XB-ART-60457
Nat Commun
2023 Dec 11;141:8199. doi: 10.1038/s41467-023-43902-y.
Show Gene links
Show Anatomy links
An archetype and scaling of developmental tissue dynamics across species.
Morishita Y, Lee SW, Suzuki T, Yokoyama H, Kamei Y, Tamura K, Kawasumi-Kita A.
???displayArticle.abstract???
Morphometric studies have revealed the existence of simple geometric relationships among various animal shapes. However, we have little knowledge of the mathematical principles behind the morphogenetic dynamics that form the organ/body shapes of different species. Here, we address this issue by focusing on limb morphogenesis in Gallus gallus domesticus (chicken) and Xenopus laevis (African clawed frog). To compare the deformation dynamics between tissues with different sizes/shapes as well as their developmental rates, we introduce a species-specific rescaled spatial coordinate and a common clock necessary for cross-species synchronization of developmental times. We find that tissue dynamics are well conserved across species under this spacetime coordinate system, at least from the early stages of development through the phase when basic digit patterning is established. For this developmental period, we also reveal that the tissue dynamics of both species are mapped with each other through a time-variant linear transformation in real physical space, from which hypotheses on a species-independent archetype of tissue dynamics and morphogenetic scaling are proposed.
???displayArticle.pubmedLink??? 38081837
???displayArticle.pmcLink??? PMC10713982
???displayArticle.link??? Nat Commun
???displayArticle.grants??? [+]
JPMJPR1779 MEXT | JST | Precursory Research for Embryonic Science and Technology (PRESTO), JPMJCR2025 MEXT | JST | Core Research for Evolutional Science and Technology (CREST), 16-509 MEXT | NINS | National Institute for Basic Biology (NIBB), 16-521 MEXT | NINS | National Institute for Basic Biology (NIBB)
Species referenced: Xenopus laevis
Genes referenced: hoxa11 hoxa13 hoxd13 shh
GO keywords: limb development
Lines/Strains:
???attribute.lit??? ???displayArticles.show???
|
|
Fig. 1: The findings by Darcy Thompson and their implications. A Darcy Thompson demonstrated that the shapes or spatial arrangement of anatomical landmarks of related animals can be mapped onto each other by relatively simple geometrical transformations (left panels). His study suggested the existence of a standard shape S across a group of species from which the shape of each species Si is derived. Denoting it as [see article on journal website for equation] Thompsons work states that the interspecies transformation [see article on journal website for equation] could be relatively simple. The fish silhouettes were traced from diagrams in Thompsons work1. B Hindlimb morphogenesis in chick and Xenopus laevis. The Xenopus limb bud is about half the size of that in chick for each axial direction (note that the scale bar is common for both species). Also, the anatomical regions formed from the initial limb buds differ between the two species. In Xenopus, all limb structures, i.e., the autopod (A), zeugopod (Z), and stylopod (S), are formed from the limb buds (the dotted region in a limb bud from St. 50.5 shows the prospective autopod and zeugopod regions). In chick, only the former two are formed, and the stylopod is embedded in the trunk. Skeletal patterning with cartilage differentiation becomes obvious around St. 54 for Xenopus and St. 30 for chick. The proportion of each skeletal segment (in particular, the tibia/fibula and tarsal) and the number of digits differ between these species. White arrow heads: hindlimb bud. NB: see article on journal website for equation as these are not correctly display here. |
|
|
Fig. 2: Reconstruction of the tissue deformation map for Xenopus hindlimb development A Cell labeling by heat shock induction of EGFP expression. Mesenchymal cells around the frontal plane of mid D-V level were irradiated with an infrared laser using the IR-LEGO system. B Integrated data for mesenchymal cell lineages obtained from 11 individuals after morphometric staging and resizing based on mean growth curves. C The workflow for reconstructing the Xenopus limb deformation map (see Methods for details). D, E Spatiotemporal patterns of local tissue deformation for Xenopus (D) and chick (E). The patterns of area growth (top) and deformation anisotropy (bottom) are plotted; the chick pattern is a replot of our previous report with minor modifications14. In the bottom panels, the black line segments indicate the orientation of anisotropy (the length of each segment reflects the magnitude of anisotropy). F The posterior half of the autopod in a later limb bud with a clear skeletal pattern (tXenopus=54.4 or tChick=30.5) is derived from the smaller posterior portion of the early limb bud (tXenopus=50.6 or tChick=21), clearly showing A-P asymmetric growth; top: chick, bottom: Xenopus. Note that the images of the Xenopus limb bud, except for the top-left photo in panel (A), are inverted in the A-P direction to have the posterior side facing downward. Source data are provided as a Source Data file. |
|
|
Fig. 3: Decomposition of tissue dynamics into average growth and rescaled dynamics. A, B Tissue dynamics under a fixed Cartesian coordinate system for real physical space and under the E-coordinate system. E-coordinates are defined as the spatial coordinates rescaled by average growth, i.e., the spatial average of the volume growth rate or tissue length in a one-dimensional case (A) and that of the deformation gradient tensor in a multi-dimensional case (B). In the E-space, tissue dynamics are represented as cell flow reflecting the spatial heterogeneity of local deformation (see the red dotted boxes). CH Cell trajectories in the E -space for Xenopus (C) and chick (D) limb morphogenesis and the positional changes in the proximo-distal (P-D) (E Xenopus; G: chick) or antero-posterior (A-P) (F: Xenopus; H: chick) direction in the E -space between an early stage and a stage in which digit patterning is fairly well established (see also Fig. 4C). Arrowheads show the orientations of the flows at tXenopus=52.4 for Xenopus and tchick=24 for chick. The colored regions indicate the initially overlapping regions of the limb buds from both species in the E-space. For both species, trajectories of the same color indicate trajectories from the same initial position. The cell flows in the E coordinate system shown in panels (C) and (D) correspond to the morphogenesis of the region consisting of prospective autopods and zeugopods. Source data are provided as a Source Data file. NB:[see article on journal website for equations as they do not display correctly here] |
|
|
|
|
|
Fig. 5: Quantitative comparison of tissue dynamics in t-E- spacetime. A (The black dots) Interspecies comparison of the destination of each cell at a common time [see article on journal for equations] ; P-D coordinate (left) and A-P coordinate (right). The gray dots indicate the variability in cell destinations within the same species (chick), which was evaluated using the bootstrapped tissue deformation maps as a reference against the difference between species. B Results of applying true and pseudo chick limb deformation maps to prospective skeletal patterns at tChick=21. When the developmental clocks are synchronized and the state in the -space at the same common time ([see article on journal for equations]) is swapped between chick and Xenopus, the mapped skeletal patterns were very well matched, indicating that the rescaled tissue dynamics are conserved across species. In contrast, when the developmental clocks are out of synchronization, or the rescaled cell positions in Xenopus dynamics at a different time point ([see article on journal for equations]) are used to calculate the pseudo chick map, both mapped cartilage patterns are significantly different (see also Supplementary Fig. 6). C Comparison of the rescaled tissue dynamics within different regions of the limb buds between Xenopus and chick. The consistency of the rescaled dynamics between species holds only for anatomically corresponding regions (green region; see the text and Methods for details). Source data are provided as a Source Data file. |
|
|
Fig. 6: Conservation of expression patterns for Hox genes in - spacetime. A The expression patterns of Hoxa13 and Hoxa11 obtained by RNAscope assays at three different time points on the common clock (see Supplementary Fig. 7 for Hoxd13 expression). Each experiment was independently repeated three times (at each time point) for each gene with similar results. B E-representation of the expression patterns of the Hox genes shows a high degree of similarity between species. |
|
|
Fig. 7: Morphogenetic scaling and the archetype hypothesis. A Simple transformations of shapes through diagonal and shear matrices as examples for the scaling of developed tissue/body shapes between species. In general, an arbitrary regular matrix M can be decomposed into the stretch operation U and the rotation R (i.e., M = RU), and thus linear transformations through regular matrices are regarded as a scaling operation of shapes along the direction of each eigenvector (of U). B Our results show that the rescaled tissue dynamics in the ξ-space are well conserved between chick and Xenopus. This flow can be regarded as an archetype, corresponding to the standard shape suggested by D’arcy Thompson’s pioneering work. The tissue deformation map for each species is obtained by applying a species-specific time-variant linear transformation to this common flow. Consequently, the tissue dynamics for both species are also mapped, or scaled, to each other through time-variant linear transformations. |
|
|
Figure S1: Data and preprocessing for reconstruction of the tissue deformation map during Xenopus hindlimb development (A) Two examples used for the lineage tracing of mesenchymal cells labeled by heat shock induction of EGFP (bottom) on the frontal plane around the mid dorso-ventral level (top). The labeled spots are sufficiently spaced apart to enable each lineage to be followed. (B) A brief summary of the morphometric staging proposed in our previous study (21). The right images were adapted from Kawasumi et al 2018 (ref 21) under a CC-BY licence. The figure has been slightly modified. (C) Lineage tracing data from 11 samples were used to reconstruct the tissue deformation map from the initial limb bud phase through the stage at which cartilage patterning is complete. The developmental stages for each measurement were different among the samples, although some overlapped with each other. We first reconstructed the deformation maps for nine time intervals, then integrated them to obtain the full map spanning the duration of our time of interest. |
|
|
Figure S2: Origins and lineages of the posterior-half of the autopod (A, B) The origins and lineage of the posterior-half of the autopod were calculated by inverse-mapping of the tissue deformation maps for chick (A) or Xenopus (B) hindlimb development. |
|
|
Figure S3: Cell trajectories in ξ-space during Xenopus and chick limb development (for the full time periods) (A, B) (left) Cell trajectories in the ξ-space for Xenopus (A) and chick (B) limb morphogenesis and (right) the positional changes in the proximo-distal (P-D) or antero-posterior (A-P) direction in the ξ-space between an early stage and a stage at which digit patterning and cartilage differentiation is complete (tXenopus =54.4 for Xenopus and tChick =30.5 for chick). The differences in cell trajectories and orientation of the velocity field between the two species become clear around the stages of chondrogenic differentiation after initial digit patterning with spatial heterogeneity in cell density (i.e., after tXenopus =53.5 and tChick =27-27.5). For both species, trajectories of the same color indicate trajectories from the same initial position. Note that the dynamics for the prospective autopod and zeugopod are compared. |
|
|
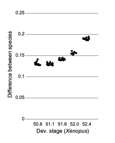
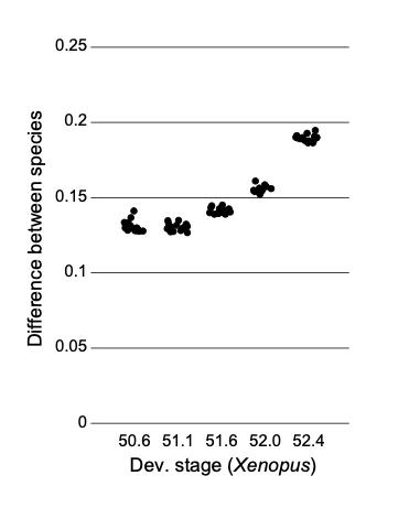
Figure S4: Dependence of the agreement in cell trajectories in the ξ-space between species on the selection of initial stages Theresultsforthecaseinwhichtheinitialtimepointforchickwasfixedat tChick=21andthefiveinitialtime points for Xenopus (tXenopus =50.6, 51.1, 51.6, 52.0, 52.4) were tested are shown. (Median, SD)=(0.130, 0.0037), (0.130, 0.0025), (0.141, 0.0019), (0.155,0.0022), (0.190,0.9922) for tXenopus =50.6, 51.1, 51.6, 52.0, 52.4, respectively. |
|
|
Figure S5: Calculation of the presumptive skeletal patterns and bootstrapped maps. (A)InverseimagesofthecartilagedifferentiationpatternobtainedbyAlcianbluestainingat tChick=30.5were calculatedusingthereconstructeddeformationmap φ (X,t).Theprospectiveautopodregionattheinitiallimb Chick bud ( tChick =21) matched well with the region of hoxa13 expression, a typical marker gene of the autopod. Prospective digit 4 was included in the Shh expression region at the zone of polarizing activity (ZPA). D1-D4: digits (phalanges and metatarsals); T: tarsals. (B) Bootstrapped maps were generated as a way to assess intraspecies variability (Fig. 5A, Materials and Methods). In (B), to visually understand the variability, (prospective) skeletal patterns calculated using 50 different bootstrapped maps are shown. |
|
|
Figure S6: Comparison of true and pseudo chick limb deformation maps (A) A slightly modified version of Fig. 4(B). (B) Definitions for the true and pseudo maps. (C) Comparison of (prospective) skeletal patterns calculated by the true (gray) and pseudo (red) maps. The pattern calculated by the true map is for the stage 27.5, i.e., τ = ψ−1 (27.5) . For the pseudo map, the images at nine C timepoints (τ2 ) were calculated as shown along the black dotted line in (A). |
|
|
Figure S7: Spatiotemporal expression patterns of the hoxd13 gene (A) The expression patterns were obtained by RNAscope assays at three different timepoints on the common clock (represented under fixed ordinary Cartesian coordinates). These data were used to calculate the -representation of their expression patterns in Fig. 6(B). |
|
|
hoxd13 (homeobox D13) gene expression in Xenopus laevis hindlimb bud, NF stage 54, assayed via RNAScope. Note: yellow digit cartilages show hoxd13 expression while blue staining is DAPI. |
References [+] :
Abzhanov,
The old and new faces of morphology: the legacy of D'Arcy Thompson's 'theory of transformations' and 'laws of growth'.
2017, Pubmed
Abzhanov, The old and new faces of morphology: the legacy of D'Arcy Thompson's 'theory of transformations' and 'laws of growth'. 2017, Pubmed
Amat, Fast, accurate reconstruction of cell lineages from large-scale fluorescence microscopy data. 2014, Pubmed
Arthur, D'Arcy Thompson and the theory of transformations. 2006, Pubmed
Boehm, The role of spatially controlled cell proliferation in limb bud morphogenesis. 2010, Pubmed
Brown, Thyroid hormone controls multiple independent programs required for limb development in Xenopus laevis metamorphosis. 2005, Pubmed , Xenbase
Campàs, Scaling and shear transformations capture beak shape variation in Darwin's finches. 2010, Pubmed
Delgado, Proximo-distal positional information encoded by an Fgf-regulated gradient of homeodomain transcription factors in the vertebrate limb. 2020, Pubmed
Ede, Computer simulation of vertebrate limb morphogenesis. 1969, Pubmed
Fabrezi, Morphological Variation in Anuran Limbs: Constraints and Novelties. 2017, Pubmed
Fritz, Shared developmental programme strongly constrains beak shape diversity in songbirds. 2014, Pubmed
Guirao, Unified quantitative characterization of epithelial tissue development. 2015, Pubmed
HAMBURGER, A series of normal stages in the development of the chick embryo. 1951, Pubmed
Hofer, Engineering organoids. 2021, Pubmed
Kamei, Infrared laser-mediated gene induction in targeted single cells in vivo. 2009, Pubmed
Kawahira, Quantitative Analysis of 3D Tissue Deformation Reveals Key Cellular Mechanism Associated with Initial Heart Looping. 2020, Pubmed
Kawasumi-Kita, Morphometric staging of organ development based on cross sectional images. 2018, Pubmed , Xenbase
Kawasumi-Kita, Application of local gene induction by infrared laser-mediated microscope and temperature stimulator to amphibian regeneration study. 2015, Pubmed , Xenbase
Keenan, Xenopus Limb bud morphogenesis. 2016, Pubmed , Xenbase
McDole, In Toto Imaging and Reconstruction of Post-Implantation Mouse Development at the Single-Cell Level. 2018, Pubmed
Michiue, Temporal and spatial manipulation of gene expression in Xenopus embryos by injection of heat shock promoter-containing plasmids. 2005, Pubmed , Xenbase
Morishita, Reconstructing 3D deformation dynamics for curved epithelial sheet morphogenesis from positional data of sparsely-labeled cells. 2017, Pubmed
Morishita, Quantitative analysis of tissue deformation dynamics reveals three characteristic growth modes and globally aligned anisotropic tissue deformation during chick limb development. 2015, Pubmed
Morishita, Bayesian inference of whole-organ deformation dynamics from limited space-time point data. 2014, Pubmed
Morishita, Coding design of positional information for robust morphogenesis. 2011, Pubmed
Mukaigasa, The keratin-related Ouroboros proteins function as immune antigens mediating tail regression in Xenopus metamorphosis. 2009, Pubmed , Xenbase
Park, Spatial omics technologies at multimodal and single cell/subcellular level. 2022, Pubmed
Rao, Exploring tissue architecture using spatial transcriptomics. 2021, Pubmed
Shah, Multi-scale imaging and analysis identify pan-embryo cell dynamics of germlayer formation in zebrafish. 2019, Pubmed
Summerbell, Positional information in chick limb morphogenesis. 1973, Pubmed
Tickle, Sonic Hedgehog Signaling in Limb Development. 2017, Pubmed
Tkačik, Positional information, positional error, and readout precision in morphogenesis: a mathematical framework. 2015, Pubmed
TSCHUMI, The growth of the hindlimb bud of Xenopus laevis and its dependence upon the epidermis. 1957, Pubmed , Xenbase
Young, Saunders's framework for understanding limb development as a platform for investigating limb evolution. 2017, Pubmed
Zeller, Vertebrate limb bud development: moving towards integrative analysis of organogenesis. 2009, Pubmed
