Click here to close
Hello! We notice that you are using Internet Explorer, which is not supported by Xenbase and may cause the site to display incorrectly.
We suggest using a current version of Chrome,
FireFox, or Safari.
EFSA J
2025 Dec 11;2312:e9815. doi: 10.2903/j.efsa.2025.9815.
Show Gene links
Show Anatomy links
The assessment for potential thyroid-mediated endocrine disruption in amphibians: Clarification on the use of new methods and on the interpretation of changes in thyroid histology.
European Food Safety Authority (EFSA), Baumann L, Baynes A, Bennekou SH, Crofton K, Dang Z, Degitz S, Fini JB, Gilbert M, Holbech H, Terron A, Van Duursen M, McVey E, Arena M, Kienzler A, Rizzuto S, Bouza LV, Wilks M.
???displayArticle.abstract???
Amphibians (specifically Xenopus laevis) are used as the model species to assess potential endocrine-disrupting properties in non-mammalian species through thyroid modality. The amphibian metamorphosis assay is the most frequently available test. Attempts have been made to modify this protocol in order to make it more fit for purpose and overcome potential limitations. In light of these developments, EFSA, with the support of the Working Group on Endocrine Disruptors, under the auspices of a self-task mandate here endeavours to clarify the pros and cons of newly proposed amphibian protocols when compared with the standard guideline tests. Moreover, recommendations to facilitate the interpretation of findings in relation to changes in thyroid histopathology have been included.
FIGURE 1. Duration of exposure and life stages covered in the available protocol with Xenopus sp. considered in this analysis (adapted from Couderq et al., 2020).
FIGURE 2. Thyroid signalling in amphibian metamorphosis (adapted from Orton and Tyler (2015) and Ikegami and Yoshimura (2017)).
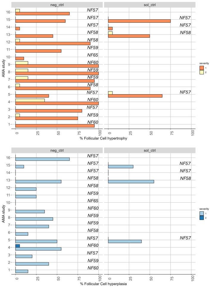
FIGURE 3. Specific occurrence of follicular cell hypertrophy (upper panel) and hyperplasia (lower panel) in both the negative (neg_ctrl) and solvent (sol_ctrl) control animals in the AMA studies. The median developmental stage is reported in italics for each study. Severity 1 = mild (~30%–50% of tissue affected), Severity 2 = moderate (~60%–80% of tissue affected).
FIGURE 4. Specific occurrence of follicular cell hypertrophy (upper panel) and hyperplasia (lower panel) in both the negative (neg_ctrl) and solvent (sol_ctrl) control animals in the EAMA studies. Severity 1 = mild (~30%–50% of tissue affected), Severity 2 = moderate (~60%–80% of tissue affected).
FIGURE 5. Specific occurrence of follicular cell hypertrophy (upper panel) and hyperplasia (lower panel) in control animals in the LAGDA studies.
FIGURE 6. Thyroid hormone peaks in amphibians in relation to developmental stages (adapted from Holzer and Laudet, 2013).