XB-ART-60437
iScience
2023 Dec 15;2612:108398. doi: 10.1016/j.isci.2023.108398.
Show Gene links
Show Anatomy links
Information integration during bioelectric regulation of morphogenesis of the embryonic frog brain.
???displayArticle.abstract???
Spatiotemporal patterns of cellular resting potential regulate several aspects of development. One key aspect of the bioelectric code is that transcriptional and morphogenetic states are determined not by local, single-cell, voltage levels but by specific distributions of voltage across cell sheets. We constructed and analyzed a minimal dynamical model of collective gene expression in cells based on inputs of multicellular voltage patterns. Causal integration analysis revealed a higher-order mechanism by which information about the voltage pattern was spatiotemporally integrated into gene activity, as well as a division of labor among and between the bioelectric and genetic components. We tested and confirmed predictions of this model in a system in which bioelectric control of morphogenesis regulates gene expression and organogenesis: the embryonic brain of the frog Xenopus laevis. This study demonstrates that machine learning and computational integration approaches can advance our understanding of the information-processing underlying morphogenetic decision-making, with a potential for other applications in developmental biology and regenerative medicine.
???displayArticle.pubmedLink??? 38034358
???displayArticle.pmcLink??? PMC10687303
???displayArticle.link??? iScience
Species referenced: Xenopus laevis
Genes referenced: camp eno3 foxg1 notch1 otx2 pax6 psmd6 sox2
GO keywords: cell proliferation [+]
???attribute.lit??? ???displayArticles.show???
|
|
Graphical abstract |
|
|
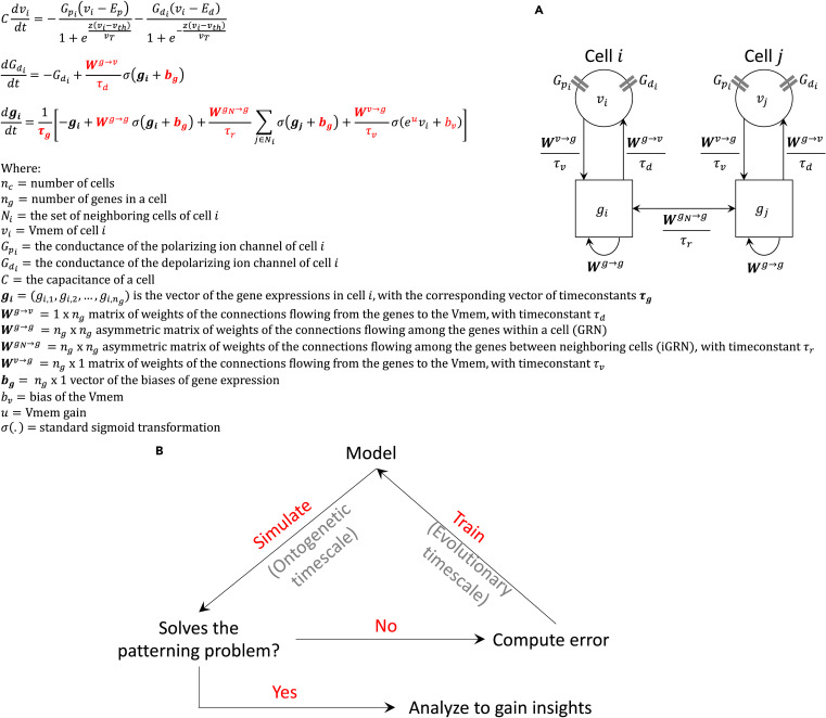
Figure 1. Schematic summary of the endogenous voltage prepattern’s control of embryonic brain patterning in Xenopus and an overview of the neural plate circuit model of this process (A) Summary of our previous studies80,87,88,97 showing that the difference (dashed black line) in voltage across the hyperpolarized neural plate and relatively depolarized surrounding ectoderm is essential for driving correct gene expression pattern, large-scale brain morphology, and normal learning behavior. (B) Endogenous embryonic voltage prepattern resulting in normal brain morphology.80,87,88,97 (C) Embryonic manipulation of ion fluxes, exposure to teratogens (nicotine and ethanol), or genetic/biochemical disruption (Notch disruption) leading to depolarization of the neural plate erases the critical voltage difference between neural plate and ectoderm, resulting in mispatterned gene expression, and defects in large-scale brain morphology and learning behavior.80,87,88,97,105,106 (D) Embryonic manipulation of ion fluxes leading to hyperpolarization of surrounding ectoderm also erases the critical voltage difference between neural plate and ectoderm, resulting in mispatterned gene expression and abnormal large-scale brain morphology.80,97 (E) Both local (neural plate) and distant (ectodermal) interventions (manipulating ion fluxes by channel misexpression or drugs targeting ion channels) that restore this critical voltage difference between neural plate and ectoderm, restore gene expression, large-scale brain morphology, and learning behavior.80,87,88,97,105,106 (F) A schematic of our model. The overt structure of the model is a 2-dimensional lattice approximately representing the neural plate tissue (shown in the illustration). The circles indicate the individual cells of the tissue, with the colors indicating different voltages corresponding to the endogenous voltage prepattern (blue means depolarized and red, hyperpolarized). Each cell possesses a generic hyperpolarizing channel and depolarizing channel (not shown) and a generic gene regulatory network (gray networks enclosed in squares). The cells exchange gene products and proteins with neighboring cells through the IN-generic intercellular connections (thick gray lines with bidirectional arrowheads) representing paracrine signaling pathways. These collectively represent a plethora of paracrine signaling pathways such as calcium, cAMP, serotonin, integrin, Notch, etc. In this current first iteration model, we generalize them all under paracrine signals as the model is consistent with them all and does not depend on their precise nature. Of note, the IN does not directly allow the exchange of ions but it does so only indirectly via the voltage→gene→gene→voltage pathway (Figure 2A). The voltage and the gene network of a cell influence each other via dedicated connections (thin black lines with unidirectional arrowheads): the voltage acts as an external input to a subset of the genes, affecting their expression and, in turn, the expressions of a subset of the genes can dynamically alter the conductance of the ion channels. The cells in the model are symmetrical, that is, they do not possess a preferred polarity such as that imposed by planar cell polarity. The 4x6 dimension of the lattice shown here is the size that was used during training. (G) Schematic of the input-output map of the pattern discrimination problem; the three input patterns on the left correspond to the embryo schematics displayed in C, B, and D, respectively, with the depolarized (red) and hyperpolarized (blue) voltages corresponding to about −5.2 mV (−10 mV) and −52 mV (−55 mV) in the model (empirical observations80). |
|
|
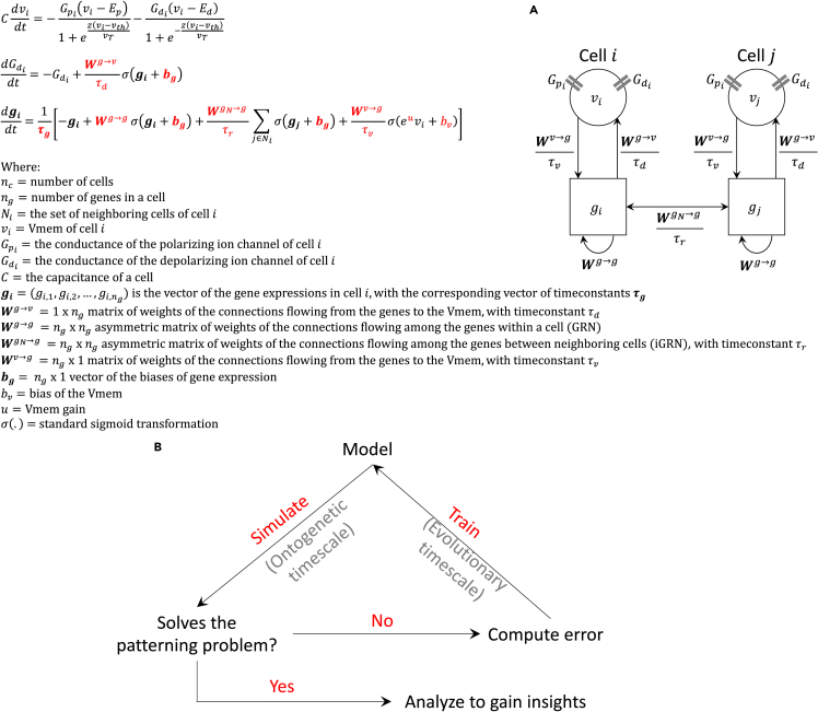
Figure 2. Overview of the mathematical details of the neural plate circuit model and the process of identifying its parameters (training) (A) The equations defining the model, with the variables and parameters mapped to a simplified two-cell version (the rest of the model is symmetrical to this version). The parameters (red) are learned using machine-learning techniques. The bioelectric constants, namely, , , , and , are described in ref.88 and in Tables S1–S8. (B) The model is trained using a combination of genetic algorithm and gradient descent. The final model referred to throughout this paper is a product of a training loop that starts with a population of randomly parametrized models, simulates all of them, and then modifies them using genetic algorithm and gradient descent to improve their ability to solve the pattern discrimination problem. |
|
|
Figure 3. Architecture of the chosen high-performing model Depicted here is the connectivity of a two-cell version of the full model; the rest of the network is symmetrical to this version (full model parameters described in Tables S1–S8). For clarity, we show only about 20% of the strongest connections (10% of the most positive in purple and 10% of the most negative in orange/brown); edge weights are linearly normalized to the range (−1, 1). The most prominent connections run from the voltage to gene 5 (purple), with a positive weight, and among genes 3 and 5 both within a cell and between cells (brown), with a negative weight. Connections running from genes to voltage do exist in the full model, but they were filtered out due to their weak weights. |
|
|
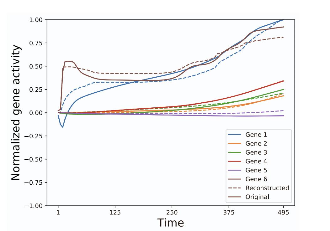
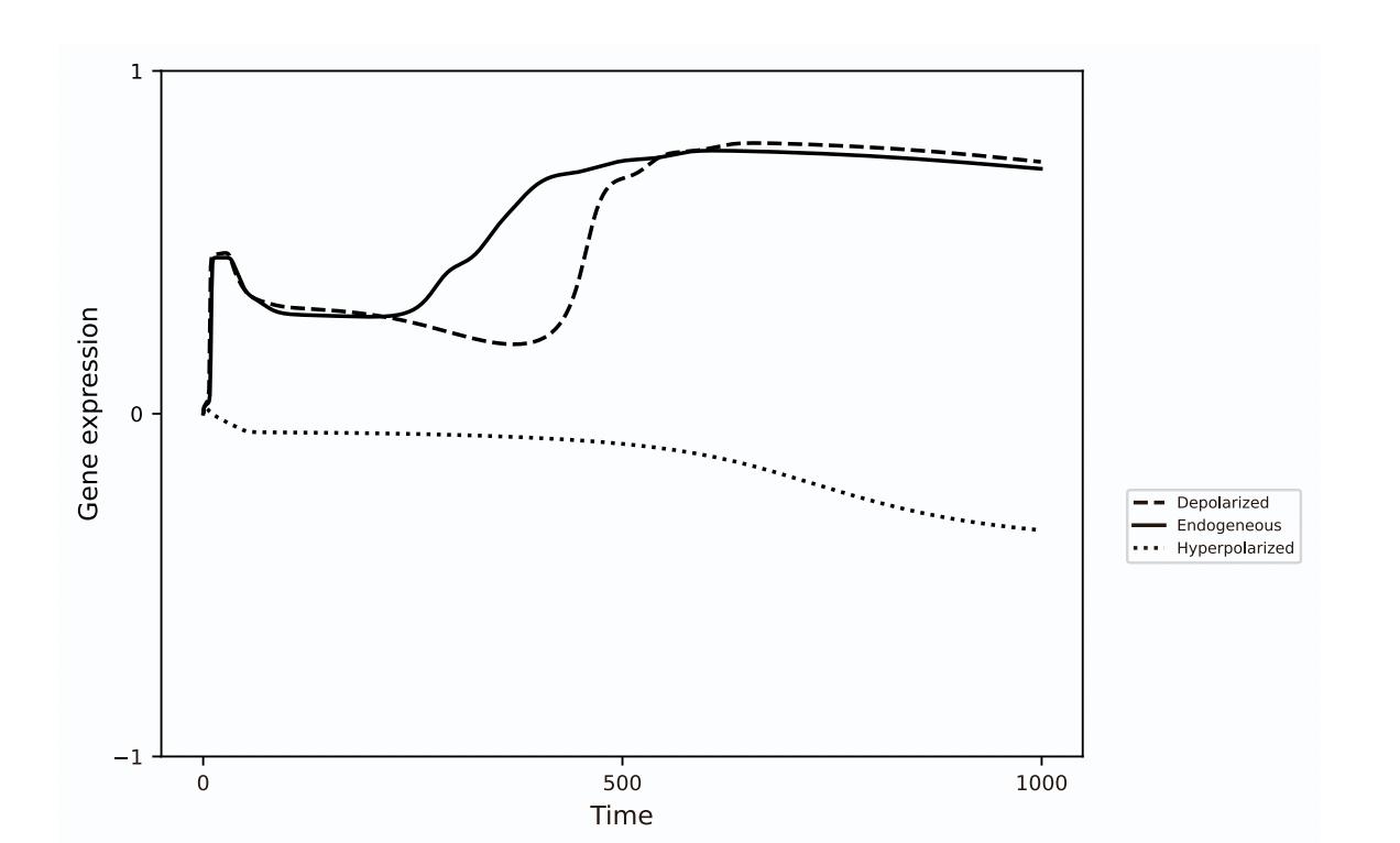
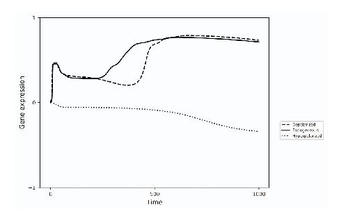
Figure 4. The model not only discriminates between the correct and the incorrect voltage patterns by mapping them to distinct gene expression values but also recapitulates empirically observed development of the voltage pattern (A) Timeseries of the mean normalized gene expression, averaged over all cells and genes, for the three different input conditions depicted on the right: “Depolarized” (all cells are initially depolarized), “Endogenous” (the left and right two columns are initially depolarized with the middle two columns hyperpolarized), or “Hyperpolarized” (all cells are initially hyperpolarized). Insets: (left) discrimination scores of the six individual genes. The red dashed horizontal line indicates the discrimination score expected from a randomly parametrized model. (Right) Gene expression timeseries for gene 6, the gene with the highest discrimination score; the scales of the axes match the scales of the main plot. More detailed timeseries resolved at the level of cells and genes are presented in Figure S2. (B) Top: comparison of the modeled and empirical spatial voltage profiles of a horizontal cross-section of the embryo (schematic) at a point in time when the voltages corresponding to the three different input conditions (treatments) have fully developed (∼200th timestep in the model). Bottom: the spatiotemporal voltage profile of the model depicting the timeseries of Vmem for each cell under each of the three input conditions. Each square in the 4x6 layout of the tissue refers to an individual cell. |
|
|
Figure 5. The best fit model flexibly scales to larger tissues when solving the voltage pattern discrimination problem The timeseries shows the mean expression, averaged over all cells, of the discriminator gene in a scaled up 10x18 model, initialized with the endogenous voltage pattern (inset; left and right six columns are depolarized, and the middle six columns are hyperpolarized), showing that it successfully discriminates between the correct and incorrect voltage patterns. More detailed timeseries resolved at the cell of the level and for larger tissues are presented in Figure S3. |
|
|
Figure 6. Differential change in model performance due to knocking out individual or patches of cells in the tissue The darker the shade of a block, the higher the drop in performance due to knocking out that block. A cell or a patch was “knocked out” by freezing the states of its corresponding genes at zero and dropping their biases to negative infinity, thereby rendering them ineffectual both as inputs and outputs. (A) A 4x6 tissue where individual cells were knocked out. (B) A 10x18 tissue where 2-cell x 3-cell patches (each block is a patch) were knocked out. |
|
|
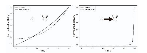
Figure 7. Analytical reconstruction of the gene expression timeseries using only the second-order influence of the voltage pattern on gene expression A comparison between the normalized original expression timeseries of the discriminator gene (dashed) for the endogenous input pattern and the corresponding reconstruction (solid) obtained from the second-order (Hessian) influence of the endogenous voltage pattern reveals their similarity. The timeseries was reconstructed using the equation , where refers to the set of cells in the top left quadrant of the tissue and was optimized to fit the observed normalized with the initial condition . Only the cells in the 2x3 top left quadrant of the full 4x6 tissue (dashed boxes) were considered because the model is bilaterally symmetrical both about the vertical and horizontal axes. |
|
|
Figure 8. Spatiotemporal dynamics of the second-order control of gene expression by the endogenous voltage pattern Each undirected edge represents a pair of cells whose voltages collectively influence the expression of an average discriminator gene in the top left quadrant. The weight of these edges indicates the degree of influence (second-order derivative) exerted by the voltages of the corresponding pairs of cells on the discriminator gene, whereas their colors indicate whether the influence is positive or negative (strong purple means strongly positive and strong orange/brown means strongly negative). These edges represent the summation term in the equation , where refers to the set of cells in the top left quadrant of the tissue and was optimized to fit the observed normalized with the initial condition . Only the cells in the 2x3 top left quadrant of the full 4x6 tissue (dashed boxes) were considered because the model is bilaterally symmetrical both about the vertical and horizontal axes. For clarity, only about 10% of the observed edges are shown. The arrows running from one band to another serve as a visual illustration of the average weighted and signed influence exerted by the three bands on the target top left quadrant of the pattern. |
|
|
Figure 9. A division of labor exists among the genes in terms of their sensitivities to the different spatial scales of the voltage pattern The difference between the first-order (Jacobian) directional derivatives of the gene activities computed with respect to the voltage at the tissue level and the single-cell level tends to be positive for genes 2 and 5, negative for genes 3 and 4, and mostly balanced but interspersed with positive spurts for genes 1 and 6. This quantity, known as the net scale sensitivity of a gene, is defined as . Here, the first term is a directional derivative and computes the net sensitivity to the tissue, and the second term refers to the single cell. The term is a normalization term for computing the directional derivative along the direction of the unit vector, thus enabling the comparison between the two scales of the tissue and the single cell. The corresponding inclinations of sensitivity are toward the tissue level, single-cell level, and an intermediate level, respectively. Due to the symmetry of the model, only the genes contained by the cells in the 2x3 top left quadrant of the full 4x6 tissue were considered for these calculations. |
|
|
Figure 10. Model predictions about the responses to two types of non-endogenous input voltage patterns with different polarization ratios simulated in a 10x18 tissue Average activity levels of the discriminator gene in response to (A) a voltage pattern with a less skewed ratio of polarization in comparison to the endogenous pattern: a half-and-half (step function) voltage pattern where the left half is hyperpolarized and the right half is depolarized (inset); (B) a voltage pattern with a more skewed ratio of polarization in comparison to the endogenous pattern: a sharpened voltage pattern where the overall pattern is maintained but the hyperpolarized neural plate (central band) is only a third of its original normal size (inset). |
|
|
Figure 11. Perturbation of voltage in one-half of an embryo, creating a step function voltage pattern, does not cause defects in brain morphology (A) Illustration of Xenopus embryo at stage 3 (four-cell), indicating two dorsal blastomeres as main precursors of eye and brain and two ventral blastomeres as main precursors of non-neural tissues.137,171 (B) Normal voltage pattern in control (uninjected) stage ∼15 Xenopus embryos. Top: illustration of expected membrane voltage distribution in stage 15 embryo and expected voltage pattern along the dashed line; bottom: representative image of CC2-DMPE:DiBAC voltage-reporter-dyes-stained embryos, showing characteristic hyperpolarization in the neural plate (yellow arrows) and surrounding depolarized ectoderm80,87,88 (N = 6) and quantification of CC2-DMPE:DiBAC4 images along the dashed line indicated in the illustration along with electrophysiology-based membrane voltage approximations. Data are mean+/− SD. (C) Step function voltage pattern at stage ∼15 in embryos microinjected with Kv1.5 + β-galactosidase mRNA in one dorsal blastomere at four-cell stage. Top: illustration of expected membrane voltage distribution in injected stage 15 embryo and expected voltage pattern along the dashed line; bottom: representative image of CC2-DMPE: DiBAC voltage-reporter-dyes-stained embryos, showing characteristic hyperpolarization in neural plate (yellow arrow) but hyperpolarized ectoderm only on the injected side (red arrow) (N = 6) and quantification of CC2-DMPE:DiBAC4 images along the dashed line indicated in the illustration along with electrophysiology-based membrane voltage approximations. Data are mean+/− SD. (D–G) Representative images of stage 45 tadpoles. (D, E) Tadpoles from uninjected (D) or injected (E) embryos. Blue arrowheads indicate intact nostrils, orange brackets indicate intact forebrain (FB), yellow brackets indicate intact midbrain (MB), cyan brackets indicate intact hindbrain (HB) and intact eyes (e) (F, G) β-Galactosidase expression assessed using X-Gal (blue) in bleached tadpoles. In injected tadpoles (G), X-gal staining is evident in the eye and brain on the injected side (blue arrowheads) but not the uninjected side (magenta arrowheads), validating our targeting of mRNA microinjection. There was no X-gal staining (magenta arrowheads) in uninjected tadpoles (F) (N > 10 tadpoles per experimental group). (H) Quantification of brain morphology defects in stage 45 tadpoles under different injection conditions demonstrates no significant differences among any of the injection conditions. All injections were made into the right dorsal blastomere at 4-cell stage as indicated in the schematic under each graph. Percentage of tadpoles with brain defects for each experimental group are as follows: Controls: 8%, β-galactosidase: 7%, Kv1.5 + β-galactosidase: 8%, and Kir4.1: 6%. Data are mean ± SD, n.s. = non-significant (one-way ANOVA with Tukey’s post-hoc test for n = 3 independent experiments with N > 50 embryos per treatment group per experiment). |
|
|
Figure 12. Perturbation of voltage to decrease neural plate hyperpolarized cells while minimally changing the overall voltage pattern leads to significant brain morphology defects (A) Illustration of Xenopus embryo at stage 3 (four-cell) indicating two dorsal blastomeres as main precursors of eye and brain and two ventral blastomeres as main precursors of non-neural tissues.137,171 (B) Endogenous voltage pattern in control (uninjected) stage ∼15 embryos. Top: illustration of expected membrane voltage distribution in stage 15 embryo and expected voltage pattern along the dashed line; bottom: representative image of embryo stained with CC2-DMPE:DiBAC4 voltage reporter dyes, showing characteristic hyperpolarization in the neural plate (yellow arrows) and surrounding depolarized ectoderm80,87,88 (N = 6) and quantification of CC2-DMPE:DiBAC4 images along the dashed line indicated in the illustration along with electrophysiology-based membrane voltage approximations. Data are mean+/− SD. (C) Altered voltage pattern in stage ∼15 embryos microinjected with DN-KATP + β-galactosidase mRNA in one dorsal blastomere at four-cell stage. Top: illustration of expected membrane voltage distribution in injected stage 15 embryo and expected voltage pattern along the dashed line; bottom: representative image of injected embryo stained with CC2-DMPE: DiBAC4 membrane voltage reporter dyes showing reduced region of hyperpolarization in neural plate and narrower hyperpolarization region (empty yellow arrow) (N > 6 embryos per experimental group) and quantification of CC2-DMPE:DiBAC4 images along the dashed line indicated in the illustration along with electrophysiology-based membrane voltage approximations. Data are mean+/− SD. (D–G) Representative images of stage 45 tadpoles. (D, E) Tadpoles from uninjected (D) or microinjected with DN-KATP + β-galactosidase mRNA (E) embryos. Blue arrowheads indicate intact nostrils; orange, yellow, and cyan brackets indicate intact forebrain (FB), midbrain (MB), and hindbrain (HB), respectively. (e) indicates intact eyes, and orange arrowheads indicate mispatterned brain and eye. (F, G) β-Galactosidase expression assessed using X-Gal (blue) in bleached tadpoles either left uninjected (controls) or co-injected with DN-KATP + β-galactosidase mRNA. There was no X-gal staining (magenta arrowheads) in uninjected tadpoles (F) In injected tadpoles (G), β-galactosidase was observed in the eye and brain on the injected side (blue arrowheads) but not the uninjected side (magenta arrowheads), confirming expected targeting of microinjected mRNAs. (N > 10 tadpoles per experimental group). (H) DN-KATP + β-galactosidase injection significantly increased the percentage of stage 45 tadpoles with brain morphology defects: uninjected or β-galactosidase controls—both 9%; DN-KATP + β-galactosidase—53%. All injections were made into the right dorsal blastomere at four-cell stage as indicated in the schematic under each graph. Data are mean ± SD, ∗∗p < 0.01, n.s. = non-significant (one-way ANOVA with Tukey’s post-hoc test for n = 3 independent experiments with N > 50 embryos per treatment group per experiment). |
|
|
Figure 13. An overview of the current knowledge and gaps in our understanding of Xenopus brain development (A) A schematic of the general state of our knowledge in embryonic brain patterning and the area of focus of this study. (B) A schematic of the functional relationship in which a spatial pattern (the characteristic bell curve voltage distribution, left panel) is transduced into specific gene expression decisions (middle panel, taken from with permission from ref.84) that is required to implement mature brain anatomy (right panel). |
|
|
Figure S1. Training improves performance. (A) GA search resulted in a gradual improvement of the performance of the bestperforming individual among the population up until about 1100 generations at which point one of the top two best-performing models was randomly chosen and further refined using GD. (B) Comparison of the performances of an ensemble of models before and after training. The after-training group is significantly better than the before-training group as per t-test (p<1e-6). The red star indicates the performance of the model analyzed in the main text. Related to Figs. 2,3. |
|
|
Figure S2. Cell-wise behavior of the individual genes while solving the pattern discrimination problem in a 4x6 tissue. Most genes, regardless of the cell, tend to activate (positive values) for the endogenous bioelectric pattern while tending to deactivate (negative values) for the aberrant patterns. It can also be noticed that while the quantitative gene expression behavior depends on the cell’s spatial location (up to bilateral symmetry across both the vertical and horizontal axes passing through the center of the tissue), there are no significant qualitative differences. Related to Fig. 4. |
|
|
Figure S3. Behavior of the discriminator gene in tissues larger than see during training. (A) 10x18 tissue. Regardless of the cell, it can be seen that the discriminator gene tends to activate (positive values) for the endogenous bioelectric pattern (top) while tending to deactivate (negative values) for the aberrant patterns. It can also be noticed that while the quantitative gene expression behavior depends on the cell’s spatial location (corner cells tend to have lower activation levels, for example), there are no significant qualitative differences. (B) Top: 20 x 21 tissue (420 cells); Bottom: 20 x 30 tissue (600 cells). For simplicity, the average of the first 3 columns, the middle 24 columns and the last 3 columns are shown. It can be seen that the genes in the marginal columns tend to deactivate even for endogenous input bioelectric patterns. Related to Fig. 5. |
|
|
Figure S4. Cell-wise behavior of the discriminator gene while responding to aberrant bioelectric input patterns: (A) A half-andhalf Vmem pattern where the left half is hyperpolarized, and the right half is depolarized (inset) results in normal brain development as indicated by the activation of the discriminator gene in all cells, compared to deactivation for the uniform patterns. (B) A sharpened endogenous Vmem pattern where only a third of the hyperpolarized central band of the endogenous pattern is hyperpolarized (bottom; the middle two columns of the six at the center of this 10x18 tissue) results in an intermediate brain development due to the failure of gene expression to discriminate between the endogenous and the incorrect Vmem patterns in the leftmost and the rightmost two columns. Related to Fig. 10. |
|
|
Figure S5. The time-evolution of context-dependency of the individual cells in a 4x6 tissue while solving the pattern discrimination problem. The color of each cell indicates the extent to which the connections of that cell in the corresponding Hessian network originate from another depolarized cell in the left or the right bands or a hyperpolarized cell in the central band. Related to Fig. 8. |
|
|
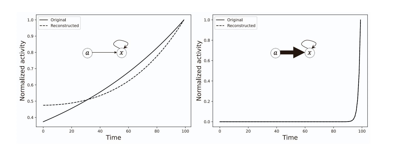
Figure S6. A nonlinear recurrent dynamical system can effectively act like a linear feed-forward-like system when the forcing parameter controls the variable more strongly than the variable does over itself. Shown here are reconstructions of the original observed timeseries (Eqn. 5) using the optimized PTPE approximation (Eqn. 9), where (left) the parameter is small (� = 1); and (right) the parameter is relatively large (� = 10). In the latter case, the parameter effectively canalizes the dynamics of the variable. This is because a canalized system reduces the nonlinearity of the system by partly linearizing it – an effect of the leveraging of timeless Taylor coefficients. Related to Fig. 7. |
|
|
Figure S7. The quality of the simplified Taylor reconstructions with time-independent coefficients (PTPE) gets better with more canalization (larger values of the forcing parameter �). The reconstruction errors were computed as the mean squared error between the reconstructed and the original timeseries. Related to Fig. 7. |
|
|
Figure S8. The distributions of reconstruction errors, plotted on a log scale, for a suite of 100 randomly parametrized neural plate models obtained by individually optimizing the coefficients of the Jacobian and the Hessian terms. Red stars indicate the corresponding errors for the trained neural plate model described and analyzed in the main text. These plots show that though good fits may be expected with just the Jacobian (5-percentile MSE as low as 0.07), the Jacobian reconstruction MSE of our neural plate model is about 0.14 and is well placed within the expected range of 5 and 95 percentiles. The Hessian reconstruction errors, on the other hand, are higher than the corresponding Jacobian errors (5-percentile MSE is about 4.8). Although, the Hessian error of our neural plate, with an MSE of 0.23, is well below the expected range. These observations suggest that the neural plate model was optimized to operate at the second-order level. Related to Fig. 7. |
|
|
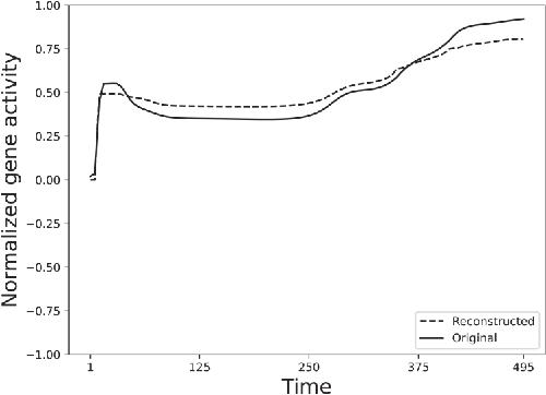
Figure S9. Gene-wise Hessian reconstruction of timeseries. A comparison of the normalized original gene expression timeseries of all the genes (dashed) and the corresponding reconstruction (solid) from the second order (Hessian) influence of the Vmem. The resemblance between the reconstruction and the original indicates that most of the gene activity is determined by its second-order relationship with Vmem. This moreover also suggests a canalization-like mechanism where the dynamics of this complex recurrent model is simplified in such a way that there is an almost direct control of the discriminator gene by the Vmem, as if the paths through the other genes are bypassed; this canalized pathway cannot be inferred from the structure of the static connectivity (Fig 3) alone. This makes intuitive sense since discriminatory behavior requires a comparison of Vmem of different cells, which the Hessian presumably aides by containing the differential information. Due to the symmetry of the model, only the genes contained by the cells in the 2x3 top left quadrant of the full 4x6 tissue (dashed boxes in Fig 9) were considered for these calculations; the Hessian depicted here is the sum of all Hessians corresponding to each cell in the quadrant. Related to Fig. 7. |
|
|
Figure S10. The discriminator gene dynamically processes the three resting potential pattern bands (Figure 1F) in a more complex way (A) compared to the average gene (B). The band-wise first order (Jacobian) normalized sensitivities of gene activity computed with respect to the resting potential pattern bands has a uniquely complex profile for the discriminator gene- gene 6 (A) where the ordering of the bands in terms of their signed sensitivities goes through a slightly more complex sequence (bottom right inset) compared to the average gene (B). From the perspective of minimal cognition, one could conceive this as a form of shifting of “attention”, where attention is constantly shifted from one band to the other so that the corresponding information could be captured and then integrated before settling on a decision. Due to the symmetry of the model, only the cells in the 2x3 top left quadrant of the full 4x6 tissue were considered for these calculations. Related to Fig. 9. |
|
|
Figure S11. Differential effect of gene knockouts on the performance of the model for each of the three input bioelectric patterns. It can be noticed that gene 6 effects the largest drop in performance for the endogenous pattern while contributing very little to processing the other patterns. While gene 4 behaves in a similar fashion as gene 6, genes 2 and 5 behave conversely where they most affect the depolarized and the hyperpolarized pattens while contributing very little to the endogenous pattern. Gene 3 appears to be the most redundant gene of the lot by affecting very little the performance with respect to all three patterns. Related to Fig. 9. |
|
|
Figure S12. The timeseries of the discriminator gene following the severing of the connections running from the genes to the Vmem in all cells. It can be seen that the detection of the depolarized voltage pattern is affected, though the behavior with respect to the other patterns are preserved. Related to Fig. 7. |
|
|
|
|
|
Figure S14. A more nuanced analysis of the gene activities for the half-and-half and the sharp-endogenous patterns. Panels display gene expression timeseries averaged over the cells in the first 3 columns, the middle 12 columns and the last 3 columns. (A) Response to a voltage pattern with a less skewed ratio of polarization: a half-and-half (step function) voltage pattern where the left half is hyperpolarized, and the right half is depolarized (inset) should result in normal brain development as indicated by the mean gene expression of the discriminator gene, averaged over all cells, discriminating it from the other patterns. (B) Response to a voltage pattern with a more skewed ratio of polarization: a sharpened voltage pattern where the overall pattern is maintained but the hyperpolarized neural plate (central band) is only a third of its original normal size (bottom panel: only the middle two columns are depolarized). Related to Fig. 10. |
|
|
|
|
|
Figure 1. Schematic summary of the endogenous voltage prepattern’s control of embryonic brain patterning in Xenopus and an overview of the neural plate circuit model of this process(A) Summary of our previous studies80,87,88,97 showing that the difference (dashed black line) in voltage across the hyperpolarized neural plate and relatively depolarized surrounding ectoderm is essential for driving correct gene expression pattern, large-scale brain morphology, and normal learning behavior.(B) Endogenous embryonic voltage prepattern resulting in normal brain morphology.80,87,88,97(C) Embryonic manipulation of ion fluxes, exposure to teratogens (nicotine and ethanol), or genetic/biochemical disruption (Notch disruption) leading to depolarization of the neural plate erases the critical voltage difference between neural plate and ectoderm, resulting in mispatterned gene expression, and defects in large-scale brain morphology and learning behavior.80,87,88,97,105,106(D) Embryonic manipulation of ion fluxes leading to hyperpolarization of surrounding ectoderm also erases the critical voltage difference between neural plate and ectoderm, resulting in mispatterned gene expression and abnormal large-scale brain morphology.80,97(E) Both local (neural plate) and distant (ectodermal) interventions (manipulating ion fluxes by channel misexpression or drugs targeting ion channels) that restore this critical voltage difference between neural plate and ectoderm, restore gene expression, large-scale brain morphology, and learning behavior.80,87,88,97,105,106(F) A schematic of our model. The overt structure of the model is a 2-dimensional lattice approximately representing the neural plate tissue (shown in the illustration). The circles indicate the individual cells of the tissue, with the colors indicating different voltages corresponding to the endogenous voltage prepattern (blue means depolarized and red, hyperpolarized). Each cell possesses a generic hyperpolarizing channel and depolarizing channel (not shown) and a generic gene regulatory network (gray networks enclosed in squares). The cells exchange gene products and proteins with neighboring cells through the IN-generic intercellular connections (thick gray lines with bidirectional arrowheads) representing paracrine signaling pathways. These collectively represent a plethora of paracrine signaling pathways such as calcium, cAMP, serotonin, integrin, Notch, etc. In this current first iteration model, we generalize them all under paracrine signals as the model is consistent with them all and does not depend on their precise nature. Of note, the IN does not directly allow the exchange of ions but it does so only indirectly via the voltage→gene→gene→voltage pathway (Figure 2A). The voltage and the gene network of a cell influence each other via dedicated connections (thin black lines with unidirectional arrowheads): the voltage acts as an external input to a subset of the genes, affecting their expression and, in turn, the expressions of a subset of the genes can dynamically alter the conductance of the ion channels. The cells in the model are symmetrical, that is, they do not possess a preferred polarity such as that imposed by planar cell polarity. The 4x6 dimension of the lattice shown here is the size that was used during training.(G) Schematic of the input-output map of the pattern discrimination problem; the three input patterns on the left correspond to the embryo schematics displayed in C, B, and D, respectively, with the depolarized (red) and hyperpolarized (blue) voltages corresponding to about −5.2 mV (−10 mV) and −52 mV (−55 mV) in the model (empirical observations80). |
|
|
Figure 2. Overview of the mathematical details of the neural plate circuit model and the process of identifying its parameters (training)(A) The equations defining the model, with the variables and parameters mapped to a simplified two-cell version (the rest of the model is symmetrical to this version). The parameters (red) are learned using machine-learning techniques. The bioelectric constants, namely, C, vth, v0, and vT, are described in ref.88 and in Tables S1–S8.(B) The model is trained using a combination of genetic algorithm and gradient descent. The final model referred to throughout this paper is a product of a training loop that starts with a population of randomly parametrized models, simulates all of them, and then modifies them using genetic algorithm and gradient descent to improve their ability to solve the pattern discrimination problem. |
|
|
Figure 3. Architecture of the chosen high-performing modelDepicted here is the connectivity of a two-cell version of the full model; the rest of the network is symmetrical to this version (full model parameters described in Tables S1–S8). For clarity, we show only about 20% of the strongest connections (10% of the most positive in purple and 10% of the most negative in orange/brown); edge weights are linearly normalized to the range (−1, 1). The most prominent connections run from the voltage to gene 5 (purple), with a positive weight, and among genes 3 and 5 both within a cell and between cells (brown), with a negative weight. Connections running from genes to voltage do exist in the full model, but they were filtered out due to their weak weights. |
|
|
Figure 4. The model not only discriminates between the correct and the incorrect voltage patterns by mapping them to distinct gene expression values but also recapitulates empirically observed development of the voltage pattern(A) Timeseries of the mean normalized gene expression, averaged over all cells and genes, for the three different input conditions depicted on the right: “Depolarized” (all cells are initially depolarized), “Endogenous” (the left and right two columns are initially depolarized with the middle two columns hyperpolarized), or “Hyperpolarized” (all cells are initially hyperpolarized). Insets: (left) discrimination scores of the six individual genes. The red dashed horizontal line indicates the discrimination score expected from a randomly parametrized model. (Right) Gene expression timeseries for gene 6, the gene with the highest discrimination score; the scales of the axes match the scales of the main plot. More detailed timeseries resolved at the level of cells and genes are presented in Figure S2.(B) Top: comparison of the modeled and empirical spatial voltage profiles of a horizontal cross-section of the embryo (schematic) at a point in time when the voltages corresponding to the three different input conditions (treatments) have fully developed (∼200th timestep in the model). Bottom: the spatiotemporal voltage profile of the model depicting the timeseries of Vmem for each cell under each of the three input conditions. Each square in the 4x6 layout of the tissue refers to an individual cell. |
|
|
Figure 5. The best fit model flexibly scales to larger tissues when solving the voltage pattern discrimination problemThe timeseries shows the mean expression, averaged over all cells, of the discriminator gene in a scaled up 10x18 model, initialized with the endogenous voltage pattern (inset; left and right six columns are depolarized, and the middle six columns are hyperpolarized), showing that it successfully discriminates between the correct and incorrect voltage patterns. More detailed timeseries resolved at the cell of the level and for larger tissues are presented in Figure S3. |
|
|
Figure 6. Differential change in model performance due to knocking out individual or patches of cells in the tissueThe darker the shade of a block, the higher the drop in performance due to knocking out that block. A cell or a patch was “knocked out” by freezing the states of its corresponding genes at zero and dropping their biases to negative infinity, thereby rendering them ineffectual both as inputs and outputs.(A) A 4x6 tissue where individual cells were knocked out.(B) A 10x18 tissue where 2-cell x 3-cell patches (each block is a patch) were knocked out. |
|
|
Figure 7. Analytical reconstruction of the gene expression timeseries using only the second-order influence of the voltage pattern on gene expressionA comparison between the normalized original expression timeseries of the discriminator gene (dashed) for the endogenous input pattern and the corresponding reconstruction (solid) obtained from the second-order (Hessian) influence of the endogenous voltage pattern reveals their similarity. The timeseries was reconstructed using the equation g6(t+1)ˆ=g6(t)ˆ+∑j∈TL∑l=1nc∑k=1nccH[6]∂2g6,j(t)∂Gpl∂Gpk(0), where TL refers to the set of cells in the top left quadrant of the tissue and cH was optimized to fit the observed normalized {g6(t)ˆ} with the initial condition g6(0)ˆ=0. Only the cells in the 2x3 top left quadrant of the full 4x6 tissue (dashed boxes) were considered because the model is bilaterally symmetrical both about the vertical and horizontal axes. |
|
|
Figure 8. Spatiotemporal dynamics of the second-order control of gene expression by the endogenous voltage patternEach undirected edge represents a pair of cells whose voltages collectively influence the expression of an average discriminator gene in the top left quadrant. The weight of these edges indicates the degree of influence (second-order derivative) exerted by the voltages of the corresponding pairs of cells on the discriminator gene, whereas their colors indicate whether the influence is positive or negative (strong purple means strongly positive and strong orange/brown means strongly negative). These edges represent the summation term in the equation g6(t+1)ˆ=g6(t)ˆ+∑j∈TL∑l=1nc∑k=1nccH[6]∂2g6,j(t)∂Gpl∂Gpk(0), where TL refers to the set of cells in the top left quadrant of the tissue and cH was optimized to fit the observed normalized {g6(t)ˆ} with the initial condition g6(0)ˆ=0. Only the cells in the 2x3 top left quadrant of the full 4x6 tissue (dashed boxes) were considered because the model is bilaterally symmetrical both about the vertical and horizontal axes. For clarity, only about 10% of the observed edges are shown. The arrows running from one band to another serve as a visual illustration of the average weighted and signed influence exerted by the three bands on the target top left quadrant of the pattern. |
|
|
Figure 9. A division of labor exists among the genes in terms of their sensitivities to the different spatial scales of the voltage patternThe difference between the first-order (Jacobian) directional derivatives of the gene activities computed with respect to the voltage at the tissue level and the single-cell level tends to be positive for genes i= 2 and 5, negative for genes 3 and 4, and mostly balanced but interspersed with positive spurts for genes 1 and 6. This quantity, known as the net scale sensitivity of a gene, is defined as S(i)=∑j∈TL∑l=1nc1nc∂gi,j(t)∂Gpl(0)−∑j∈TL∂gi,j(t)∂Gpj(0). Here, the first term is a directional derivative and computes the net sensitivity to the tissue, and the second term refers to the single cell. The term 1/nc is a normalization term for computing the directional derivative along the direction of the unit vector, thus enabling the comparison between the two scales of the tissue and the single cell. The corresponding inclinations of sensitivity are toward the tissue level, single-cell level, and an intermediate level, respectively. Due to the symmetry of the model, only the genes contained by the cells in the 2x3 top left quadrant of the full 4x6 tissue were considered for these calculations. |
|
|
Figure 10. Model predictions about the responses to two types of non-endogenous input voltage patterns with different polarization ratios simulated in a 10x18 tissueAverage activity levels of the discriminator gene in response to (A) a voltage pattern with a less skewed ratio of polarization in comparison to the endogenous pattern: a half-and-half (step function) voltage pattern where the left half is hyperpolarized and the right half is depolarized (inset); (B) a voltage pattern with a more skewed ratio of polarization in comparison to the endogenous pattern: a sharpened voltage pattern where the overall pattern is maintained but the hyperpolarized neural plate (central band) is only a third of its original normal size (inset). |
|
|
Figure 11. Perturbation of voltage in one-half of an embryo, creating a step function voltage pattern, does not cause defects in brain morphology(A) Illustration of Xenopus embryo at stage 3 (four-cell), indicating two dorsal blastomeres as main precursors of eye and brain and two ventral blastomeres as main precursors of non-neural tissues.137,171(B) Normal voltage pattern in control (uninjected) stage ∼15 Xenopus embryos. Top: illustration of expected membrane voltage distribution in stage 15 embryo and expected voltage pattern along the dashed line; bottom: representative image of CC2-DMPE:DiBAC voltage-reporter-dyes-stained embryos, showing characteristic hyperpolarization in the neural plate (yellow arrows) and surrounding depolarized ectoderm80,87,88 (N = 6) and quantification of CC2-DMPE:DiBAC4 images along the dashed line indicated in the illustration along with electrophysiology-based membrane voltage approximations. Data are mean+/− SD.(C) Step function voltage pattern at stage ∼15 in embryos microinjected with Kv1.5 + β-galactosidase mRNA in one dorsal blastomere at four-cell stage. Top: illustration of expected membrane voltage distribution in injected stage 15 embryo and expected voltage pattern along the dashed line; bottom: representative image of CC2-DMPE: DiBAC voltage-reporter-dyes-stained embryos, showing characteristic hyperpolarization in neural plate (yellow arrow) but hyperpolarized ectoderm only on the injected side (red arrow) (N = 6) and quantification of CC2-DMPE:DiBAC4 images along the dashed line indicated in the illustration along with electrophysiology-based membrane voltage approximations. Data are mean+/− SD.(D–G) Representative images of stage 45 tadpoles. (D, E) Tadpoles from uninjected (D) or injected (E) embryos. Blue arrowheads indicate intact nostrils, orange brackets indicate intact forebrain (FB), yellow brackets indicate intact midbrain (MB), cyan brackets indicate intact hindbrain (HB) and intact eyes (e) (F, G) β-Galactosidase expression assessed using X-Gal (blue) in bleached tadpoles. In injected tadpoles (G), X-gal staining is evident in the eye and brain on the injected side (blue arrowheads) but not the uninjected side (magenta arrowheads), validating our targeting of mRNA microinjection. There was no X-gal staining (magenta arrowheads) in uninjected tadpoles (F) (N > 10 tadpoles per experimental group).(H) Quantification of brain morphology defects in stage 45 tadpoles under different injection conditions demonstrates no significant differences among any of the injection conditions. All injections were made into the right dorsal blastomere at 4-cell stage as indicated in the schematic under each graph. Percentage of tadpoles with brain defects for each experimental group are as follows: Controls: 8%, β-galactosidase: 7%, Kv1.5 + β-galactosidase: 8%, and Kir4.1: 6%. Data are mean ± SD, n.s. = non-significant (one-way ANOVA with Tukey’s post-hoc test for n = 3 independent experiments with N > 50 embryos per treatment group per experiment). |
|
|
Figure 12. Perturbation of voltage to decrease neural plate hyperpolarized cells while minimally changing the overall voltage pattern leads to significant brain morphology defects(A) Illustration of Xenopus embryo at stage 3 (four-cell) indicating two dorsal blastomeres as main precursors of eye and brain and two ventral blastomeres as main precursors of non-neural tissues.137,171(B) Endogenous voltage pattern in control (uninjected) stage ∼15 embryos. Top: illustration of expected membrane voltage distribution in stage 15 embryo and expected voltage pattern along the dashed line; bottom: representative image of embryo stained with CC2-DMPE:DiBAC4 voltage reporter dyes, showing characteristic hyperpolarization in the neural plate (yellow arrows) and surrounding depolarized ectoderm80,87,88 (N = 6) and quantification of CC2-DMPE:DiBAC4 images along the dashed line indicated in the illustration along with electrophysiology-based membrane voltage approximations. Data are mean+/− SD.(C) Altered voltage pattern in stage ∼15 embryos microinjected with DN-KATP+ β-galactosidase mRNA in one dorsal blastomere at four-cell stage. Top: illustration of expected membrane voltage distribution in injected stage 15 embryo and expected voltage pattern along the dashed line; bottom: representative image of injected embryo stained with CC2-DMPE: DiBAC4 membrane voltage reporter dyes showing reduced region of hyperpolarization in neural plate and narrower hyperpolarization region (empty yellow arrow) (N > 6 embryos per experimental group) and quantification of CC2-DMPE:DiBAC4 images along the dashed line indicated in the illustration along with electrophysiology-based membrane voltage approximations. Data are mean+/− SD.(D–G) Representative images of stage 45 tadpoles. (D, E) Tadpoles from uninjected (D) or microinjected with DN-KATP+ β-galactosidase mRNA (E) embryos. Blue arrowheads indicate intact nostrils; orange, yellow, and cyan brackets indicate intact forebrain (FB), midbrain (MB), and hindbrain (HB), respectively. (e) indicates intact eyes, and orange arrowheads indicate mispatterned brain and eye. (F, G) β-Galactosidase expression assessed using X-Gal (blue) in bleached tadpoles either left uninjected (controls) or co-injected with DN-KATP+ β-galactosidase mRNA. There was no X-gal staining (magenta arrowheads) in uninjected tadpoles (F) In injected tadpoles (G), β-galactosidase was observed in the eye and brain on the injected side (blue arrowheads) but not the uninjected side (magenta arrowheads), confirming expected targeting of microinjected mRNAs. (N > 10 tadpoles per experimental group).(H) DN-KATP + β-galactosidase injection significantly increased the percentage of stage 45 tadpoles with brain morphology defects: uninjected or β-galactosidase controls—both 9%; DN-KATP + β-galactosidase—53%. All injections were made into the right dorsal blastomere at four-cell stage as indicated in the schematic under each graph. Data are mean ± SD, ∗∗p < 0.01, n.s. = non-significant (one-way ANOVA with Tukey’s post-hoc test for n = 3 independent experiments with N > 50 embryos per treatment group per experiment). |
|
|
Figure 13. An overview of the current knowledge and gaps in our understanding of Xenopus brain development(A) A schematic of the general state of our knowledge in embryonic brain patterning and the area of focus of this study.(B) A schematic of the functional relationship in which a spatial pattern (the characteristic bell curve voltage distribution, left panel) is transduced into specific gene expression decisions (middle panel, taken from with permission from ref.84) that is required to implement mature brain anatomy (right panel). |
References [+] :
Adams,
Endogenous voltage gradients as mediators of cell-cell communication: strategies for investigating bioelectrical signals during pattern formation.
2013, Pubmed
Adams, Endogenous voltage gradients as mediators of cell-cell communication: strategies for investigating bioelectrical signals during pattern formation. 2013, Pubmed
Adams, Early, H+-V-ATPase-dependent proton flux is necessary for consistent left-right patterning of non-mammalian vertebrates. 2006, Pubmed , Xenbase
Adams, Light-activation of the Archaerhodopsin H(+)-pump reverses age-dependent loss of vertebrate regeneration: sparking system-level controls in vivo. 2013, Pubmed , Xenbase
Adams, H+ pump-dependent changes in membrane voltage are an early mechanism necessary and sufficient to induce Xenopus tail regeneration. 2007, Pubmed , Xenbase
Adams, General principles for measuring resting membrane potential and ion concentration using fluorescent bioelectricity reporters. 2012, Pubmed
Adams, Measuring resting membrane potential using the fluorescent voltage reporters DiBAC4(3) and CC2-DMPE. 2012, Pubmed , Xenbase
Adams, Bioelectric signalling via potassium channels: a mechanism for craniofacial dysmorphogenesis in KCNJ2-associated Andersen-Tawil Syndrome. 2016, Pubmed , Xenbase
Andersen, A biologically derived approach to tissue modeling. 2005, Pubmed
Andersen, Shape homeostasis in virtual embryos. 2009, Pubmed
Arcangeli, New Trends in Cancer Therapy: Targeting Ion Channels and Transporters. 2010, Pubmed
Armingol, Deciphering cell-cell interactions and communication from gene expression. 2021, Pubmed
Aw, The ATP-sensitive K(+)-channel (K(ATP)) controls early left-right patterning in Xenopus and chick embryos. 2010, Pubmed , Xenbase
Aw, H,K-ATPase protein localization and Kir4.1 function reveal concordance of three axes during early determination of left-right asymmetry. 2008, Pubmed , Xenbase
Balaskas, Gene regulatory logic for reading the Sonic Hedgehog signaling gradient in the vertebrate neural tube. 2012, Pubmed
Barbieri, What is code biology? 2018, Pubmed
Barbieri, The organic codes. The basic mechanism of macroevolution. 1998, Pubmed
Barbieri, A general model on the origin of biological codes. 2019, Pubmed
Bates, Ion channels in development and cancer. 2015, Pubmed
Beane, A chemical genetics approach reveals H,K-ATPase-mediated membrane voltage is required for planarian head regeneration. 2011, Pubmed
Beane, Bioelectric signaling regulates head and organ size during planarian regeneration. 2013, Pubmed
Beccari, The logic of gene regulatory networks in early vertebrate forebrain patterning. 2013, Pubmed
Belus, Kir2.1 is important for efficient BMP signaling in mammalian face development. 2018, Pubmed
Blackiston, Transmembrane potential of GlyCl-expressing instructor cells induces a neoplastic-like conversion of melanocytes via a serotonergic pathway. 2011, Pubmed , Xenbase
Blum, Xenopus: An Undervalued Model Organism to Study and Model Human Genetic Disease. 2018, Pubmed , Xenbase
Brackenbury, Voltage-gated sodium channels and metastatic disease. 2012, Pubmed
Briscoe, A hedgehog-insensitive form of patched provides evidence for direct long-range morphogen activity of sonic hedgehog in the neural tube. 2001, Pubmed
Brodland, How computational models can help unlock biological systems. 2015, Pubmed
Busse, Cross-limb communication during Xenopus hindlimb regenerative response: non-local bioelectric injury signals. 2018, Pubmed , Xenbase
Carvalho, A computational model of cell membrane bioelectric polarization and depolarization, connected with cell proliferation, in different tissue geometries. 2023, Pubmed
Cervera, Morphology changes induced by intercellular gap junction blocking: A reaction-diffusion mechanism. 2021, Pubmed
Cervera, The interplay between genetic and bioelectrical signaling permits a spatial regionalisation of membrane potentials in model multicellular ensembles. 2016, Pubmed
Cervera, Bioelectrical Coupling of Single-Cell States in Multicellular Systems. 2020, Pubmed
Cervera, From non-excitable single-cell to multicellular bioelectrical states supported by ion channels and gap junction proteins: Electrical potentials as distributed controllers. 2019, Pubmed
Cervera, Bioelectrical coupling in multicellular domains regulated by gap junctions: A conceptual approach. 2018, Pubmed
Cervera, Bioelectrical model of head-tail patterning based on cell ion channels and intercellular gap junctions. 2020, Pubmed
Cervera, Community effects allow bioelectrical reprogramming of cell membrane potentials in multicellular aggregates: Model simulations. 2020, Pubmed
Chernet, Long-range gap junctional signaling controls oncogene-mediated tumorigenesis in Xenopus laevis embryos. 2014, Pubmed , Xenbase
Chernet, Transmembrane voltage potential of somatic cells controls oncogene-mediated tumorigenesis at long-range. 2014, Pubmed , Xenbase
Chernet, Use of genetically encoded, light-gated ion translocators to control tumorigenesis. 2016, Pubmed , Xenbase
Chernet, Transmembrane voltage potential is an essential cellular parameter for the detection and control of tumor development in a Xenopus model. 2013, Pubmed , Xenbase
Cooke, Properties of the primary organization field in the embryo of Xenopus laevis. IV. Pattern formation and regulation following early inhibition of mitosis. 1973, Pubmed , Xenbase
Cooke, Scale of body pattern adjusts to available cell number in amphibian embryos. 1981, Pubmed , Xenbase
Cooke, Dynamics of the control of body pattern in the development of Xenopus laevis. I. Timing and pattern in the development of dorsoanterior and posterior blastomere pairs, isolated at the 4-cell stage. 1985, Pubmed , Xenbase
Daane, Bioelectric-calcineurin signaling module regulates allometric growth and size of the zebrafish fin. 2018, Pubmed
Dahal, Inwardly rectifying potassium channels influence Drosophila wing morphogenesis by regulating Dpp release. 2017, Pubmed
Dahal, An inwardly rectifying K+ channel is required for patterning. 2012, Pubmed
Davidson, Epithelial machines that shape the embryo. 2012, Pubmed , Xenbase
Davidson, Emergent morphogenesis: elastic mechanics of a self-deforming tissue. 2010, Pubmed , Xenbase
Delás, Developmental cell fate choice in neural tube progenitors employs two distinct cis-regulatory strategies. 2023, Pubmed
Djamgoz, Ion transport and cancer: from initiation to metastasis. 2014, Pubmed
Durant, The Role of Early Bioelectric Signals in the Regeneration of Planarian Anterior/Posterior Polarity. 2019, Pubmed
Emmons-Bell, Membrane potential regulates Hedgehog signalling in the Drosophila wing imaginal disc. 2021, Pubmed
Exner, Xenopus leads the way: Frogs as a pioneering model to understand the human brain. 2021, Pubmed , Xenbase
Fakler, Heterooligomeric assembly of inward-rectifier K+ channels from subunits of different subfamilies: Kir2.1 (IRK1) and Kir4.1 (BIR10). 1996, Pubmed , Xenbase
FANKHAUSER, Maintenance of normal structure in heteroploid salamander larvae, through compensation of changes in cell size by adjustment of cell number and cell shape. 1945, Pubmed
Fennelly, Bioelectric Properties of Myogenic Progenitor Cells. 2019, Pubmed
Ferreira, Early redox activities modulate Xenopus tail regeneration. 2018, Pubmed , Xenbase
Ferreira, Early bioelectric activities mediate redox-modulated regeneration. 2016, Pubmed , Xenbase
Fields, Morphological Coordination: A Common Ancestral Function Unifying Neural and Non-Neural Signaling. 2020, Pubmed
Fields, Competency in Navigating Arbitrary Spaces as an Invariant for Analyzing Cognition in Diverse Embodiments. 2022, Pubmed
Gates, The effective graph reveals redundancy, canalization, and control pathways in biochemical regulation and signaling. 2021, Pubmed
Gentile, hERG1 potassium channel in cancer cells: a tool to reprogram immortality. 2016, Pubmed
George, Ion Channel Contributions to Wing Development in Drosophila melanogaster. 2019, Pubmed
Gordon, French flag gradients and Turing reaction-diffusion versus differentiation waves as models of morphogenesis. 2020, Pubmed
Gunawardena, Models in biology: 'accurate descriptions of our pathetic thinking'. 2014, Pubmed
Harris, The need for a concept of shape homeostasis. 2018, Pubmed
Harris, Bioelectric signaling as a unique regulator of development and regeneration. 2021, Pubmed
Herrera-Rincon, The brain is required for normal muscle and nerve patterning during early Xenopus development. 2017, Pubmed , Xenbase
Hovland, Network architecture and regulatory logic in neural crest development. 2020, Pubmed
Huizar, Interplay between morphogen-directed positional information systems and physiological signaling. 2020, Pubmed
Inomata, Scaling of pattern formations and morphogen gradients. 2017, Pubmed , Xenbase
Iwafuchi-Doi, Transcriptional regulatory networks in epiblast cells and during anterior neural plate development as modeled in epiblast stem cells. 2012, Pubmed
Kale, Targeting ion channels for cancer therapy by repurposing the approved drugs. 2015, Pubmed
Kaltenbrun, Xenopus: An emerging model for studying congenital heart disease. 2011, Pubmed , Xenbase
Kicheva, Control of Tissue Development by Morphogens. 2023, Pubmed
Komurov, Modeling community-wide molecular networks of multicellular systems. 2012, Pubmed
Krüger, Bioelectric patterning during oogenesis: stage-specific distribution of membrane potentials, intracellular pH and ion-transport mechanisms in Drosophila ovarian follicles. 2015, Pubmed
Lagergren, Biologically-informed neural networks guide mechanistic modeling from sparse experimental data. 2020, Pubmed
Lanni, Integrated K+ channel and K+Cl- cotransporter functions are required for the coordination of size and proportion during development. 2019, Pubmed
Lasser, The Many Faces of Xenopus: Xenopus laevis as a Model System to Study Wolf-Hirschhorn Syndrome. 2019, Pubmed , Xenbase
Lautemann, Relating proton pumps with gap junctions: colocalization of ductin, the channel-forming subunit c of V-ATPase, with subunit a and with innexins 2 and 3 during Drosophila oogenesis. 2016, Pubmed
Lee, Neural transcription factors: from embryos to neural stem cells. 2014, Pubmed , Xenbase
Levin, The Computational Boundary of a "Self": Developmental Bioelectricity Drives Multicellularity and Scale-Free Cognition. 2019, Pubmed
Levin, Bioelectrical approaches to cancer as a problem of the scaling of the cellular self. 2021, Pubmed
Levin, Bioelectric signaling: Reprogrammable circuits underlying embryogenesis, regeneration, and cancer. 2021, Pubmed , Xenbase
Levin, Endogenous Bioelectric Signaling Networks: Exploiting Voltage Gradients for Control of Growth and Form. 2017, Pubmed
Levin, Molecular bioelectricity: how endogenous voltage potentials control cell behavior and instruct pattern regulation in vivo. 2014, Pubmed
Levin, Asymmetries in H+/K+-ATPase and cell membrane potentials comprise a very early step in left-right patterning. 2002, Pubmed , Xenbase
Levin, The bioelectric code: An ancient computational medium for dynamic control of growth and form. 2018, Pubmed
Macken, Biallelic variants in COPB1 cause a novel, severe intellectual disability syndrome with cataracts and variable microcephaly. 2021, Pubmed , Xenbase
Maharana, A gene regulatory network underlying the formation of pre-placodal ectoderm in Xenopus laevis. 2018, Pubmed , Xenbase
Manicka, Minimal Developmental Computation: A Causal Network Approach to Understand Morphogenetic Pattern Formation. 2022, Pubmed
Mathews, Ion Channel Drugs Suppress Cancer Phenotype in NG108-15 and U87 Cells: Toward Novel Electroceuticals for Glioblastoma. 2022, Pubmed
Matos, Heterochrony and artificial embryogeny: a method for analyzing artificial embryogenies based on developmental dynamics. 2009, Pubmed
McMillen, Beyond Neurons: Long Distance Communication in Development and Cancer. 2021, Pubmed
Meyer, Advances in systems biology modeling: 10 years of crowdsourcing DREAM challenges. 2021, Pubmed
Miller, The interplay between cell signalling and mechanics in developmental processes. 2013, Pubmed
Milo, BioNumbers--the database of key numbers in molecular and cell biology. 2010, Pubmed
Mirth, Allometry and size control: what can studies of body size regulation teach us about the evolution of morphological scaling relationships? 2016, Pubmed
Moody, Fates of the blastomeres of the 32-cell-stage Xenopus embryo. 1987, Pubmed , Xenbase
Moore, Inform: Efficient Information-Theoretic Analysis of Collective Behaviors. 2018, Pubmed
Morokuma, KCNQ1 and KCNE1 K+ channel components are involved in early left-right patterning in Xenopus laevis embryos. 2008, Pubmed , Xenbase
Newman, Inherency of Form and Function in Animal Development and Evolution. 2019, Pubmed
Ott, The Frog Xenopus as a Model to Study Joubert Syndrome: The Case of a Human Patient With Compound Heterozygous Variants in PIBF1. 2019, Pubmed , Xenbase
Oudin, Physical and Chemical Gradients in the Tumor Microenvironment Regulate Tumor Cell Invasion, Migration, and Metastasis. 2016, Pubmed
Oviedo, Long-range neural and gap junction protein-mediated cues control polarity during planarian regeneration. 2010, Pubmed
Oviedo, Allometric scaling and proportion regulation in the freshwater planarian Schmidtea mediterranea. 2003, Pubmed
Pai, HCN2 channel-induced rescue of brain, eye, heart and gut teratogenesis caused by nicotine, ethanol and aberrant notch signalling. 2022, Pubmed , Xenbase
Pai, Transmembrane voltage potential controls embryonic eye patterning in Xenopus laevis. 2012, Pubmed , Xenbase
Pai, HCN2 Channel-Induced Rescue of Brain Teratogenesis via Local and Long-Range Bioelectric Repair. 2020, Pubmed , Xenbase
Pai, Neurally Derived Tissues in Xenopus laevis Embryos Exhibit a Consistent Bioelectrical Left-Right Asymmetry. 2012, Pubmed , Xenbase
Pai, Preventing Ethanol-Induced Brain and Eye Morphology Defects Using Optogenetics. 2019, Pubmed , Xenbase
Pai, Endogenous gradients of resting potential instructively pattern embryonic neural tissue via Notch signaling and regulation of proliferation. 2015, Pubmed , Xenbase
Pai, HCN2 Rescues brain defects by enforcing endogenous voltage pre-patterns. 2018, Pubmed , Xenbase
Pai, HCN4 ion channel function is required for early events that regulate anatomical left-right patterning in a nodal and lefty asymmetric gene expression-independent manner. 2017, Pubmed , Xenbase
Pai, Genome-wide analysis reveals conserved transcriptional responses downstream of resting potential change in Xenopus embryos, axolotl regeneration, and human mesenchymal cell differentiation. 2016, Pubmed , Xenbase
Pai, Local and long-range endogenous resting potential gradients antagonistically regulate apoptosis and proliferation in the embryonic CNS. 2015, Pubmed , Xenbase
Payne, Bioelectric Control of Metastasis in Solid Tumors. 2019, Pubmed
Perathoner, Bioelectric signaling regulates size in zebrafish fins. 2014, Pubmed , Xenbase
Pezzulo, Top-down models in biology: explanation and control of complex living systems above the molecular level. 2016, Pubmed
Pezzulo, Re-membering the body: applications of computational neuroscience to the top-down control of regeneration of limbs and other complex organs. 2015, Pubmed
Pietak, Neural control of body-plan axis in regenerating planaria. 2019, Pubmed
Pietak, Bioelectric gene and reaction networks: computational modelling of genetic, biochemical and bioelectrical dynamics in pattern regulation. 2017, Pubmed
Pinotsis, Beyond dimension reduction: Stable electric fields emerge from and allow representational drift. 2022, Pubmed
Pinotsis, In vivo ephaptic coupling allows memory network formation. 2023, Pubmed
Pitcairn, Coordinating heart morphogenesis: A novel role for hyperpolarization-activated cyclic nucleotide-gated (HCN) channels during cardiogenesis in Xenopus laevis. 2017, Pubmed , Xenbase
Placzek, Sonic hedgehog in vertebrate neural tube development. 2018, Pubmed
Pratt, Modeling human neurodevelopmental disorders in the Xenopus tadpole: from mechanisms to therapeutic targets. 2013, Pubmed , Xenbase
Prinz, Similar network activity from disparate circuit parameters. 2004, Pubmed
Rasolonjanahary, Scaling of morphogenetic patterns in reaction-diffusion systems. 2016, Pubmed
Riol, Cell Systems Bioelectricity: How Different Intercellular Gap Junctions Could Regionalize a Multicellular Aggregate. 2021, Pubmed
Schindelin, Fiji: an open-source platform for biological-image analysis. 2012, Pubmed
Schotthöfer, Analysing bioelectrical phenomena in the Drosophila ovary with genetic tools: tissue-specific expression of sensors for membrane potential and intracellular pH, and RNAi-knockdown of mechanisms involved in ion exchange. 2020, Pubmed
Schwappach, Molecular basis for K(ATP) assembly: transmembrane interactions mediate association of a K+ channel with an ABC transporter. 2000, Pubmed , Xenbase
Serra, On the dynamics of random Boolean networks subject to noise: attractors, ergodic sets and cell types. 2010, Pubmed
Silver, Epithelial tissue geometry directs emergence of bioelectric field and pattern of proliferation. 2020, Pubmed
Silver, Substratum stiffness tunes membrane voltage in mammary epithelial cells. 2021, Pubmed
Simsek, Patterning principles of morphogen gradients. 2022, Pubmed
Solé, Adaptive walks in a gene network model of morphogenesis: insights into the Cambrian explosion. 2003, Pubmed
Stanley, A taxonomy for artificial embryogeny. 2003, Pubmed
Stern, Experimental reversal of polarity in chick embryo epiblast sheets in vitro. 1982, Pubmed
Stern, Neural induction: old problem, new findings, yet more questions. 2005, Pubmed , Xenbase
Strutz-Seebohm, Comparison of potent Kv1.5 potassium channel inhibitors reveals the molecular basis for blocking kinetics and binding mode. 2007, Pubmed
Sundelacruz, Role of membrane potential in the regulation of cell proliferation and differentiation. 2009, Pubmed
Ta, Temporal and spatial transcriptomic dynamics across brain development in Xenopus laevis tadpoles. 2022, Pubmed , Xenbase
Thompson, From genes to shape during metamorphosis: a history. 2021, Pubmed
Trevers, A gene regulatory network for neural induction. 2023, Pubmed
Tseng, Induction of vertebrate regeneration by a transient sodium current. 2010, Pubmed , Xenbase
Umulis, Mechanisms of scaling in pattern formation. 2013, Pubmed , Xenbase
Vandenberg, Normalized shape and location of perturbed craniofacial structures in the Xenopus tadpole reveal an innate ability to achieve correct morphology. 2012, Pubmed , Xenbase
Vandenberg, V-ATPase-dependent ectodermal voltage and pH regionalization are required for craniofacial morphogenesis. 2011, Pubmed , Xenbase
van Vliet, Hyperpolarization induces differentiation in human cardiomyocyte progenitor cells. 2010, Pubmed
Villaverde, Reverse engineering and identification in systems biology: strategies, perspectives and challenges. 2014, Pubmed
Vollmer, Growth and size control during development. 2017, Pubmed
Weiß, Electrochemical gradients are involved in regulating cytoskeletal patterns during epithelial morphogenesis in the Drosophila ovary. 2019, Pubmed
Weiß, Electrochemical patterns during Drosophila oogenesis: ion-transport mechanisms generate stage-specific gradients of pH and membrane potential in the follicle-cell epithelium. 2019, Pubmed
Werner, Scaling and regeneration of self-organized patterns. 2015, Pubmed
Willadsen, Robustness and state-space structure of Boolean gene regulatory models. 2007, Pubmed
Wulff, Voltage-gated potassium channels as therapeutic targets. 2009, Pubmed
Yang, Membrane potential and cancer progression. 2013, Pubmed
Yi, A calcineurin-mediated scaling mechanism that controls a K+-leak channel to regulate morphogen and growth factor transcription. 2021, Pubmed
Zagorski, Decoding of position in the developing neural tube from antiparallel morphogen gradients. 2017, Pubmed
Zhou, SIGNAL TRANSDUCTION. Membrane potential modulates plasma membrane phospholipid dynamics and K-Ras signaling. 2015, Pubmed
