Click here to close Hello! We notice that you are using Internet Explorer, which is not supported by Xenbase and may cause the site to display incorrectly. We suggest using a current version of Chrome, FireFox, or Safari.
XB-ART-60620
Eur J Neurosci 2024 May 01;599:2293-2319. doi: 10.1111/ejn.16289.
Show Gene links Show Anatomy links

Experimentally monitored calcium dynamics at synaptic active zones during neurotransmitter release in neuron-muscle cell cultures.

Sun X, Yazejian B, Peskoff A, Grinnell AD.


???displayArticle.abstract???
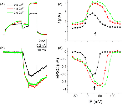
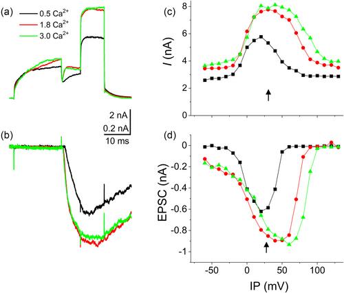
Ca2+ -dependent K+ (BK) channels at varicosities in Xenopus nerve-muscle cell cultures were used to quantify experimentally the instantaneous active zone [Ca2+ ]AZ resulting from different rates and durations of Ca2+ entry in the absence of extrinsic buffers and correlate this with neurotransmitter release. Ca2+ tail currents produce mean peak [Ca2+ ]AZ ~ 30 μM; with continued influx, [Ca2+ ]AZ reaches ~45-60 μM at different rates depending on Ca2+ driving force and duration of influx. Both IBK and release are dependent on Ca2+ microdomains composed of both N- and L-type Ca channels. Domains collapse with a time constant of ~0.6 ms. We have constructed an active zone (AZ) model that approximately fits this data, and depends on incorporation of the high-capacity, low-affinity fixed buffer represented by phospholipid charges in the plasma membrane. Our observations suggest that in this preparation, (1) some BK channels, but few if any of the Ca2+ sensors that trigger release, are located within Ca2+ nanodomains while a large fraction of both are located far enough from Ca channels to be blockable by EGTA, (2) the IBK is more sensitive than the excitatory postsynaptic current (EPSC) to [Ca2+ ]AZ (K1/2 -26 μM vs. ~36 μM [Ca2+ ]AZ ); (3) with increasing [Ca2+ ]AZ , the IBK grows with a Hill coefficient of 2.5, the EPSC with a coefficient of 3.9; (4) release is dependent on the highest [Ca2+ ] achieved, independent of the time to reach it; (5) the varicosity synapses differ from mature frog nmjs in significant ways; and (6) BK channels are useful reporters of local [Ca2+ ]AZ .

???displayArticle.pubmedLink??? 38483240
???displayArticle.link??? Eur J Neurosci
???displayArticle.grants??? [+]

Species referenced: Xenopus laevis
Genes referenced: isyna1 neff1
GO keywords: calcium channel activity [+]


???attribute.lit??? ???displayArticles.show???