Duplicate.
Carvalho JL, Silva-Filho JC, de Oliveira JL.
???displayArticle.abstract???
Transcription factors are typically thought to play a limited role in developmental evolution due to their high pleiotropic nature. However, such constraints may be relaxed following gene duplication or when proteins are organized into structural and functional modules, opening avenues for evolutionary innovation. Here, we integrate expression and genomic data to investigate the evolutionary dynamics of Hox gene duplicates in the allotetraploid frog Xenopus laevis. Despite overall conservation across the Hox clusters, we find that HoxB4L has acquired expression during maternally regulated stages and is evolving under positive selection. Protein-level changes include the number, length, and sequence of functionally important protein regions. Our results indicate that HoxB4L has escaped ancestral constraints and is undergoing maternal neofunctionalization as a result of cis-regulatory divergence and structural protein modifications. These findings illustrate how transcription factors can overcome developmental constraints and contribute to novel functions during early development.
EDITAL PROPCI - PROPG/UFBA 007/2022 Universidade Federal da Bahia - UFBA, 406993/2023-8 Conselho Nacional de Desenvolvimento Científico e Tecnológico, INC0006/2019 Conselho Nacional de Desenvolvimento Científico e Tecnológico, INC0006/2019. Fundação de Amparo à Pesquisa do Estado da Bahia
Figure 1. Expression patterns of HoxB4L and HoxB4S homeologues. (A) Comparison of average expression levels between homeologues was performed using two-tailed T-tests. Expression specificity was assessed via the Tau index (calculated for each copy and its difference), and overall expression profiles were compared using Pearson's correlation coefficients. (B) Temporal expression of HoxB4L and HoxB4S across developmental and adult stages of Xenopus laevis.
Figure 2. Evolutionary analyses of putative cis-regulatory regions at the HoxB4L/S loci. (A) Full 5 kb upstream regions of X. laevis HoxB4L/HoxB4S and X. tropicalis HoxB4 (purple), with conserved regions (orange) identified based on phastCons scores > 0.8 (red dashed line). Coordinates and sequence length of X. tropicalis were used as a reference. (B) Tajima's relative rate tests and pairwise estimates of sequence divergence for the full 5 kb upstream region (purple) and for the concatenated sequence of the eight highly conserved regions across amphibian genomes (orange).
Figure 3. In silico analyses of HoxB4 proteins. (A–C) Primary structures and AlphaFold-predicted 3D models of X. laevis HoxB4L (A), HoxB4S (B), and X. tropicalis HoxB4 (C) (Abramson et al. 2024). Colours indicate N- and C-terminal intrinsically disordered regions (IDRs) and the homeodomain. Letters below each residue denote secondary structure predicted by PROTEUS2 (Montgomerie et al. 2008) (C = coil; E = β-strand; H = helix). In (A), arrows highlight the four amino acid residues under positive selection. In the structural models, H1-H3 refer to homeodomain helices; arrows indicate the first (white) and last (black) residues of each IDR. Average pLDDT scores are shown. (D) Alignment of the N-IDR region, showing high conservation scores for the 22-residue segment corresponding to HoxB4L, except for the three positively selected sites indicated by red arrows. Symbols denote residue conservation: (*) identical; (:) conservative substitution; (.) semi-conservative substitution; () non-conservative substitution. (E) Predicted HoxB4L-Irx5L complex generated with HADDOCK 2.4 (Honorato et al. 2024), showing helix H3 inserted into the DNA major groove and the TAAT motif on the 5′-3′ strand. The four residues under positive selection are highlighted (green and grey sticks). (F) Distinct spatial arrangements of the N-IDRs of the HoxB4 proteins, revealing different orientations of Irx5 DNA (blue cartoon) in each complex.
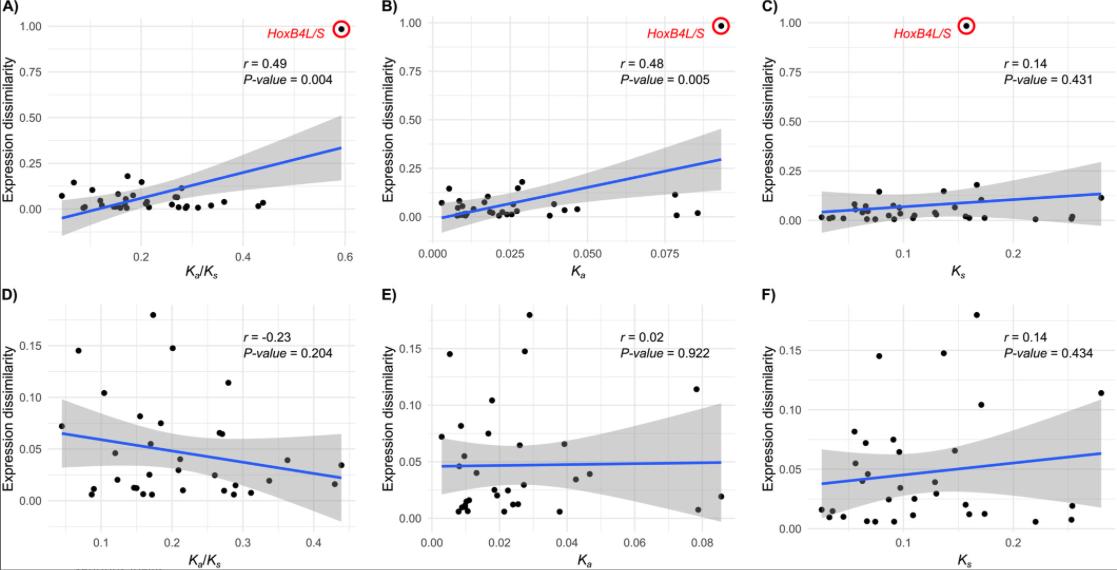
Figure 4. Correlation analyses between expression divergence and coding sequence evolution. Positive correlations are observed between expression dissimilarity (ED) and the ratio of nonsynonymous to synonymous substitutions (Ka/Ks) (A), nonsynonymous divergence (Ka) (B), and synonymous divergence (Ks) (C). However, these correlations are not significant when the outlier HoxB4L/S is excluded from the analyses (D–F).
Figure S1. Temporal expression profile of HoxB4 in Xenopus tropicalis. Expression levels of HoxB4 across embryonic development are shown based on RNA-seq data from Owens et al. (2016). Profiles are shown for two independent, synchronously developing in vitro fertilization clutches (Clutch A, blue; Clutch B, green) and for ribo-depleted RNA-seq data (Ribo-zero, magenta). The x-axis indicates developmental stages, and the y-axis represents transcript abundance expressed as transcripts per embryo (×1,000). No detectable HoxB4 expression is observed during maternally regulated stages (NF 1-8/9), with expression initiating after the maternal-to-zygotic transition and increasing during gastrulation and subsequent developmental stages.
Figure S2. Nucleotide sequences of Irx5 genes used to model DNA fragments for molecular docking analyses with HoxB4 proteins. The 5′ upstream regions (lowercase) and the first coding sequences (uppercase) of each gene are shown. The 18-bp segments containing the TAAT motif (bold) are highlighted and the two immediately downstream nucleotides, defined as the active sites for the docking simulations, are underlined. All sequences were retrieved from the Alliance of Genome Resources using the “Genomic with full introns ±500 bp upstream/downstream” option.