XB-ART-59972
Biochimie
2023 Jul 01;210:14-21. doi: 10.1016/j.biochi.2023.03.008.
Show Gene links
Show Anatomy links
Role of NADP+-dependent isocitrate dehydrogenase from muscle tissue of Rana sylvatica in ROS defense during freeze-tolerance.
???displayArticle.abstract???
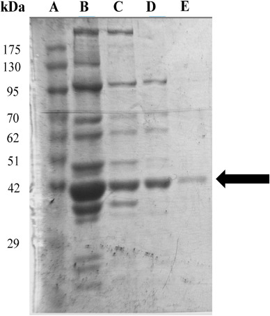
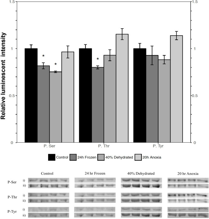
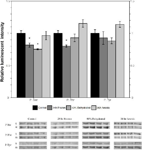
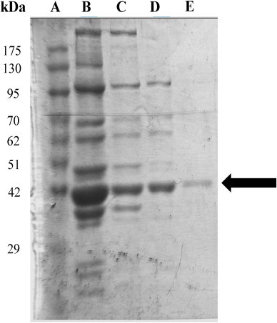
The wood frog, Rana sylvatica, employs freeze tolerance as a winter survival strategy in seasonally cold environments. At subzero temperatures, up to 65-70% of total body water can freeze in extracellular spaces, halting vital functions (breathing, heartbeat) and causing ischemia that, in turn, can have numerous consequences including the generation of damaging reactive oxygen species (ROS). NADPH serves as a key donor of reductive power for most ROS detoxifying enzymes and can be generated by several metabolic pathways. One source of NADPH reducing power is the NADP-dependent isocitrate dehydrogenase (IDH) reaction. The present study evaluated the properties and regulation of IDH from skeletal muscle of R. sylvatica when frogs were exposed to stress conditions: freezing, dehydration or anoxia. Purified IDH exhibited higher affinity for isocitrate under all stress conditions as compared to controls, suggesting that the enzyme is primed to synthesize NADPH relative to the control state. Immunoblotting showed reduced serine and threonine phosphorylation of muscle IDH from frozen frogs and decreased serine phosphorylation on IDH from dehydrated frogs relative to control and anoxic states, demonstrating a reversible phosphorylation regulatory mechanism for IDH activity during freezing stress. Taken together, these results suggest activation and maintenance of IDH activity despite hypometabolic conditions. This initiation in activity of IDH during freezing may play a role in antioxidant defense by contributing to maintenance of the NADPH pool under stress conditions.
???displayArticle.pubmedLink??? 36958591
???displayArticle.link??? Biochimie
GO keywords: response to reactive oxygen species
???attribute.lit??? ???displayArticles.show???
