|
FIGURE 1
KCNA6 intragenic de novo variants identified in this study. (A) Family trees on individuals carrying de novo KCNA6 variants. (B) Multiple alignment showing complete conservation across species and KV1 homologues of the residues affected by the variants identified in this study (highlighted). (C) Cartoon topology of the human KV1.6 channel indicating the positions of the variants identified in this study. (+) signs indicate positively charged arginine residues in the S4 transmembrane helix. (D) Homology modeling of KV1.6 channel showing the full-length channel in membrane plane (left panel), only the transmembrane domain in membrane plane (middle panel), and from above the membrane plane (right panel). The affected residues are shown in spheres and colored as indicated in C. |
|
FIGURE 2
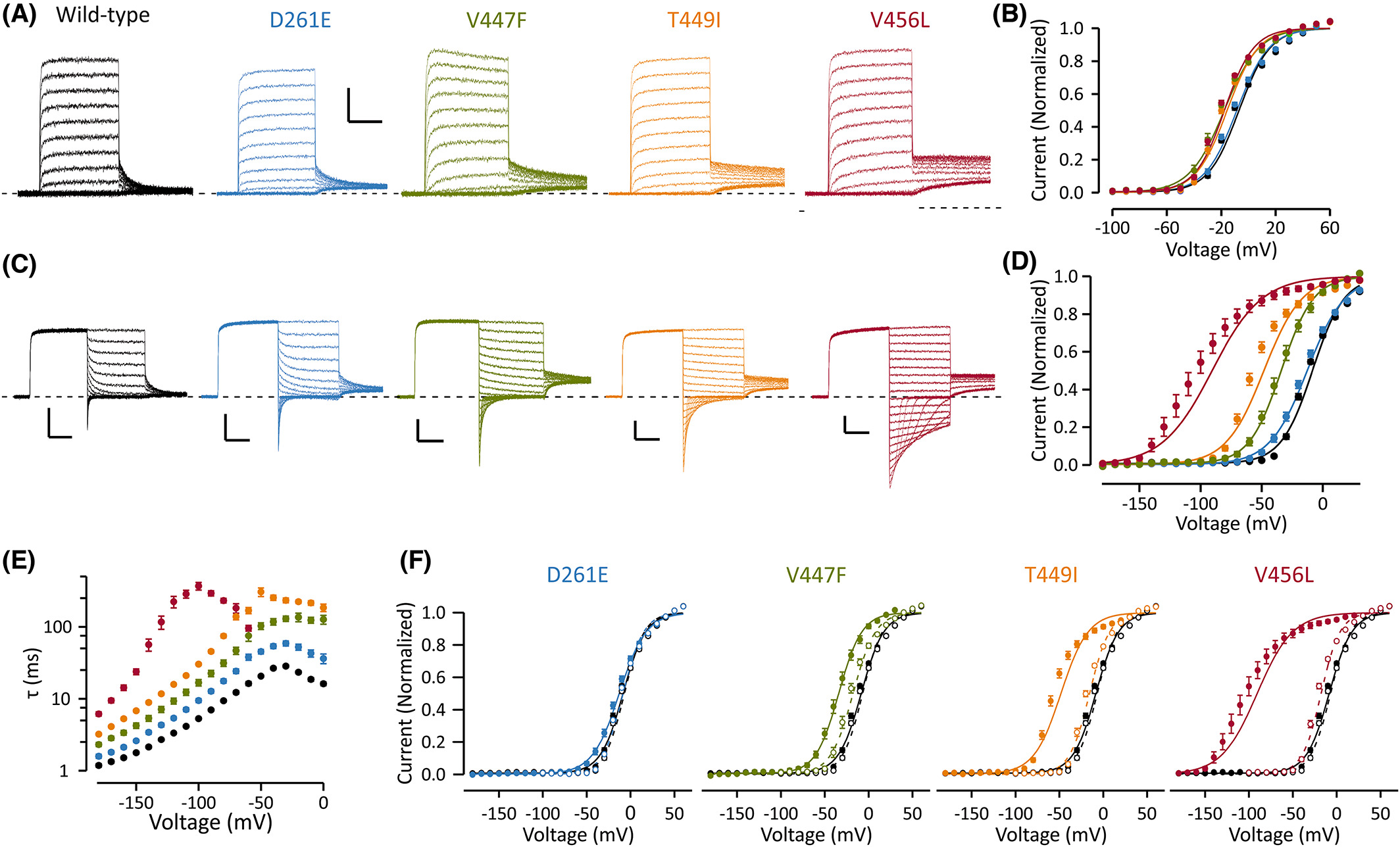
Activation and deactivation properties of wild-type and mutant KV1.6 channels. Data for wild-type channels are shown in black, for D261E channels in blue, V447F channels in green, T449I in orange, and V456L in red. Data are shown as mean ± SEM. Number of cells is shown in Table 2. (A) Representative traces depicting activation of wild-type and mutant channels. Voltage protocol consists of 250 ms test voltage steps in 10 mV increments from holding voltage of −80 mV and a tail voltage step to −30 mV. The scale bars are 100 ms (X) and 2 μA (Y). (B) Voltage dependence of activation was assessed using data from recordings by plotting the current at the beginning of the tail voltage step against the test voltage. (C) Representative traces depicting deactivation of wild-type and mutant channels. Voltage protocol consists of 250 ms depolarizing pre-pulse to +30 mV from holding voltage of −80 mV, 250 ms test voltage steps in 10 mV decrements, and a tail voltage step to −30 mV. Scale bars are as in a. (D) Voltage dependence of deactivation was assessed using data from recordings by plotting the current at the beginning of the tail voltage step against the test voltage. (E) Time constant of deactivation is plotted against the test voltage. (F) Voltage dependence of activation (open symbols, data from B) and deactivation (closed symbols, data from D) are plotted for each mutant channel. Note that although for wild-type and D261E the curves overlap, for other mutant channels the voltage dependence of activation and deactivation is clearly distinct. Solid and dashed lines in B, D, and F show fit of Boltzmann equation to mean data; the dashed lines in F show the fit for activation data and solid lines for deactivation data. Data from individual cells were normalized to the peak amplitude derived from fitting Boltzmann equation to data. |
|
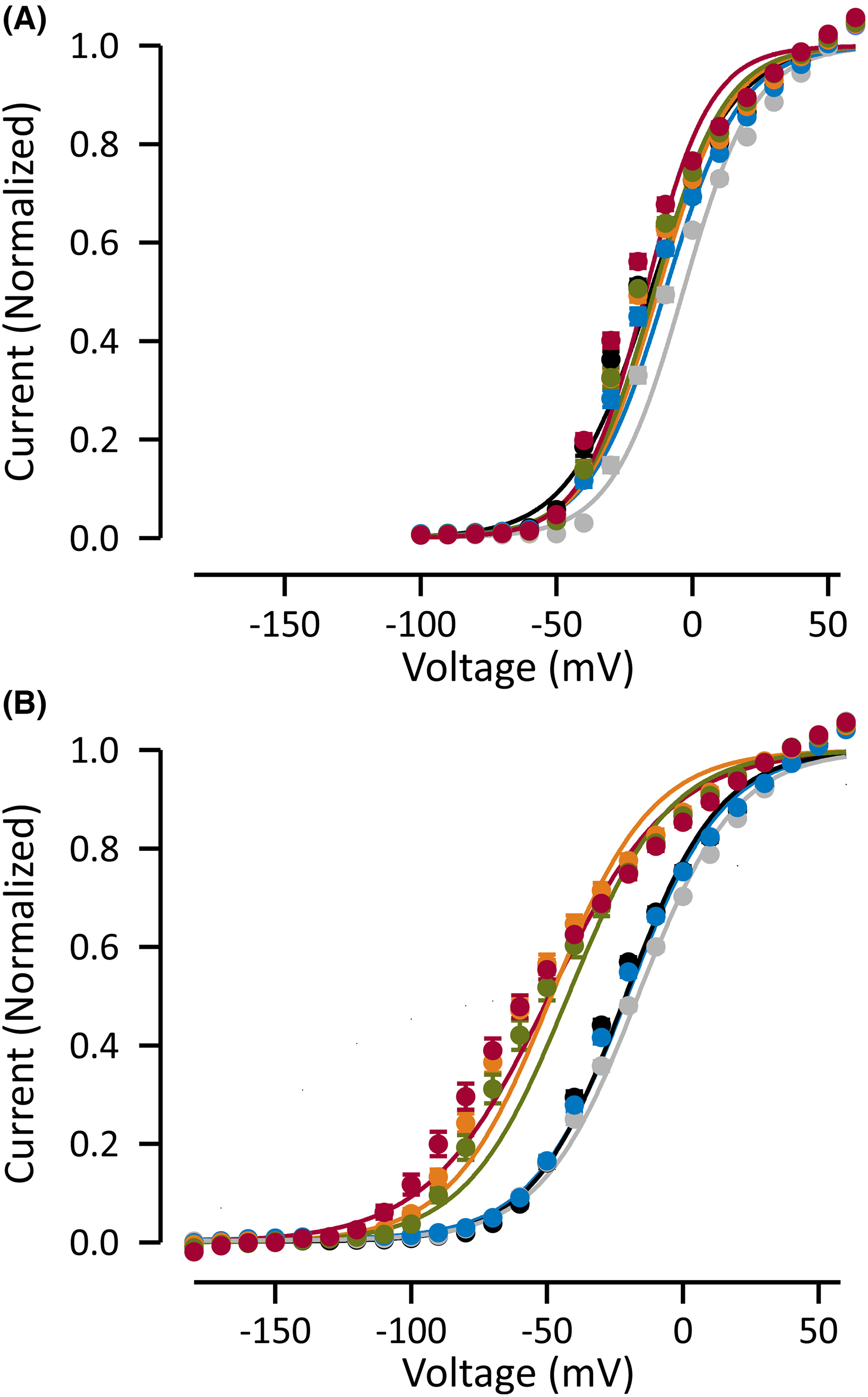
FIGURE 3
Voltage dependence of activation and deactivation of simulated heterozygous mutant KV1.6 channels. Data for wild-type channels are shown in black, for D261E channels in blue, V447F channels in green, for T449I in orange, and for V456L in red. Data are shown as mean ± SEM. Number of cells is shown in Table 2. Voltage protocols are as in Figure 2A,C, except the duration test pulse and pre-pulse is 20 ms and the pre-pulse voltage is +60 mV. (A) Representative traces of oocytes injected with wild-type (top, black), V456L (middle, red), mRNA alone or both mRNAs together (pink, bottom). Left panel shows current activation in response to test pulses ranging from −40 to 0 mV from holding voltage of −80 mV. Right panel shows current deactivation in response to test pulses ranging from −20 to −110 mV from pre-pulse voltage of +60 mV. (B) Voltage dependence of activation assessed as in Figure 2A, but the test pulses were only 20 ms in duration. Data are shown for each variant in homomeric (solid symbols and lines) and simulated heterozygous (open symbols, dashed lines) condition. Data for wild-type channels are shown in black in each graph. (C) Voltage dependence of deactivation assessed as in Figure 2C, but the pre- and test pulses were only 20 ms in duration. Symbols and lines are as in B. |
|
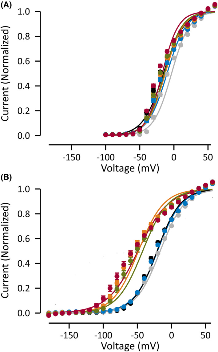
FIGURE 4
Voltage dependence of activation and deactivation of KV1.6 variants co-expressed with KV1.1 subunits. Data for wild-type KV1.1 channels are shown in black, for KV1.1 co-expressed with wild-type KV1.6 in gray, with KV1.6-D261E in blue, with KV1.6-V447F channels in green, with KV1.6-T449I in orange, and with KV1.6-V456L in red. Data are shown as mean ± SEM. Number of cells is shown in Table 2. (A) Shows voltage dependence of activation (voltage protocols are as in Figure 3B) and (B) shows voltage dependence of deactivation (voltage protocols are as in Figure 3C). Solid lines show fit of Boltzmann equation to mean data.
|
|
Supplementary Figure 1. Brain expression values of KCNA6 compared to KCNA1 and KCNA2.
To examine KCNA6 expression across central nervous system (CNS) regions, we used microarray
data (Affymetrix Exon 1.0 ST) from human post-mortem brain tissues as previously described1
and
compared to brain expression data of KCNA1 and KCNA2. This analysis showed the highest KCNA6
expression in the frontal and occipital lobes and lowest expression in putamen and cerebellum.
FCTX=frontal cortex, OCTX=occipital cortex, TCTX=temporal cortex, MEDU=medulla,
HIPP=hippocampus, SNIG=substantia nigra, WHMT=intralobular white matter, THAL=thalamus,
PUTM=putamen, CRBL=cerebellum. |
|
Supplementary Figure 2. Ictal EEG of Individual 4. Ictal EEG record of a focal seizure of individual
4 at the age of 5 months, starting from the temporal anterior areas (A) and rapidly involving the motor
cortex (B); 20 seconds later the seizure involves both hemispheres (C) and ends with a diffuse
slowing of cortical activity (D). |
|
Supplementary Figure 3. Currents responses to repetitive 5 ms pulses (A) Simulated heterozygous
channels composed of wild-type KV1.1 and either wild-type (left) or T449I (right) KV1.6 channels.
Protocol consists of 30 5 ms pulses to +40 mV from holding voltage of -80 mV applied every 15 ms.
Capacitive currents at the beginning of the test pulse can be seen as –P/4 subtraction protocol was not
applied. Note that while the current responses of all the pulses are overlapping for channels containing
wild-type KV1.6 channel, there is a clear increase in current amplitude for KV1.1+T449I channel
following the first pulse. Scale bars: x: 1 ms, y: 5 µA. B) Data from (A) but the current of the first
trace is subtracted from the following pulses. Note large increase in KV1.1+T449I currents before and
during the test pulses. Scale bars: x: 1 ms, y: 2 µA. C) Current increase following the first pulse for
each KV1.6 variant co-expressed with KV1.1 wild-type channel (WT KV1.6 (grey), D261E (blue),
V447F (green), T449I (orange), V456L (red)). KV1.1 WT is shown in black) at indicated frequencies.
For each cell the mean current increase of pulses 2-30 compared to the first pulse is measured and
normalised to the peak current amplitude at the end of the voltage pulse to +40 mV. Data is mean ±
SEM of 4-9 cells for each KV1.6 variant and homomeric KV1.1 channel. |
|
FIGURE 1.
KCNA6 intragenic de novo variants identified in this study. (A) Family trees on individuals carrying de novo KCNA6 variants. (B) Multiple alignment showing complete conservation across species and KV1 homologues of the residues affected by the variants identified in this study (highlighted). (C) Cartoon topology of the human KV1.6 channel indicating the positions of the variants identified in this study. (+) signs indicate positively charged arginine residues in the S4 transmembrane helix. (D) Homology modeling of KV1.6 channel showing the full‐length channel in membrane plane (left panel), only the transmembrane domain in membrane plane (middle panel), and from above the membrane plane (right panel). The affected residues are shown in spheres and colored as indicated in C. |
|
FIGURE 2. Activation and deactivation properties of wild‐type and mutant KV1.6 channels. Data for wild‐type channels are shown in black, for D261E channels in blue, V447F channels in green, T449I in orange, and V456L in red. Data are shown as mean ± SEM. Number of cells is shown in Table 2. (A) Representative traces depicting activation of wild‐type and mutant channels. Voltage protocol consists of 250 ms test voltage steps in 10 mV increments from holding voltage of −80 mV and a tail voltage step to −30 mV. The scale bars are 100 ms (X) and 2 μA (Y). (B) Voltage dependence of activation was assessed using data from recordings by plotting the current at the beginning of the tail voltage step against the test voltage. (C) Representative traces depicting deactivation of wild‐type and mutant channels. Voltage protocol consists of 250 ms depolarizing pre‐pulse to +30 mV from holding voltage of −80 mV, 250 ms test voltage steps in 10 mV decrements, and a tail voltage step to −30 mV. Scale bars are as in a. (D) Voltage dependence of deactivation was assessed using data from recordings by plotting the current at the beginning of the tail voltage step against the test voltage. (E) Time constant of deactivation is plotted against the test voltage. (F) Voltage dependence of activation (open symbols, data from B) and deactivation (closed symbols, data from D) are plotted for each mutant channel. Note that although for wild‐type and D261E the curves overlap, for other mutant channels the voltage dependence of activation and deactivation is clearly distinct. Solid and dashed lines in B, D, and F show fit of Boltzmann equation to mean data; the dashed lines in F show the fit for activation data and solid lines for deactivation data. Data from individual cells were normalized to the peak amplitude derived from fitting Boltzmann equation to data. |
|
FIGURE 3. Voltage dependence of activation and deactivation of simulated heterozygous mutant KV1.6 channels. Data for wild‐type channels are shown in black, for D261E channels in blue, V447F channels in green, for T449I in orange, and for V456L in red. Data are shown as mean ± SEM. Number of cells is shown in Table 2. Voltage protocols are as in Figure 2A,C, except the duration test pulse and pre‐pulse is 20 ms and the pre‐pulse voltage is +60 mV. (A) Representative traces of oocytes injected with wild‐type (top, black), V456L (middle, red), mRNA alone or both mRNAs together (pink, bottom). Left panel shows current activation in response to test pulses ranging from −40 to 0 mV from holding voltage of −80 mV. Right panel shows current deactivation in response to test pulses ranging from −20 to −110 mV from pre‐pulse voltage of +60 mV. (B) Voltage dependence of activation assessed as in Figure 2A, but the test pulses were only 20 ms in duration. Data are shown for each variant in homomeric (solid symbols and lines) and simulated heterozygous (open symbols, dashed lines) condition. Data for wild‐type channels are shown in black in each graph. (C) Voltage dependence of deactivation assessed as in Figure 2C, but the pre‐ and test pulses were only 20 ms in duration. Symbols and lines are as in B. |
|
FIGURE 4. Voltage dependence of activation and deactivation of KV1.6 variants co‐expressed with KV1.1 subunits. Data for wild‐type KV1.1 channels are shown in black, for KV1.1 co‐expressed with wild‐type KV1.6 in gray, with KV1.6‐D261E in blue, with KV1.6‐V447F channels in green, with KV1.6‐T449I in orange, and with KV1.6‐V456L in red. Data are shown as mean ± SEM. Number of cells is shown in Table 2. (A) Shows voltage dependence of activation (voltage protocols are as in Figure 3B) and (B) shows voltage dependence of deactivation (voltage protocols are as in Figure 3C). Solid lines show fit of Boltzmann equation to mean data. |