Click here to close
Hello! We notice that you are using Internet Explorer, which is not supported by Xenbase and may cause the site to display incorrectly.
We suggest using a current version of Chrome,
FireFox, or Safari.
Development
2023 Feb 15;1503:. doi: 10.1242/dev.200851.
Show Gene links
Show Anatomy links
Exploring generic principles of compartmentalization in a developmental in vitro model.
Gires PY, Thampi M, Krauss SW, Weiss M.
???displayArticle.abstract???
Self-organization of cells into higher-order structures is key for multicellular organisms, for example via repetitive replication of template-like founder cells or syncytial energids. Yet, very similar spatial arrangements of cell-like compartments ('protocells') are also seen in a minimal model system of Xenopus egg extracts in the absence of template structures and chromatin, with dynamic microtubule assemblies driving the self-organization process. Quantifying geometrical features over time, we show here that protocell patterns are highly organized with a spatial arrangement and coarsening dynamics similar to that of two-dimensional foams but without the long-range ordering expected for hexagonal patterns. These features remain invariant when enforcing smaller protocells by adding taxol, i.e. patterns are dominated by a single, microtubule-derived length scale. Comparing our data to generic models, we conclude that protocell patterns emerge by simultaneous formation of randomly assembling protocells that grow at a uniform rate towards a frustrated arrangement before fusion of adjacent protocells eventually drives coarsening. The similarity of protocell patterns to arrays of energids and cells in developing organisms, but also to epithelial monolayers, suggests generic mechanical cues to drive self-organized space compartmentalization.
Figure 1. Representative images of protocell pattern formation in an extract droplet. (A,B) Representative brightfield images of an extract droplet before (A) and after (B) protocell formation. (C) Fluorescence imaging reveals that inert dextran molecules accumulate in boundary zones between protocells. (D) A Voronoi tessellation captures the essential geometry of the protocell pattern. Images were taken at 7 min (A) and 175 min (B-D) after chamber loading. See Movie 1 for the droplet's temporal evolution.
Figure 2. Analysis of geometrical features of protocells. (A) The PDF of the vertex number, p(nv), of protocells right after the first emergence of the pattern (blue histogram) and 1-2 h later (blue circles) is highly similar. Hexagonal cells are the most frequent phenotype, followed by appreciable amounts of pentagons and heptagons. The experimental data are well captured by model 1 (α1=0.55, black line) and model 2 (α2=0.45, red line), whereas a PRP pattern (gray dashed line) features marked deviations. All models are sketched in Fig. 6 and are defined in the main text. (B,C) The PDFs of normalized cell areas, p(An), and cell perimeters, p(Ln), feature narrow shapes and show similar characteristics (color-coded as in A). Both models match the experimental data for early and late stages of the pattern, and the result for PRP patterns is markedly different. (D) The PDF of protocell compactness, p(C), with features a mean 〈C〉≈1.24 that is larger than the value for circles (C=1) and hexagons () but lower than that for squares (C=4/π); color-coded as in A. The experimental data are well captured by model 1 (α1=0.55, black line) and slightly less well by model 2 (α2=0.45, red line). Please note the semilogarithmic plot style.
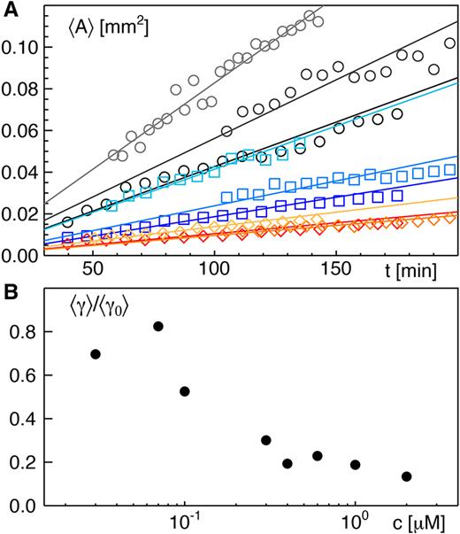
Figure 3. Taxol addition leads to smaller protocells but does not alter the pattern geometry. (A) Representative images of protocell patterns obtained from extracts that have been supplemented with the indicated concentration of taxol. Scale bars: 100 μm. A marked reduction of protocell sizes for increasing taxol concentrations is visible. For better visibility, the image contrast has been adjusted here; all evaluations were performed on unaltered images. (B) The average protocell area 〈A80〉, found 70-90 min after starting the experiment, decreases for increasing taxol concentrations, c. (C) The average fraction 〈φ〉 of pentagonal, hexagonal and heptagonal protocells (blue circles, black squares and red diamonds, respectively) is almost constant for all taxol concentrations, c, irrespective of the time after the pattern emerged (unfilled and filled symbols represent immediately after pattern emergence and 1-2 h later, respectively). In addition, geometric measures such as those shown in Fig. 2 remained unaltered (compare with Fig. S5A,B).
Figure 4. Dynamic evolution of protocell patterns. (A) Representative time courses of the average protocell area, 〈A〉, for different taxol concentrations (circles, squares, diamonds for , respectively; different colors indicate different repeats of the assay). All are well captured by a linear growth, 〈A〉=γt, with varying growth rates γ (solid lines). (B) The mean area growth rate 〈γ〉 decreases with increasing taxol concentrations, c, dropping down to about 15-20% of the rate observed for untreated extracts, 〈γ0〉, at .
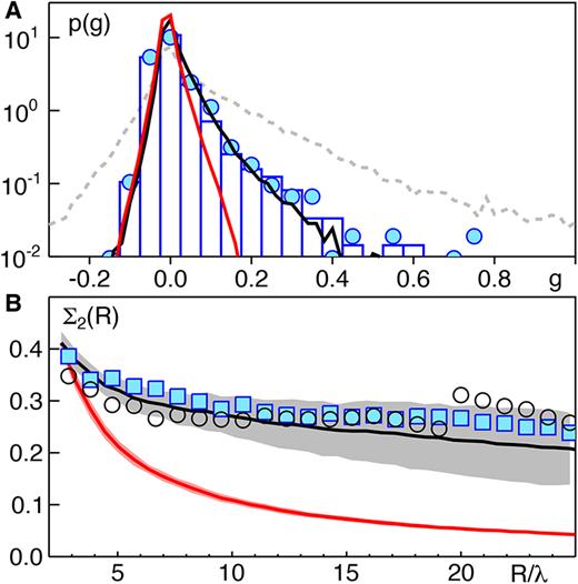
Figure 5. Long-range organization of protocell patterns. (A) The PDF of NN area correlation values (Eqn 1), peaks sharply around zero for the experimental data immediately after the emergence of the protocell pattern (blue histogram) and after 1-2 h of coarse graining (blue circles). Whereas model 1 captures the experimental PDF almost perfectly (black line), model 2 decays too steeply for g>0 (red line); the PDF for PRP patterns (gray dashed line) is far too broad. (B) The normalized number variance, Σ2, as a function of the rescaled test radius, R/λ, converges to a small but non-zero constant for the array of protocells (blue squares and black circles represent time points immediately after pattern emergence and 1-2 h later, respectively). This indicates that the pattern displays no disordered hyperuniformity. Whereas model 1 matches the experimental data well (black line) the hyperuniform characteristics of model 2 (red line) is clearly inconsistent with the experiment. Gray and red shaded areas indicate the standard deviation for different realizations of the point patterns in the respective model.
Figure 6. Generic models used for comparison with experimental data. (A-C) Voronoi tessellation for a PRP pattern (A), model 1 with α=0.55 (B) and model 2 with α=0.45 (C). Insets visualize the rules for creating the pattern of center points (see main text for details). Black dots indicate cell centers, red outlines represent perturbed hexagonal cell shapes. (D) The corresponding normalized number variances, Σ2, (shown in a semilogarithmic style) reveal that model 1 approaches a small but non-zero constant, whereas model 2 shows the typical feature of a disordered hyperuniform pattern, i.e. a decrease of Σ2 towards zero; the PRP pattern shows the anticipated behavior, Σ2≈1. Shaded areas indicate the standard deviation for different realizations of the point patterns.