|
Figure 1.Examples of how maternal and paternal heterozygosity is inherited in sons and daughters with different sex chromosome systems and dominance hierarchies among the sex chromosomes (indicated with greater than signs), and with the same simplifications that were assumed for the simulations (Methods). With two sex chromosomes and male heterogamety, such as in humans (left), son-specific heterozygous positions are shared with the father due to polymorphisms on the Y chromosome; heterozygous positions in the mother are not daughter-specific or son-specific. With a triple sex chromosome system and the Y dominant over the W for maleness (middle), a cross between a ZW mother and a ZY father results in transmission of W-linked heterozygosity from the mother to all daughters and also some (1/3rd) sons; son-specific heterozygous positions are not fixed in all sons but are shared with the father due to polymorphisms on the Y chromosome. With the W dominant for femaleness over two diverged Z chromosomes (Z1, Z2) (right), a cross between a WZ1, mother and a Z2Z2 father results daughter-specific and son-specific genotypes that are shared with the mother due to polymorphisms on the W and Z1, respectively. However, heterozygous positions in the father are not daughter-specific or son-specific. As discussed below, the sex chromosome genotypes shown here correspond with inferences for X. tropicalis family C659 (middle) and the X. epitropicalis and the X. mellotropicalis families (right). These and other triple sex chromosome scenarios are discussed further in the Supplementary text and Figure S1. |
|
Figure 2.Plots of the probability of association between molecular variation (single nucleotide polymorphisms, SNPs) and sex (female, male) on chromosome 7 evidence conservation of the location of the sex-linked region in all four species in the subgenus Silurana. Gray, orange, and red dots indicate the − log10 transformed probability (p) of tests of the null hypothesis that each SNP is randomly associated with sex, and correspond to > 0.1%, 0.1%–0.05%, or the < 0.05% percentiles, respectively, across genome-wide RRGS variants for each species. Vertical lines indicate the location of the centromere. Results from X. tropicalis and X. mellotropicalis were previously reported (Evans et al., 2024). The signal of sex association on Chr7 in X. mellotropicalis is weak but was previously confirmed using Sanger sequencing (Cauret et al., 2020). |
|
Figure 3.Association between maternal (mat—left) and paternal (pat—right) variant sites and offspring sex on chromosome 7 in RRGS data from five families from four Silurana species provides information on chromosome systems in each species. Except for X. calcaratus, a maternal variant site is a position that is heterozygous in the mother but homozygous in the father; paternal variants are the opposite. In X. calcaratus, maternal variants are heterozygous in the mother, and some of these positions may also be heterozygous in the father (information was lacking from the father). Inferred genotypes of the parents are in parentheses with alternatives discussed in the main text. Colors and lines follow Figure 2. |
|
Figure 4.Counts of daughter-specific and son-specific heterozygous positions (defined in the Methods) in 1 Mb windows on chromosome 7 (Chr7) in five families from four Silurana species. Venn diagrams indicate the overlap between maternal-specific (m), paternal-specific (p), daughter-specific (d), and son-specific (s) heterozygous positions in the first 20 Mb of chromosome 7. Pseudoheterozygous positions (discussed in main text) are not expected to be daughter-specific or son-specific, but elevate the numbers of maternal-specific and paternal-specific counts in the Venn diagrams for the three allotetraploid species if one parent is mis-inferred to be homozygous. |
|
Figure 5.Admixture analysis of X. tropicalis whole genome sequences mapped to the X. tropicalis reference genome distinguishes the Liberia sample from the other geographical isolates. Sample abbreviations are defined in Supplementary Table S1. |
|
Figure 6.Inferred phylogenetic history of subgenus Silurana, genus Xenopus. Asterisks indicate independent allotetraploidization events, and a female symbol indicates the maternal ancestral lineage for one of these events based on the mitochondrial phylogeny. The sister relationship between X. mellotropicalis and X. epitropicalis is based on mitochondrial genomes and cloned paralogs of the autosomal genes RAG1 and RAG2 (Evans, 2007; Evans et al., 2005; Evans et al., 2019). Two site pattern tests summarized in Tables 3 and 4 and described in the Supplementary material support (a) allotetraploidization of the ancestor of (X. mellotropicalis + X. epitropicalis) before population structure arose in X. tropicalis and (b) allotetraploidization of the ancestor of X. calcaratus after the Liberia lineage became differentiated from other X. tropicalis. A dagger indicates a putative unsampled diploid ancestor. |
|
SI Fig. 1. Expectations associated with parental crosses in four types of triple sex chromosomesystems including (top left) Y dominant for maleness over the W and with a Z chromosome, (top right) W dominant for femaleness over the Y and with a Z chromosome, (bottom left) Y dominant for maleness over the W and with an X chromosome, and (bottom right) W dominant for femaleness over the Y and with an X chromosome. As indicated by the legend, colors on the right indicate whether maternal, paternal, or no parental sex-limited SNPs (no color) expected; colors on the left indicate whether daughter-specific and/or son-specific SNPs are expected to overlap with maternal or paternal sex-linked SNPs. The scenario on the top right is genetically equivalent to a scenario with a W chromosome and two diverged Z chromosomes (Z1, Z2), as depicted on the right side of Fig 1. Likewise, the scenario on the bottom left is genetically equivalent to a scenario with a Y chromosome and two diverged X chromosomes (X1, X2). |
|
SI Fig. 2. Geographical origins of wild-caught and captive Xenopus samples used for WGS, with detailed locality information provided in Table S1 and colors follow SI Fig. 10. The dotted line demarcates the approximate distribution of Xenopus tropicalis inferred by Tinsley et al. (1996). |
|
SI Fig. 3. Alternative patterns of homozygous “autapomorphies” in diploid whole genome sequences allow us to test whether one or multiple allotetraploidization events occurred in subgenus Silurana. With species B as the focal allotetraploid, we expect the numbers of Pattern1 and Pattern2 sites to be similar under scenarios where divergence between the focal allotetraploid and each diploid is the same (indicated by pairs of blue branches in the left two phylogenies). Under various scenarios such as the three depicted on the right, more Pattern1 than Pattern2 sites are expected if the diploid sample A is more closely related than C to the focal allotetraploid. We assume here that the effective population size and mutation rates are similar in both diploid species; a dagger indicates an unsampled diploid ancestor. |
|
SI Fig. 4. Analysis of heterozygous “pseudoheterozygotes” from allotetraploid whole genome sequences mapped to the diploid X. tropicalis reference genome allows us to test whether one or multiple allotetraploidization events occurred in subgenus Silurana. We quantified patterns of genotypes where a focal allotetraploid (either X. calcaratus or X. mellotropicalis) was heterozygous, another allotetraploid was homozygous, and two diploid X. tropicalis were homozygous for different variants. We assume that most heterozygous genotypes in the focal allotetraploid stems from divergence between subgenomes. Most shared variants with diploid species are assumed to be due to shared ancestry, including contributions of incomplete lineage sorting. With species B as the focal allotetraploid, we expect the numbers of Pattern1 and Pattern2 sites to be similar under scenarios where the divergence time between the focal allotetraploid and each diploid is the same (indicated by red and blue branches in the left three phylogenies). Under other scenarios where the divergence times between the focal allotetraploid and each diploid differ – such as the red and blue lines in the three phylogenies depicted on the right – we expect more Pattern1 than Pattern2 sites. In the three phylogenies on the right, brackets highlight portions of the phylogeny that make diploid C more diverged than diploid A from one subgenome of the focal allotetraploid. We assume here that the effective population size and mutation rates are similar in both diploid species. Our interpretations of results of this and other analyses discussed in the main text favor the first of the three scenarios on the bottom right side where the number of Pattern1 is greater than the number of Pattern2 sites. A dagger indicates an unsampled diploid ancestor. |
|
SI Fig. 5. Association between single nucleotide polymorphisms and sex across the whole genome. For the allotetraploid species (X. calcaratus, X. mellotropicalis, X. epitropicalis) data from both subgenomes are mapped to the reference genome from the diploid X. tropicalis. A signal of association of variants in the beginning of chromosome 7 is apparent in all species (albeit weaker for X. mellotropicalis, see main text). |
|
SI Fig. 6. Association between maternal (mat) and paternal (pat) variant sites on chromosome 8 in X.
352 mellotropicalis suggests additional sex-linked complexity in this species beyond the role of the distal
353 end of chromosome 7 (Figs. 2, 4; Cauret, et al. 2020). Colors and lines follow Fig. 2. |
|
SI Fig. 7. Haplotype plots for X. mellotropicalis of positions on chromosome 7 that are heterozygous in the mother (left) and on chromosome 8 that are heterozygous in the father (right). Son- and daughter-specific maternal heterozygous positions on beginning of chromosome 7 are consistent with a WX mother; son-specific heterozygous paternal positions on chromosome 8 are consistent with additional complexity in the data that may be related to variation in coverage as discussed above in the Supplement. |
|
SI Fig. 8. Simulations indicate that a triple sex chromosome system with the Y dominant for maleness over the W drifts to either of two sex chromosome systems (top panel): a ZW/ZZ system where the frequency of the W chromosome is 0.25 (52 simulations) or a WW/WY (= XX/XY) system where the frequency of the W chromosome is 0.75 (48 simulations). Even while all three sex chromosomes are still segregating, the female:male (F/M) sex ratio rapidly converges to one (bottom panel). |
|
SI Fig. 9. Estimated phylogenetic relationships among assembled mitochondrial genomes of samples from subgenus Silurana and GenBank accessions (left) and of subsetted variable positions in the nuclear genome of X. tropicalis samples (right). Gray and black dots over nodes indicate bootstrap support over 70 and 90 respectively. In the mitochondrial phylogeny an asterisk highlights a putative X. tropicalis / X. calcaratus hybrid that carries a X. tropicalis mitochondrial genome, and some genomes are represented by accession numbers including AP014695.1, which is the accession from the Asashima line (Haramoto, et al. 2016). Scale bar for the nuclear phylogeny refers to rate of evolution of variable sites rather than of all sites. |
|
SI Fig. 10. Individual pairwise nucleotide diversity (p) based on whole genome sequencing data for each WGS sample in this study. All individuals with average heterozygosity (dots) below 0.03 have mitochondrial genomes from X. tropicalis and/or the Liberia strain. Those with average392 heterozygosity above 0.03 have X. calcaratus mitochondrial DNA except for NG4, which had X. tropicalis mitochondrial DNA. Diversity of reads mapped to the X. tropicalis reference is also shown for each of two allotetraploids X. calcaratus (Cal) and X. mellotropicalis (Mel). Sample abbreviations are defined in Table S1. |
|
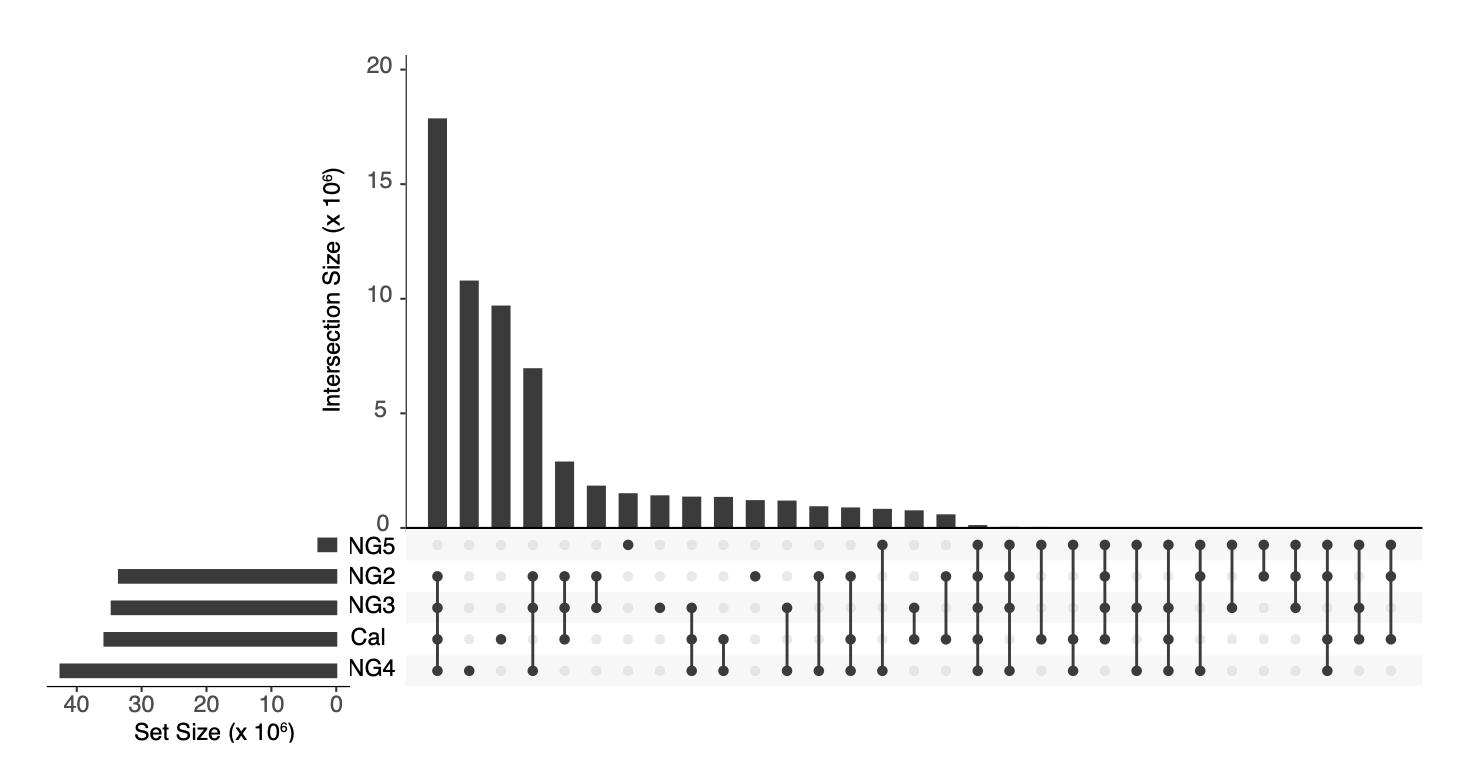
SI Fig. 11. Many heterozygous genotypes are shared between X. calcaratus (Cal) and three of four wild caught samples from Nigeria (NG2, NG3, NG4, but not NG5), which is consistent with inferences based on heterozygosity and mitochondrial DNA that NG2 and NG3 are X. calcaratus and that NG4 is a polyploid X. tropicalis/X. calcaratus hybrid that carries a X. tropicalis mitochondrial genome. |
|
SI Fig. 12. Principal components analysis of X. tropicalis samples mapped to the version 10 of the reference genome of X. tropicalis distinguishes the Liberia sample on PC1 and the geographic isolates of other samples on PC2 and PC3. |
|
SI Fig. 13. Admixture analysis of X. tropicalis whole genome sequences mapped to the L subgenome of the reference genome of X. laevis also distinguishes the Liberia sample from the other geographical isolates. Sample abbreviations are defined in Table S1. |
|
SI Fig. 14. Principal components analysis of X. tropicalis whole genome sequences mapped to the L subgenome of the reference genome of X. laevis also distinguishes the Liberia sample on PC1 and the geographic isolates of other samples on PC2 and PC3. |
|
SI Fig. 15. A heatmap of the average pairwise FST in 5 Mb windows between whole genome sequences of X. tropicalis mapped to the X. tropicalis reference genome illustrates strong differentiation of the sample from Liberia. Sample abbreviations are defined in Table S1. |
|
SI Fig. 16. A heatmap of the average pairwise FST in 5 Mb windows between whole genome sequences of X. tropicalis mapped to the L subgenome of the reference genome of X. laevis also illustrates strong differentiation of the sample from Liberia. Sample abbreviations are defined in Table S1. |