XB-ART-60264
HGG Adv
2023 Aug 12;44:100232. doi: 10.1016/j.xhgg.2023.100232.
Show Gene links
Show Anatomy links
Rare variants in CAPN2 increase risk for isolated hypoplastic left heart syndrome.
Blue EE, White JJ, Dush MK, Gordon WW, Wyatt BH, White P, Marvin CT, Helle E, Ojala T, Priest JR, Jenkins MM, Almli LM, Reefhuis J, Pangilinan F, Brody LC, McBride KL, Garg V, Shaw GM, Romitti PA, Nembhard WN, Browne ML, Werler MM, Kay DM, National Birth Defects Prevention Study, University of Washington Center for Mendelian Genomics, Mital S, Chong JX, Nascone-Yoder NM, Bamshad MJ.
???displayArticle.abstract???
Hypoplastic left heart syndrome (HLHS) is a severe congenital heart defect (CHD) characterized by hypoplasia of the left ventricle and aorta along with stenosis or atresia of the aortic and mitral valves. HLHS represents only ∼4%-8% of all CHDs but accounts for ∼25% of deaths. HLHS is an isolated defect (i.e., iHLHS) in 70% of families, the vast majority of which are simplex. Despite intense investigation, the genetic basis of iHLHS remains largely unknown. We performed exome sequencing on 331 families with iHLHS aggregated from four independent cohorts. A Mendelian-model-based analysis demonstrated that iHLHS was not due to single, large-effect alleles in genes previously reported to underlie iHLHS or CHD in >90% of families in this cohort. Gene-based association testing identified increased risk for iHLHS associated with variation in CAPN2 (p = 1.8 × 10-5), encoding a protein involved in functional adhesion. Functional validation studies in a vertebrate animal model (Xenopus laevis) confirmed CAPN2 is essential for cardiac ventricle morphogenesis and that in vivo loss of calpain function causes hypoplastic ventricle phenotypes and suggest that human CAPN2707C>T and CAPN21112C>T variants, each found in multiple individuals with iHLHS, are hypomorphic alleles. Collectively, our findings show that iHLHS is typically not a Mendelian condition, demonstrate that CAPN2 variants increase risk of iHLHS, and identify a novel pathway involved in HLHS pathogenesis.
???displayArticle.pubmedLink??? 37663545
???displayArticle.pmcLink??? PMC10474499
???displayArticle.link??? HGG Adv
???displayArticle.grants??? [+]
UM1 HG006493 NHGRI NIH HHS , U24 HG008956 NHGRI NIH HHS , R01 HD095937 NICHD NIH HHS , CDP 13-003 HSRD VA, EP-D-18-001 EPA, U01 DD001304 NCBDD CDC HHS, U01 DD001227 NCBDD CDC HHS, U01 DD001032 NCBDD CDC HHS
Species referenced: Xenopus laevis
Genes referenced: capn2 pam
GO keywords: cardiac ventricle morphogenesis [+]
???displayArticle.antibodies??? Tnnt2 Ab1
???displayArticle.morpholinos??? capn2 MO2
gRNAs referenced: capn2 gRNA1 capn2 gRNA2
???displayArticle.disOnts??? hypoplastic left heart syndrome
Phenotypes: Xla Wt + capn2 CRISPR + GFP(Fig. 3. B, F) [+]
???attribute.lit??? ???displayArticles.show???
|
|
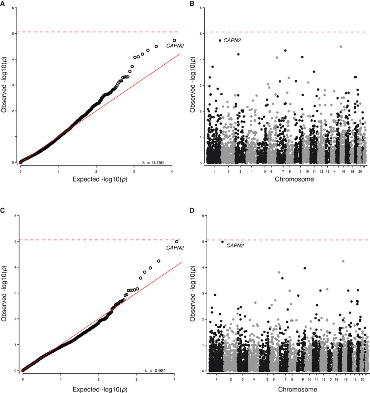
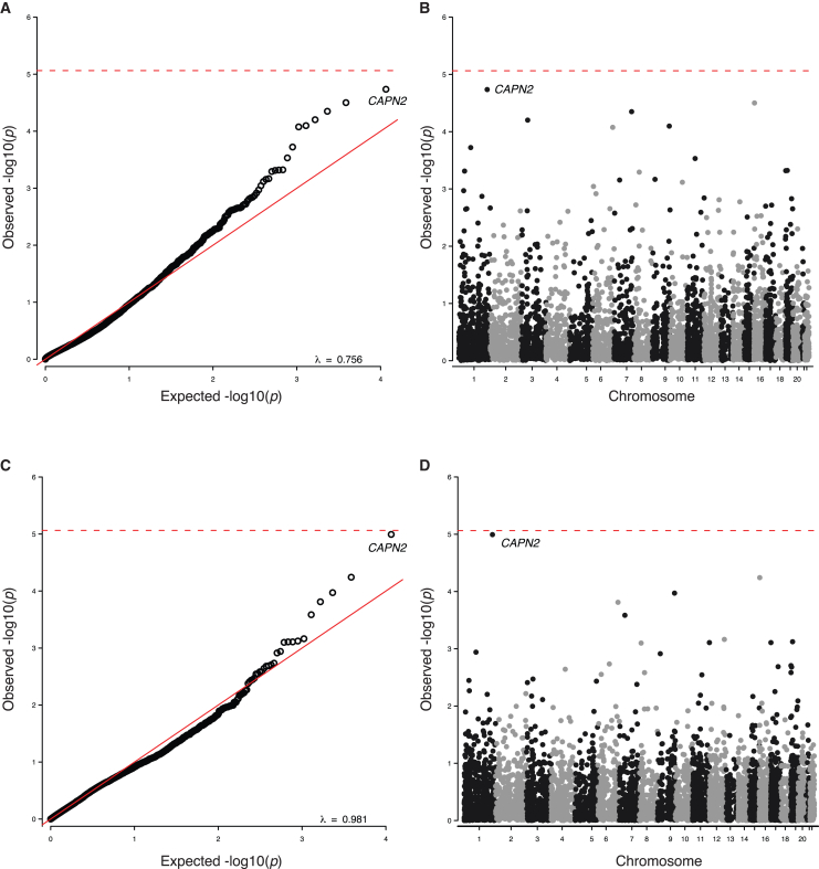
Figure 1. Discovery association tests. (AD) Comparison of SKAT-O (A and B) and burden (C and D) approaches to gene-based rare variant aggregate association analysis. Manhattan (B and D) and QQ (A and C) plots demonstrate that CAPN2 is the most significantly associated gene tested, regardless of approach. A low median value for the SKAT-O QQ plot (A) suggests genomic deflation in this approach. |
|
|
Figure 2. CAPN2 variants identified in individuals with isolated hypoplastic left heart syndrome (iHLHS) Gene diagram of CAPN2 (GenBank: NM_001748.4) with locations of variants identified in individuals with iHLHS. Black dots represent variants present in the association subset of the cohort, blue dots represent variants identified in samples excluded from the association analysis due to lack of ancestry-matched controls. |
|
|
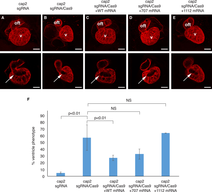
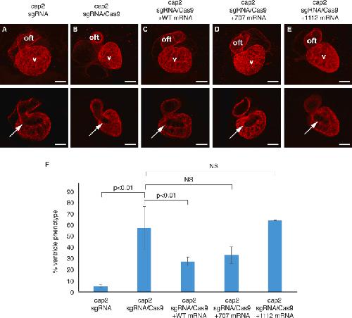
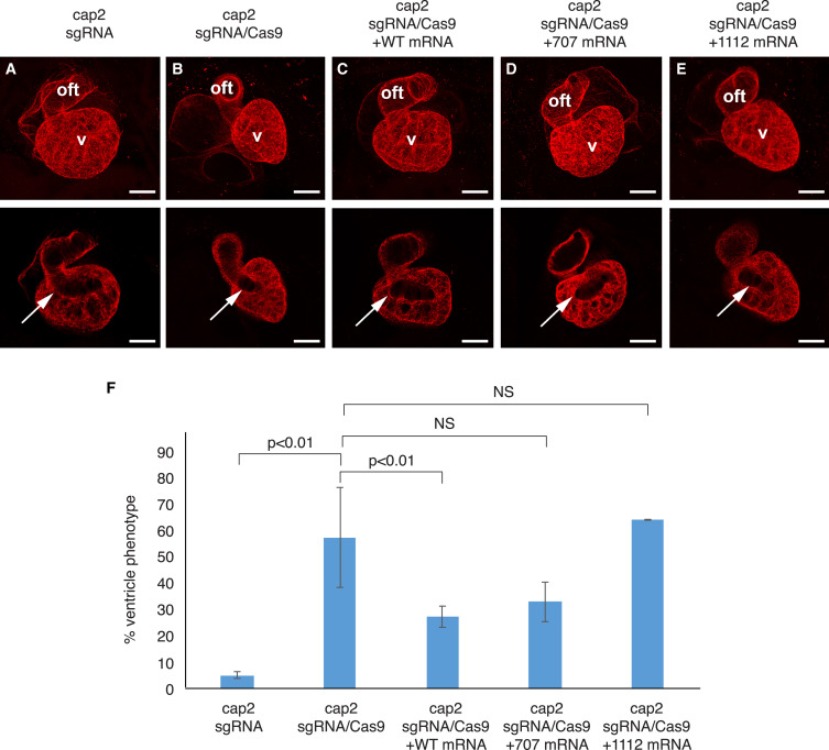
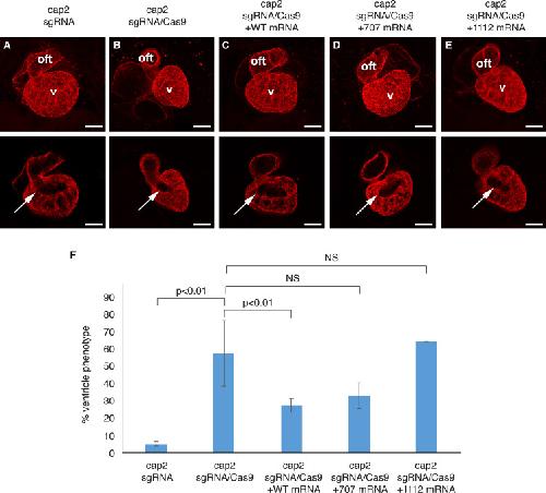
Figure 3. CRISPR-Cas9-mediated functional studies of CAPN2 variants in vivo Xenopus laevis embryos were injected with capn2 single guide RNA (sgRNA) alone (control; A), capn2 sgRNA plus Cas9 protein (to elicit capn2 indels and loss of Capn2 function; B), or capn2 sgRNA/Cas9 co-injected with WT capn2 mRNA (C), mutant capn2 mRNA engineered to contain the orthologous human CAPN2707C>T variant (707 mRNA; D), or mutant capn2 mRNA engineered to contain the orthologous human CAPN21112C>T variant (1112 mRNA; E). Injected F0 embryos were allowed to develop through cardiogenesis and immunostained for Troponin T (red) to highlight the outflow tract (oft) and ventricle (v) of the heart (top row); optical sectioning was used to visualize the internal ventricular chamber (arrows, bottom row). In contrast to controls (A), embryos with CRISPR-Cas9-mediated loss of function of Capn2 (B) develop a hypoplastic ventricle and reduced ventricular chamber. Normal phenotype (C) is restored by co-injecting exogenous WT capn2 mRNA, confirming specificity of the phenotype. Co-injection of 707 mRNA can also restore normal ventricle phenotypes (D), although the frequency of rescue was not statistically significant (F), indicating that the CAPN2707C>T variant may be a mildly hypomorphic allele. Co-injection of 1112 mRNA is unable to rescue the HLHS-like phenotype at all (E and F), indicating the CAPN21112C>T variant may represent a null allele with respect to function necessary for normal ventricular development. (F) Results were quantified from three independent trials (n = 1457 embryos per condition, per experiment); error bars indicate standard deviation. Significance of differences between the percentage of HLHS-like phenotypes in each condition is noted. Scale bars, 100 m. |
|
|
Supplemental Figure 1. PC1 and PC2 values for each sample included in analysis. Samples are colored by outcome (case/control) and demonstrate that the first two PCs are not partitioning samplesbased on outcome. |
|
|
Supplemental Figure 2. Representative mutations at the Xenopus capn2 locus elicited by injection of capn2 sgRNA and Cas9 protein. Sequencing of a subset of individual clones validates the presence of deleterious mutations in capn2 sgRNA injected embryos. The sgRNA target sequences are highlighted (sgRNA #1, top; sgRNA #2, bottom), PAM sequence are boxed, deletions (Δ ) are indicated by dashes, and insertions (+) are underlined. CRISPRinduced mutations include frameshift and premature termination (e.g., Δ 5, Δ 14, +1), nonsynonymous substitution (e.g., Δ 1/+1) or deletion of 1 or more amino acids (e.g., Δ 6, Δ 9). |
|
|
Supplemental Figure 3. Morpholino knockdown of Xenopus Capn2 elicits a hypoplastic ventricle phenotype. While control (un-injected) embryos (A, D) develop normal heart morphology, embryos injected with a Capn2 morpholino oligonucleotide (Capn2 MO) have hypoplastic ventricles (B, E). The phenotype is fully rescuable by co-injection of WT capn2 mRNA (C, F), confirming the specificity of the effect. G) Quantification of morpholino results from 3 different experiments (n= 8-24 embryos per condition, per experiment); error bars indicate standard deviation |
|
|
Figure 1. Discovery association tests(A–D) Comparison of SKAT-O (A and B) and burden (C and D) approaches to gene-based rare variant aggregate association analysis. Manhattan (B and D) and QQ (A and C) plots demonstrate that CAPN2 is the most significantly associated gene tested, regardless of approach. A low median λ value for the SKAT-O QQ plot (A) suggests genomic deflation in this approach. |
|
|
Figure 2. CAPN2 variants identified in individuals with isolated hypoplastic left heart syndrome (iHLHS)Gene diagram of CAPN2 (GenBank: NM_001748.4) with locations of variants identified in individuals with iHLHS. Black dots represent variants present in the association subset of the cohort, blue dots represent variants identified in samples excluded from the association analysis due to lack of ancestry-matched controls. |
|
|
Figure 3. CRISPR-Cas9-mediated functional studies of CAPN2 variants in vivoXenopus laevis embryos were injected with capn2 single guide RNA (sgRNA) alone (control; A), capn2 sgRNA plus Cas9 protein (to elicit capn2 indels and loss of Capn2 function; B), or capn2 sgRNA/Cas9 co-injected with WT capn2 mRNA (C), mutant capn2 mRNA engineered to contain the orthologous human CAPN2707C>T variant (707 mRNA; D), or mutant capn2 mRNA engineered to contain the orthologous human CAPN21112C>T variant (1112 mRNA; E). Injected F0 embryos were allowed to develop through cardiogenesis and immunostained for Troponin T (red) to highlight the outflow tract (oft) and ventricle (v) of the heart (top row); optical sectioning was used to visualize the internal ventricular chamber (arrows, bottom row). In contrast to controls (A), embryos with CRISPR-Cas9-mediated loss of function of Capn2 (B) develop a hypoplastic ventricle and reduced ventricular chamber. Normal phenotype (C) is restored by co-injecting exogenous WT capn2 mRNA, confirming specificity of the phenotype. Co-injection of 707 mRNA can also restore normal ventricle phenotypes (D), although the frequency of rescue was not statistically significant (F), indicating that the CAPN2707C>T variant may be a mildly hypomorphic allele. Co-injection of 1112 mRNA is unable to rescue the HLHS-like phenotype at all (E and F), indicating the CAPN21112C>T variant may represent a null allele with respect to function necessary for normal ventricular development. (F) Results were quantified from three independent trials (n = 14–57 embryos per condition, per experiment); error bars indicate standard deviation. Significance of differences between the percentage of HLHS-like phenotypes in each condition is noted. Scale bars, 100 μm. |
References [+] :
Barnoy,
Calpain and calpastatin in myoblast differentiation and fusion: effects of inhibitors.
1997, Pubmed
Barnoy, Calpain and calpastatin in myoblast differentiation and fusion: effects of inhibitors. 1997, Pubmed
Becerra, Diabetes mellitus during pregnancy and the risks for specific birth defects: a population-based case-control study. 1990, Pubmed
Beckerle, Colocalization of calcium-dependent protease II and one of its substrates at sites of cell adhesion. 1987, Pubmed
Bialkowska, Evidence that beta3 integrin-induced Rac activation involves the calpain-dependent formation of integrin clusters that are distinct from the focal complexes and focal adhesions that form as Rac and RhoA become active. 2000, Pubmed
Botto, Seeking causes: Classifying and evaluating congenital heart defects in etiologic studies. 2007, Pubmed
Brenner, Cardiac malformations in relatives of infants with hypoplastic left-heart syndrome. 1989, Pubmed
Buffolo, A conserved role for calpains during myoblast fusion. 2015, Pubmed
Carniel, Alpha-myosin heavy chain: a sarcomeric gene associated with dilated and hypertrophic phenotypes of cardiomyopathy. 2005, Pubmed
Centers for Disease Control and Prevention (CDC), Update on overall prevalence of major birth defects--Atlanta, Georgia, 1978-2005. 2008, Pubmed
Chan, Regulation of adhesion dynamics by calpain-mediated proteolysis of focal adhesion kinase (FAK). 2010, Pubmed
Chang, Second-generation PLINK: rising to the challenge of larger and richer datasets. 2015, Pubmed
Ching, Mutation in myosin heavy chain 6 causes atrial septal defect. 2005, Pubmed
Chong, The Genetic Basis of Mendelian Phenotypes: Discoveries, Challenges, and Opportunities. 2015, Pubmed
Chong, De novo mutations in NALCN cause a syndrome characterized by congenital contractures of the limbs and face, hypotonia, and developmental delay. 2015, Pubmed
Conomos, Model-free Estimation of Recent Genetic Relatedness. 2016, Pubmed
Correa, Diabetes mellitus and birth defects. 2008, Pubmed
Crucean, Re-evaluation of hypoplastic left heart syndrome from a developmental and morphological perspective. 2017, Pubmed
Dasgupta, Identification of connexin43 (alpha1) gap junction gene mutations in patients with hypoplastic left heart syndrome by denaturing gradient gel electrophoresis (DGGE). 2001, Pubmed
Dedieu, Myoblast migration is prevented by a calpain-dependent accumulation of MARCKS. 2003, Pubmed
Dedieu, Myoblast migration is regulated by calpain through its involvement in cell attachment and cytoskeletal organization. 2004, Pubmed
Digilio, Congenital heart defects in Kabuki syndrome. 2001, Pubmed
Digilio, Cardiovascular malformations in Adams-Oliver syndrome. 2015, Pubmed
Ellesøe, Familial co-occurrence of congenital heart defects follows distinct patterns. 2018, Pubmed
Elliott, Cardiac homeobox gene NKX2-5 mutations and congenital heart disease: associations with atrial septal defect and hypoplastic left heart syndrome. 2003, Pubmed , Xenbase
Feldkamp, Etiology and clinical presentation of birth defects: population based study. 2017, Pubmed
Firulli, The HAND1 frameshift A126FS mutation does not cause hypoplastic left heart syndrome in mice. 2017, Pubmed
Flevaris, A molecular switch that controls cell spreading and retraction. 2007, Pubmed
Franco, Isoform specific function of calpain 2 in regulating membrane protrusion. 2004, Pubmed
Gessert, Comparative gene expression analysis and fate mapping studies suggest an early segregation of cardiogenic lineages in Xenopus laevis. 2009, Pubmed , Xenbase
Glessner, Increased frequency of de novo copy number variants in congenital heart disease by integrative analysis of single nucleotide polymorphism array and exome sequence data. 2014, Pubmed
Grossfeld, Hypoplastic Left Heart Syndrome: A New Paradigm for an Old Disease? 2019, Pubmed
Harwood, High glucose initiates calpain-induced necrosis before apoptosis in LLC-PK1 cells. 2007, Pubmed
Hempel, A Matter of the Heart: The African Clawed Frog Xenopus as a Model for Studying Vertebrate Cardiogenesis and Congenital Heart Defects. 2016, Pubmed , Xenbase
Hinton, Hypoplastic left heart syndrome is heritable. 2007, Pubmed
Homsy, De novo mutations in congenital heart disease with neurodevelopmental and other congenital anomalies. 2015, Pubmed
Hoyert, Annual summary of vital statistics: 2004. 2006, Pubmed
Ilian, Gene expression of calpains and their specific endogenous inhibitor, calpastatin, in skeletal muscle of fed and fasted rabbits. 1992, Pubmed
Imajoh, Molecular cloning of the cDNA for the large subunit of the high-Ca2+-requiring form of human Ca2+-activated neutral protease. 1988, Pubmed
Jenkins, Exome sequencing of family trios from the National Birth Defects Prevention Study: Tapping into a rich resource of genetic and environmental data. 2019, Pubmed
Jin, Contribution of rare inherited and de novo variants in 2,871 congenital heart disease probands. 2017, Pubmed
Krumm, Copy number variation detection and genotyping from exome sequence data. 2012, Pubmed
Kulkarni, Calpain cleaves RhoA generating a dominant-negative form that inhibits integrin-induced actin filament assembly and cell spreading. 2002, Pubmed
Kumar, High glucose-induced Ca2+ overload and oxidative stress contribute to apoptosis of cardiac cells through mitochondrial dependent and independent pathways. 2012, Pubmed
Lederer, Deletion of KDM6A, a histone demethylase interacting with MLL2, in three patients with Kabuki syndrome. 2012, Pubmed
Lee, Whole-mount fluorescence immunocytochemistry on Xenopus embryos. 2008, Pubmed , Xenbase
Lee, Optimal unified approach for rare-variant association testing with application to small-sample case-control whole-exome sequencing studies. 2012, Pubmed
Li, Fast and accurate short read alignment with Burrows-Wheeler transform. 2009, Pubmed
Li, Whole exome sequencing in 342 congenital cardiac left sided lesion cases reveals extensive genetic heterogeneity and complex inheritance patterns. 2017, Pubmed
Liu, The complex genetics of hypoplastic left heart syndrome. 2017, Pubmed
Madsen, A groupwise association test for rare mutations using a weighted sum statistic. 2009, Pubmed
McBride, Inheritance analysis of congenital left ventricular outflow tract obstruction malformations: Segregation, multiplex relative risk, and heritability. 2005, Pubmed
McKenna, The Genome Analysis Toolkit: a MapReduce framework for analyzing next-generation DNA sequencing data. 2010, Pubmed
McLaren, Deriving the consequences of genomic variants with the Ensembl API and SNP Effect Predictor. 2010, Pubmed
Moody, Fates of the blastomeres of the 32-cell-stage Xenopus embryo. 1987, Pubmed , Xenbase
Ng, Exome sequencing identifies MLL2 mutations as a cause of Kabuki syndrome. 2010, Pubmed
Paila, GEMINI: integrative exploration of genetic variation and genome annotations. 2013, Pubmed
Papaz, Factors influencing participation in a population-based biorepository for childhood heart disease. 2012, Pubmed
Parker, Updated National Birth Prevalence estimates for selected birth defects in the United States, 2004-2006. 2010, Pubmed
Patterson, Tear me down: role of calpain in the development of cardiac ventricular hypertrophy. 2011, Pubmed
Pedersen, Who's Who? Detecting and Resolving Sample Anomalies in Human DNA Sequencing Studies with Peddy. 2017, Pubmed
Pickett, Acetylcholinesterase plays a non-neuronal, non-esterase role in organogenesis. 2017, Pubmed , Xenbase
Pitcairn, Coordinating heart morphogenesis: A novel role for hyperpolarization-activated cyclic nucleotide-gated (HCN) channels during cardiogenesis in Xenopus laevis. 2017, Pubmed , Xenbase
Qi, De novo variants in congenital diaphragmatic hernia identify MYRF as a new syndrome and reveal genetic overlaps with other developmental disorders. 2018, Pubmed
Rasmussen, Guidelines for case classification for the National Birth Defects Prevention Study. 2003, Pubmed
Ray, Oxidative stress and Ca2+ influx upregulate calpain and induce apoptosis in PC12 cells. 2000, Pubmed
Raynaud, Calpain 2 expression pattern and sub-cellular localization during mouse embryogenesis. 2008, Pubmed
Reefhuis, The National Birth Defects Prevention Study: A review of the methods. 2015, Pubmed
Rentzsch, CADD-Splice-improving genome-wide variant effect prediction using deep learning-derived splice scores. 2021, Pubmed
Robinson, Variant Review with the Integrative Genomics Viewer. 2017, Pubmed
Rosano, Infant mortality and congenital anomalies from 1950 to 1994: an international perspective. 2000, Pubmed
Schulz, Prenatal diagnosis of hypoplastic left heart syndrome associated with Noonan Syndrome and de novo RAF1 mutation. 2012, Pubmed
Session, Genome evolution in the allotetraploid frog Xenopus laevis. 2016, Pubmed , Xenbase
Sifrim, Distinct genetic architectures for syndromic and nonsyndromic congenital heart defects identified by exome sequencing. 2016, Pubmed
Southgate, Haploinsufficiency of the NOTCH1 Receptor as a Cause of Adams-Oliver Syndrome With Variable Cardiac Anomalies. 2015, Pubmed
Suryakumar, Lack of beta3 integrin signaling contributes to calpain-mediated myocardial cell loss in pressure-overloaded myocardium. 2010, Pubmed
Takano, Vital role of the calpain-calpastatin system for placental-integrity-dependent embryonic survival. 2011, Pubmed
Tan, Unified representation of genetic variants. 2015, Pubmed
Theis, Recessive MYH6 Mutations in Hypoplastic Left Heart With Reduced Ejection Fraction. 2015, Pubmed
Theis, Compound heterozygous NOTCH1 mutations underlie impaired cardiogenesis in a patient with hypoplastic left heart syndrome. 2015, Pubmed
Tomita-Mitchell, Impact of MYH6 variants in hypoplastic left heart syndrome. 2016, Pubmed
Yagi, The Genetic Landscape of Hypoplastic Left Heart Syndrome. 2018, Pubmed
Yoon, Contribution of birth defects and genetic diseases to pediatric hospitalizations. A population-based study. 1997, Pubmed
Zanardelli, Calpain2 protease: A new member of the Wnt/Ca(2+) pathway modulating convergent extension movements in Xenopus. 2013, Pubmed , Xenbase
