Click here to close Hello! We notice that you are using Internet Explorer, which is not supported by Xenbase and may cause the site to display incorrectly. We suggest using a current version of Chrome, FireFox, or Safari.
XB-ART-59609
Front Endocrinol (Lausanne) 2023 Jan 01;14:1121002. doi: 10.3389/fendo.2023.1121002.
Show Gene links Show Anatomy links

Characterization of a novel corticosterone response gene in Xenopus tropicalis tadpole tails.

Paul B, Dockery R, Valverde VM, Buchholz DR.


???displayArticle.abstract???
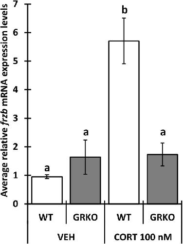
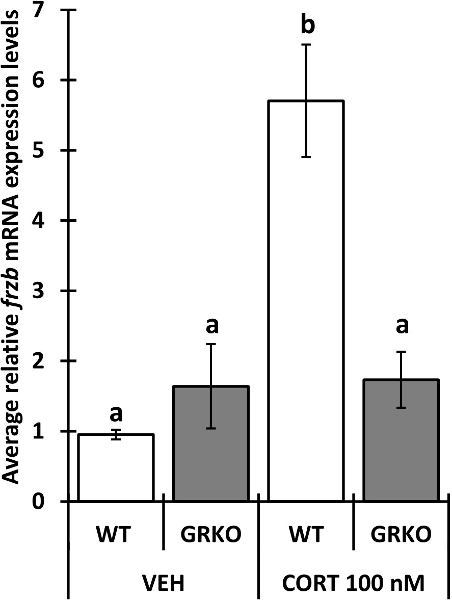
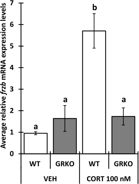
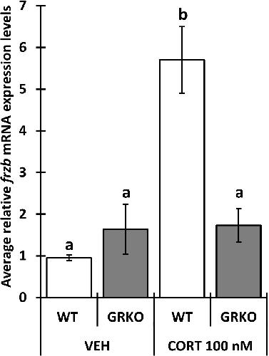
Corticosteroids are critical for development and for mediating stress responses across diverse vertebrate taxa. Study of frog metamorphosis has made significant breakthroughs in our understanding of corticosteroid signaling during development in non-mammalian vertebrate species. However, lack of adequate corticosterone (CORT) response genes in tadpoles make identification and quantification of CORT responses challenging. Here, we characterized a CORT-response gene frzb (frizzled related protein) previously identified in Xenopus tropicalis tadpole tail skin by an RNA-seq study. We validated the RNA-seq results that CORT and not thyroid hormone induces frzb in the tails using quantitative PCR. Further, maximum frzb expression was achieved by 100-250 nM CORT within 12-24 hours. frzb is not significantly induced in the liver and brain in response to 100 nM CORT. We also found no change in frzb expression across natural metamorphosis when endogenous CORT levels peak. Surprisingly, frzb is only induced by CORT in X. tropicalis tails and not in Xenopus laevis tails. The exact downstream function of increased frzb expression in tails in response to CORT is not known, but the specificity of hormone response and its high mRNA expression levels in the tail render frzb a useful marker of exogenous CORT-response independent of thyroid hormone for exogenous hormone treatments and in-vivo endocrine disruption studies.

???displayArticle.pubmedLink??? 36777337
???displayArticle.pmcLink??? PMC9910334
???displayArticle.link??? Front Endocrinol (Lausanne)


Species referenced: Xenopus tropicalis
Genes referenced: camta1 frzb grpel1 klf9 musk rpl8 sds sult6b1 ush1g usp2
GO keywords: cellular response to stress [+]


???attribute.lit??? ???displayArticles.show???
References [+] :
Bonett, Molecular mechanisms of corticosteroid synergy with thyroid hormone during tadpole metamorphosis. 2010, Pubmed, Xenbase