Click here to close
Hello! We notice that you are using Internet Explorer, which is not supported by Xenbase and may cause the site to display incorrectly.
We suggest using a current version of Chrome,
FireFox, or Safari.
Reprod Toxicol
2025 May 17;134:108896. doi: 10.1016/j.reprotox.2025.108896.
Show Gene links
Show Anatomy links
Use of the alternative test R-FETAX (Refined-Frog Embryo Teratogenicity Assay-Xenopus) to evaluate the Fetal Alcohol Spectrum Disorders (FASD).
Battistoni M, Di Renzo F, Metruccio F, Bacchetta R, Menegola E.
???displayArticle.abstract???
Fetal Alcohol Spectrum Disorders (FASD) refer to a range of conditions in children caused by alcohol consumption during pregnancy, including morphological defects, developmental delays, and neurobehavioral impairments. Ethanol (EtOH) at high concentrations (1-3 % v/v) was shown to induce malformations and lethality in Xenopus laevis embryos exposed throughout the FETAX test (from the mid-blastula stage to the final pre-feeding larval stage). The aim of this work was to evaluate multiple morphological and neurobehavioral effects of EtOH exposure (0.1-3 % v/v) using the R-FETAX protocol. Embryos obtained through natural mating were exposed during specific developmental windows: the organogenetic period (sensitive to morphological abnormalities) and the neurodevelopmental window (sensitive to behavioral alterations). Additional groups were exposed either throughout the entire test duration (classical FETAX exposure) or for a brief 4-hour period before the end of the test (acute exposure). Lethality was monitored over the six-day test period. At the conclusion of the test, a functional deglutition test was performed, and external gross morphology as well as developmental delays (FETAX-score method) were assessed. Neurobehavioral swimming test was conducted only on tadpoles considered normal at gross morphological evaluation. Dose-response relationships were modeled using PROAST software to derive benchmark dose levels, with response set at levels used as points of departure for risk assessment. The findings demonstrated dose- and stage-specific effects that mimic FASD symptoms observed in humans. These results emphasize that no amount of alcohol exposure can be considered safe during development.
Fig. 1. The three main neurodevelopmental phases in X. laevis and their correspondence to human developmental phases, as described by Exner and Willsey [12], are shown. X. laevis stages are based on Nieuwkoop and Faber, 1956 [14], while human stages are based on Sestan and State [47].
Fig. 2. R-FETAX exposure protocol. Grey boxes represent EtOH exposure windows. NF 10-46: whole test period, with the exception of the last 4h; NF 10-40: embryogenetic period (including neurulation/neurogenesis); NF 40-46: tadpole stages (including neuron migration/ innate neuromotor reaction end of the test), with the exception of the last 4h; acute: exposed during the last 4h. White boxes indicate the maintenance in FETAX solution
Fig. 3. Data modelling of total affected (dead+ abnormal) tadpoles exposed to EtOH at different developmental stages or in acute setting BMR at 50 %. (A) Data fit of total affected in groups exposed to EtOH setting the exposure period as covariate, during the whole test period (NF 10–46, red- cross), during the embryogenetic period (NF 10–40, black- upward triangle), at tadpole stages (NF 40–46, green- diamond), or in acute (4 h at the end of the test, blue- downward triangle). (B) Comparison among BMD50 Confidence Intervals shows similar embryotoxic effects (with overlapping Confidence Intervals) between groups exposed at NF 10–46 (red) and NF 10–40 (black), while the exposure at NF 40–46 (green) resulted effective only at higher doses.
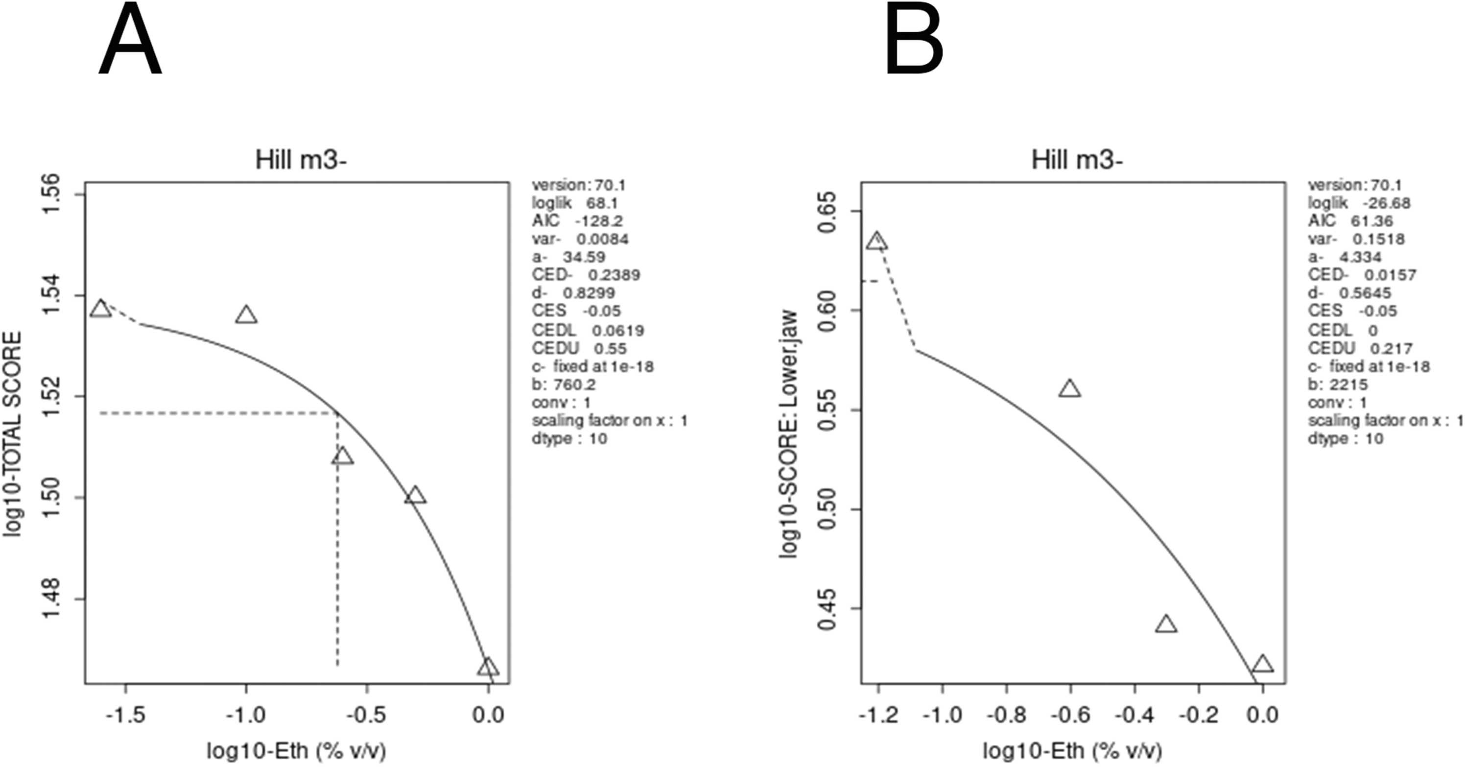
Fig. 4. Data modelling (PROAST) showing dose-related decreases of total score, lower jaw score in NF 10–40 groups exposed to EtOH 0–0.5 %. (A) Total score; (B) Lower jaw score. BMD-0.05 lower value was EtOH 0.009 %, derived by lower jaw score modelling.
Fig. 5. Swimming test evaluation. A) Typical swimming route observed in unexposed samples; B) Disorganized swimming route in one sample exposed to EtOH 0.5%; C) Disorganized swimming route in one sample exposed to EtOH 1%; D, E) Data modelling (PROAST) showing dose-related increase of [mobility time spent in the inner circle/ total mobility time] and [distance in the inner circle/ total distance] in NF 4046 groups exposed to EtOH 01%. BMD-0.05 lower value was EtOH 0.035% derived by distance in the inner circle/total distance modelling.
Fig. 6. EtOH lower BMDs derived by modelling data obtained by the different endpoints, suggesting no safe EtOH exposure during development.