XB-ART-59393
Am J Hum Genet
2022 Oct 03;10911:2029-2048. doi: 10.1016/j.ajhg.2022.09.013.
Show Gene links
Show Anatomy links
Multi-omics approach dissects cis-regulatory mechanisms underlying North Carolina macular dystrophy, a retinal enhanceropathy.
Van de Sompele S, Small KW, Cicekdal MB, Soriano VL, D'haene E, Shaya FS, Agemy S, Van der Snickt T, Rey AD, Rosseel T, Van Heetvelde M, Vergult S, Balikova I, Bergen AA, Boon CJF, De Zaeytijd J, Inglehearn CF, Kousal B, Leroy BP, Rivolta C, Vaclavik V, van den Ende J, van Schooneveld MJ, Gómez-Skarmeta JL, Tena JJ, Martinez-Morales JR, Liskova P, Vleminckx K, De Baere E.
???displayArticle.abstract???
North Carolina macular dystrophy (NCMD) is a rare autosomal-dominant disease affecting macular development. The disease is caused by non-coding single-nucleotide variants (SNVs) in two hotspot regions near PRDM13 and by duplications in two distinct chromosomal loci, overlapping DNase I hypersensitive sites near either PRDM13 or IRX1. To unravel the mechanisms by which these variants cause disease, we first established a genome-wide multi-omics retinal database, RegRet. Integration of UMI-4C profiles we generated on adult human retina then allowed fine-mapping of the interactions of the PRDM13 and IRX1 promoters and the identification of eighteen candidate cis-regulatory elements (cCREs), the activity of which was investigated by luciferase and Xenopus enhancer assays. Next, luciferase assays showed that the non-coding SNVs located in the two hotspot regions of PRDM13 affect cCRE activity, including two NCMD-associated non-coding SNVs that we identified herein. Interestingly, the cCRE containing one of these SNVs was shown to interact with the PRDM13 promoter, demonstrated in vivo activity in Xenopus, and is active at the developmental stage when progenitor cells of the central retina exit mitosis, suggesting that this region is a PRDM13 enhancer. Finally, mining of single-cell transcriptional data of embryonic and adult retina revealed the highest expression of PRDM13 and IRX1 when amacrine cells start to synapse with retinal ganglion cells, supporting the hypothesis that altered PRDM13 or IRX1 expression impairs interactions between these cells during retinogenesis. Overall, this study provides insight into the cis-regulatory mechanisms of NCMD and supports that this condition is a retinal enhanceropathy.
???displayArticle.pubmedLink??? 36243009
???displayArticle.pmcLink??? PMC9674966
???displayArticle.link??? Am J Hum Genet
Species referenced: Xenopus tropicalis Xenopus laevis
Genes referenced: crx gata2 irx1 jak3 nrl prdm13 psmd6 rho rpe65
GO keywords: neural retina development [+]
???displayArticle.omims??? MACULAR DYSTROPHY, RETINAL, 1, NORTH CAROLINA TYPE; MCDR1
???attribute.lit??? ???displayArticles.show???
|
|
Graphical abstract |
|
|
Figure 1. Integration of the generated UMI-4C data with publicly available Hi-C data The UMI-4C interaction frequency profiles and domainograms (bottom) for the PRDM13 promoter (left) and IRX1 promoter (right) viewpoints were integrated with Hi-C data from control human retinal organoids (top), demonstrating promoter interactions within the respective TADs.47 Topologically associated domains (TADs) are indicated by blue triangles. Chromosome coordinates are in hg38 annotation. |
|
|
Figure 2. Output from the UMI-4C experiment in the PRDM13 locus The UMI-4C data (green) from the PRDM13 promoter viewpoint (right gray bar) illustrate an interaction with PRDM13_cCRE1 (left gray bar), a non-coding region upstream of the promoter (left arrow). Since underlying epigenomic tracks show an overlap of this region with DNase-seq (turquoise) and ATAC-seq (green) peaks, as well as with ChIP-seq profiles of specific histone marks indicative of enhancer activity (H3K4me2, H3K27ac) (yellow) and ChIP-seq profiles of retinal transcription factors (CRX, NRL, OTX2) (orange), this region is a strong cCRE. The reverse UMI-4C experiment using this cCRE as a viewpoint results in a peak around the PRDM13 promoter region (right arrow), confirming this interaction. cCRE, candidate CRE. |
|
|
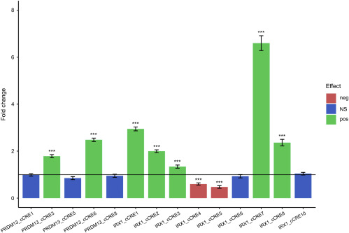
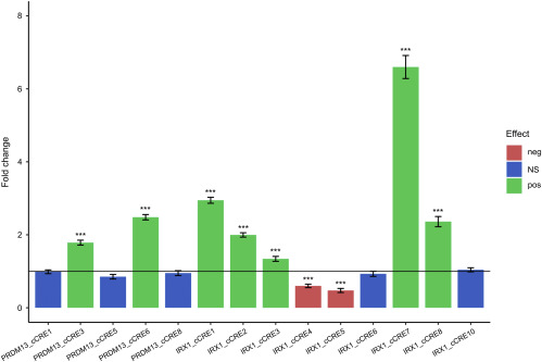
Figure 3. Results from the luciferase assays for the set of fourteen cCREs The bar plot shows, for each cCRE, the fold change of the luciferase reporter level relative to the level of the negative control luciferase vector (fold change = 1). neg, negative; NS, not significant; pos, positive; ∗∗∗p < 0.001. |
|
|
Figure 4. Overview of the results from the in vivo transgenic enhancer assays in Xenopus Representative images of EGFP reporter expression in living, transgenic Xenopus tadpoles, driven by SED vector reporter constructs containing non-coding regions of interest. The respective Xenopus species injected and the Nieuwkoop and Faber (NF) stage shown in the pictures are indicated on top of the images, while the injected construct and the stage of injection are indicated left of the images. For each stage, the number of tadpoles displaying the depicted EGFP reporter expression pattern over the total number of analyzed transgenic tadpoles is given. (A and B) Dorsal view of transgenic Xenopus tropicalis embryos upon unilateral injection of the reporter construct containing IRX1_cCRE7. EGFP reporter expression was visible at the neural plate and tube (NP) on the injected side, indicated by the arrow, while no expression was observed on the non-injected side. (C and D) Ventral view of transgenic tadpoles, displaying EGFP reporter expression in the craniofacial cartilage, a derivative of the neural crest (NC), and the eye (E) on the injected side. (E and F) At the same stages, DsRed (positive control) expression was apparent in the myotomes (M) of the tadpoles. (G and H) Detailed view of the eye at NF stage 55 indicates that EGFP reporter expression was maintained on the injected (left) side, while no expression was observed in the non-injected (right) side. (I and J) Lateral and dorsal view of transgenic albino Xenopus laevis tadpoles upon unilateral injection of the reporter construct containing IRX1_cCRE7 in the two-cell stage demonstrated EGFP reporter expression in the eye and brain (B). (K and L) Lateral and dorsal view of transgenic tadpoles injected with the same construct, but in two of the dorsal blastomeres at the four-cell stage, also displayed EGFP reporter expression in the eye and brain. (M and N) Lateral and dorsal view of transgenic tadpoles introduced with the IRX1_cCRE10 reporter construct demonstrated low EGFP reporter expression in the eye and brain. (O–Q) DsRed (positive control) was expressed in the myotomes of the corresponding tadpoles. (R and S) Lateral and dorsal view of transgenic albino Xenopus laevis tadpoles upon injection of the reporter construct containing the PRDM13_cCRE1 region demonstrated EGFP reporter expression in the eye and brain. (T) Lateral view of transgenic tadpoles injected with mutational hotspot-1 (PRDM13_cCRE3) showed no EGFP reporter expression in the eye or brain. (U and V) Lateral and dorsal view of transgenic tadpoles injected with mutational hotspot-2 (PRDM13_cCRE5) demonstrated EGFP reporter expression in the eye and brain. (W) For the five cCREs analyzed using in vivo enhancer detection assays, DNase-seq profiles generated in human embryonic retinal tissue at five different developmental stages are given. In case of IRX1_cCRE7, IRX1_cCRE10, PRDM13_cCRE1, and PRDM13_cCRE7, open chromatin is observed at/until day 103 of development, while PRDM13_cCRE1 is closed exclusively at this period. |
|
|
Figure 5. Overview of (likely) pathogenic variants in the PRDM13 locus and IRX1 locus Known and novel SNVs are indicated by red and green bars, respectively. The pathogenic tandem duplications are shown as blue bars, while benign duplications spanning the IRX1 coding region, derived from DGV, are shown as pink bars. The five cCREs analyzed via in vivo enhancer assays in Xenopus are highlighted by grey vertical bars. The DNase-seq track was generated in human embryonic retinal tissue at day 103 of development. Chromosome coordinates are in hg38 annotation. PRDM13 locus, left; IRX1 locus, right; V, variant; DGV, Database of Genomic Variants. |
|
|
Figure 6. Overview of the in vitro mutant versus wild-type luciferase assays in ARPE-19 cells (A) In mutational hotspot-1 (PRDM13_cCRE3) upstream of PRDM13, the four known (V1–V3, V12) variants and the V16 variant demonstrate a significant increase of luciferase reporter activity (p < 0.001), relative to the wild-type vector. (B) In contrast, the two known (V10, V11) variants and the V15 variant located in mutational hotspot-2 (PRDM13_cCRE5) upstream of PRDM13 cause a significant decrease of luciferase reporter activity (p < 0.001), relative to the wild-type vector. (C) For three non-coding regions of interest, located in the shared duplicated region of either the PRDM13 or IRX1 locus, the level of luciferase reporter was reduced by half (p < 0.001) when the region was present as tandem duplication, relative to their respective wild-type counterpart, containing the same region of interest as a single insert. neg, negative; pos, positive; ∗∗∗p < 0.001. |
|
|
Figure 7. Single-cell transcriptomic analysis of developing human neural retina In particular, data from six embryonic (e) (53, 59, 74, 78, 113, and 132 days) and three adult (25, 50, and 54 years old) human retinal samples are included. (A) UMAP plot of 60,014 human neural retinal cells from all samples, colored based on the ten transcriptionally distinct clusters represented in the key. (B and C) The different retinal samples were grouped into four time points: e50 = d53 and d59, e70 = d74 and d78, e100 = d113 and d132, adult = 3 samples. Violin plots illustrate respective PRDM13 and IRX1 expression in the different retinal cell types for each of these time points. RPCs, retinal precursor cells. |
|
|
Figure S1 - Schematic representation of the SED vector The transgenesis internal control cassette is composed of the Cardiac Actin promoter (pink), driving strong expression in the somites, and the DsRed fluorescent protein (red), serving as a control for transgenesis efficiency in vivo in the F0 and the F1 embryos. The enhancer detection cassette contains a Gateway entry site (yellow), the gata2 minimal promoter (light green), and the enhanced green fluorescent protein (EGFP) reporter gene (dark green). EGFP reporter expression can be observed during early development under a fluorescent microscope. Both cassettes are flanked by insulator sequences (purple) to protect them from position effects, and together they are flanked by I-SceI meganuclease recognition sites (blue). |
|
|
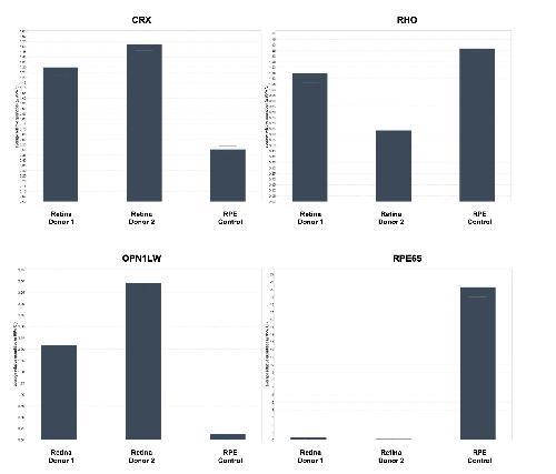
Figure S2 - Post-dissection expression analysis of human donor retina Output from the qPCR expression analysis of the two dissected retinal samples, compared against a control sample of RPE tissue. The retinal genes CRX, RHO, and OPN1LW are highly expressed in the retinal tissues, while expression of the RPE-specific RPE65 gene is minimal relative to the RPE sample. |
|
|
Figure S3 - Overview of identified cCREs of the PRDM13 (A) and IRX1 (B) loci The cCREs are obtained after integration of the generated UMI-4C profiles in the retina-specific multi-omics database. The cCREs were defined as non-coding regions interacting with the PRDM13 or IRX1 promoter while demonstrating overlap with peaks of epigenomics datasets or containing a UCNE or NCMD-associated genetic variants. Known and novel pathogenic SNVs are respectively indicated as red and green bars, while previously reported tandem duplications are indicated as blue bars. cCRE: candidate CRE. UCNE: ultra-conserved noncoding element. |
|
|
Figure S4 - Reverse UMI-4C experiment using IRX1_cCRE10 as viewpoint The resulting UMI-4C profile suggests an interaction of this region with the IRX1 promoter, as indicated by the diagonal arrow. However, in the UMI-4C experiment using the IRX1 promoter as viewpoint, the interaction is less evident. The three tandem duplications are displayed as blue bars. The UCNE located in this region is indicated by the horizontal arrow. UCNE: ultra-conserved non-coding element. |
|
|
Figure S5 - Overview of the genetic and clinical findings in family F1 (A) Pedigree of family F1. Individuals that were subjected to genetic testing are colored in red or green, respectively indicating whether the heterozygous V15 variant (g.99599064A>G (chr6, hg38)) is present or not. (B) F1-III:1. Fundus BE (top): yellowish-white lesions in the macula, encircled by hypopigmented halos and surrounded by hyperpigmentation. OCT BE (bottom): focal RPE damage and focal neurosensory detachment. (C) F1-IV:1. Fundus BE (top): abnormality of macular pigmentation, drusen, focal RPE atrophy, and gross pigment deposits. OCT BE (bottom): focal RPE damage. RE: focal neurosensory detachment. LE: submacular scarring. (D) F1-IV:2. Fundus BE (top): mild RPE abnormalities with small macular drusen. OCT BE (bottom): mild RPE abnormalities with small macular drusen. (E) F1-II:3. Fundus BE (top): chorioretinal macular atrophy with fibrotic changes more pronounced in the LE. OCT BE (bottom): chorioretinal macular atrophy with fibrotic changes more pronounced in the LE, and vitreofoveal adhesion. This family was previously clinically described by Nekolova et al. (2021).1 LE: left eye, RE: right eye, BE: both eyes. |
|
|
Figure S6 - Overview of the genetic and clinical findings in family F2 (A) Pedigree of family F2. Individuals that were subjected to genetic testing are colored in red or green, respectively indicating whether the heterozygous V16 variant (g.99593030G>C (chr6, hg38)) is present or not. (B) F2-III:1 and (C) F2-III:2. Fundus BE: symmetrical coloboma-like macular malformation indicative of grade 3 NCMD. BE: both eyes. |
|
|
Figure S7 - Overview of the genetic and clinical findings in family F3 (A) Pedigree of family F3. Individuals that were subjected to genetic testing are colored in red or green, respectively indicating whether the known heterozygous V1 variant (g.99593030G>T (chr6, hg38)) is present or not. (B) F3-III:2. Multicolor (blue, green, and infrared) reflectance images BE: severe bilateral lesions of the RPE affecting the entire macular area, in accordance with grade 3 NCMD (C) F3-III:2. OCT LE: excavated lesion with a temporal shelving edge and subretinal fibrosis. (D) F3-II:1 and (E) F3-II:3. Fundus BE. Mild bilateral yellow specks in the central macula, compatible with grade 1 NCMD are indicated by an arrow. LE: left eye, RE: right eye, BE: both eyes. |
|
|
Figure S8 - Visual representation of the results from the in silico assessment of non-coding SNVs using the TRANSFAC database For each of the non-coding SNVs located in the two mutational hotspots upstream of PRDM13, a comparison of the predicted TFBS motifs between the mutant and wild-type sequence is given. The green and red box highlight which TFBS motifs are respectively gained or lost, as a result of the specific nucleotide change. The grey bar highlights the nucleotide change. (A-E) Variant V1, V2, V3, V12, and V16, located in mutational hotspot-1 (PRDM13_cCRE3). (F-H) Variant V10, V11, and V15, located in mutational hotspot-2 (PRDM13_cCRE5). |
|
|
Figure S9 - Visualization of the joint point of the eight previously reported NCMD-associated tandem duplications Inserted bases and microhomology are respectively indicated in pink and blue, when present. |
|
|
Figure S10 - Single-cell transcriptomic analysis of developing human neural retina UMAP plot showing expression of (A) PRDM13 and (B) IRX1 for four different time points (e50 = d53 and d59, e70 = d74 and d78, e100 = d113 and d132, adult = 3 samples) Plots are scaled to the maximum expression of PRDM13 and IRX1, respectively. (C) Annotation of the ten transcriptionally distinct clusters. |
|
|
|
|
|
Figure 1. Integration of the generated UMI-4C data with publicly available Hi-C dataThe UMI-4C interaction frequency profiles and domainograms (bottom) for the PRDM13 promoter (left) and IRX1 promoter (right) viewpoints were integrated with Hi-C data from control human retinal organoids (top), demonstrating promoter interactions within the respective TADs.47 Topologically associated domains (TADs) are indicated by blue triangles. Chromosome coordinates are in hg38 annotation. |
|
|
Figure 2. Output from the UMI-4C experiment in the PRDM13 locusThe UMI-4C data (green) from the PRDM13 promoter viewpoint (right gray bar) illustrate an interaction with PRDM13_cCRE1 (left gray bar), a non-coding region upstream of the promoter (left arrow). Since underlying epigenomic tracks show an overlap of this region with DNase-seq (turquoise) and ATAC-seq (green) peaks, as well as with ChIP-seq profiles of specific histone marks indicative of enhancer activity (H3K4me2, H3K27ac) (yellow) and ChIP-seq profiles of retinal transcription factors (CRX, NRL, OTX2) (orange), this region is a strong cCRE. The reverse UMI-4C experiment using this cCRE as a viewpoint results in a peak around the PRDM13 promoter region (right arrow), confirming this interaction. cCRE, candidate CRE. |
|
|
Figure 3. Results from the luciferase assays for the set of fourteen cCREsThe bar plot shows, for each cCRE, the fold change of the luciferase reporter level relative to the level of the negative control luciferase vector (fold change = 1). neg, negative; NS, not significant; pos, positive; ∗∗∗p < 0.001. |
|
|
Figure 4. Overview of the results from the in vivo transgenic enhancer assays in XenopusRepresentative images of EGFP reporter expression in living, transgenic Xenopus tadpoles, driven by SED vector reporter constructs containing non-coding regions of interest. The respective Xenopus species injected and the Nieuwkoop and Faber (NF) stage shown in the pictures are indicated on top of the images, while the injected construct and the stage of injection are indicated left of the images. For each stage, the number of tadpoles displaying the depicted EGFP reporter expression pattern over the total number of analyzed transgenic tadpoles is given.(A and B) Dorsal view of transgenic Xenopus tropicalis embryos upon unilateral injection of the reporter construct containing IRX1_cCRE7. EGFP reporter expression was visible at the neural plate and tube (NP) on the injected side, indicated by the arrow, while no expression was observed on the non-injected side.(C and D) Ventral view of transgenic tadpoles, displaying EGFP reporter expression in the craniofacial cartilage, a derivative of the neural crest (NC), and the eye (E) on the injected side.(E and F) At the same stages, DsRed (positive control) expression was apparent in the myotomes (M) of the tadpoles.(G and H) Detailed view of the eye at NF stage 55 indicates that EGFP reporter expression was maintained on the injected (left) side, while no expression was observed in the non-injected (right) side.(I and J) Lateral and dorsal view of transgenic albino Xenopus laevis tadpoles upon unilateral injection of the reporter construct containing IRX1_cCRE7 in the two-cell stage demonstrated EGFP reporter expression in the eye and brain (B).(K and L) Lateral and dorsal view of transgenic tadpoles injected with the same construct, but in two of the dorsal blastomeres at the four-cell stage, also displayed EGFP reporter expression in the eye and brain.(M and N) Lateral and dorsal view of transgenic tadpoles introduced with the IRX1_cCRE10 reporter construct demonstrated low EGFP reporter expression in the eye and brain.(O–Q) DsRed (positive control) was expressed in the myotomes of the corresponding tadpoles.(R and S) Lateral and dorsal view of transgenic albino Xenopus laevis tadpoles upon injection of the reporter construct containing the PRDM13_cCRE1 region demonstrated EGFP reporter expression in the eye and brain.(T) Lateral view of transgenic tadpoles injected with mutational hotspot-1 (PRDM13_cCRE3) showed no EGFP reporter expression in the eye or brain.(U and V) Lateral and dorsal view of transgenic tadpoles injected with mutational hotspot-2 (PRDM13_cCRE5) demonstrated EGFP reporter expression in the eye and brain.(W) For the five cCREs analyzed using in vivo enhancer detection assays, DNase-seq profiles generated in human embryonic retinal tissue at five different developmental stages are given. In case of IRX1_cCRE7, IRX1_cCRE10, PRDM13_cCRE1, and PRDM13_cCRE7, open chromatin is observed at/until day 103 of development, while PRDM13_cCRE1 is closed exclusively at this period. |
|
|
Figure 5. Overview of (likely) pathogenic variants in the PRDM13 locus and IRX1 locusKnown and novel SNVs are indicated by red and green bars, respectively. The pathogenic tandem duplications are shown as blue bars, while benign duplications spanning the IRX1 coding region, derived from DGV, are shown as pink bars. The five cCREs analyzed via in vivo enhancer assays in Xenopus are highlighted by grey vertical bars. The DNase-seq track was generated in human embryonic retinal tissue at day 103 of development. Chromosome coordinates are in hg38 annotation. PRDM13 locus, left; IRX1 locus, right; V, variant; DGV, Database of Genomic Variants. |
|
|
Figure 6. Overview of the in vitro mutant versus wild-type luciferase assays in ARPE-19 cells(A) In mutational hotspot-1 (PRDM13_cCRE3) upstream of PRDM13, the four known (V1–V3, V12) variants and the V16 variant demonstrate a significant increase of luciferase reporter activity (p < 0.001), relative to the wild-type vector.(B) In contrast, the two known (V10, V11) variants and the V15 variant located in mutational hotspot-2 (PRDM13_cCRE5) upstream of PRDM13 cause a significant decrease of luciferase reporter activity (p < 0.001), relative to the wild-type vector.(C) For three non-coding regions of interest, located in the shared duplicated region of either the PRDM13 or IRX1 locus, the level of luciferase reporter was reduced by half (p < 0.001) when the region was present as tandem duplication, relative to their respective wild-type counterpart, containing the same region of interest as a single insert.neg, negative; pos, positive; ∗∗∗p < 0.001. |
|
|
Figure 7. Single-cell transcriptomic analysis of developing human neural retinaIn particular, data from six embryonic (e) (53, 59, 74, 78, 113, and 132 days) and three adult (25, 50, and 54 years old) human retinal samples are included.(A) UMAP plot of 60,014 human neural retinal cells from all samples, colored based on the ten transcriptionally distinct clusters represented in the key.(B and C) The different retinal samples were grouped into four time points: e50 = d53 and d59, e70 = d74 and d78, e100 = d113 and d132, adult = 3 samples. Violin plots illustrate respective PRDM13 and IRX1 expression in the different retinal cell types for each of these time points. RPCs, retinal precursor cells. |
References [+] :
Abeysinghe,
Translocation and gross deletion breakpoints in human inherited disease and cancer I: Nucleotide composition and recombination-associated motifs.
2003, Pubmed
Abeysinghe, Translocation and gross deletion breakpoints in human inherited disease and cancer I: Nucleotide composition and recombination-associated motifs. 2003, Pubmed
Arts, Exome sequencing in routine diagnostics: a generic test for 254 patients with primary immunodeficiencies. 2019, Pubmed
Bessa, Zebrafish enhancer detection (ZED) vector: a new tool to facilitate transgenesis and the functional analysis of cis-regulatory regions in zebrafish. 2009, Pubmed
Bessa, Making reporter gene constructs to analyze cis-regulatory elements. 2011, Pubmed
Bessodes, Prdm13 forms a feedback loop with Ptf1a and is required for glycinergic amacrine cell genesis in the Xenopus Retina. 2017, Pubmed , Xenbase
Bhatia, Disruption of autoregulatory feedback by a mutation in a remote, ultraconserved PAX6 enhancer causes aniridia. 2013, Pubmed
Bosse, Identification of the vertebrate Iroquois homeobox gene family with overlapping expression during early development of the nervous system. 1997, Pubmed
Bowne, North Carolina macular dystrophy (MCDR1) caused by a novel tandem duplication of the PRDM13 gene. 2016, Pubmed
Carss, Comprehensive Rare Variant Analysis via Whole-Genome Sequencing to Determine the Molecular Pathology of Inherited Retinal Disease. 2017, Pubmed
Chen, Manta: rapid detection of structural variants and indels for germline and cancer sequencing applications. 2016, Pubmed
Cheng, The homeobox gene irx1a is required for the propagation of the neurogenic waves in the zebrafish retina. 2006, Pubmed
Cherry, Mapping the cis-regulatory architecture of the human retina reveals noncoding genetic variation in disease. 2020, Pubmed
Cingolani, A program for annotating and predicting the effects of single nucleotide polymorphisms, SnpEff: SNPs in the genome of Drosophila melanogaster strain w1118; iso-2; iso-3. 2012, Pubmed
Cipriani, Duplication events downstream of IRX1 cause North Carolina macular dystrophy at the MCDR3 locus. 2017, Pubmed
Cohen, Expression of two novel mouse Iroquois homeobox genes during neurogenesis. 2000, Pubmed , Xenbase
Coolen, Recessive PRDM13 mutations cause fatal perinatal brainstem dysfunction with cerebellar hypoplasia and disrupt Purkinje cell differentiation. 2022, Pubmed
de Bruijn, Structural Variants Create New Topological-Associated Domains and Ectopic Retinal Enhancer-Gene Contact in Dominant Retinitis Pigmentosa. 2020, Pubmed
de la Calle-Mustienes, A functional survey of the enhancer activity of conserved non-coding sequences from vertebrate Iroquois cluster gene deserts. 2005, Pubmed , Xenbase
den Hollander, Mutations in the CEP290 (NPHP6) gene are a frequent cause of Leber congenital amaurosis. 2006, Pubmed
di Iulio, The human noncoding genome defined by genetic diversity. 2018, Pubmed
Dimitrieva, UCNEbase--a database of ultraconserved non-coding elements and genomic regulatory blocks. 2013, Pubmed
Dixon, Topological domains in mammalian genomes identified by analysis of chromatin interactions. 2012, Pubmed
ENCODE Project Consortium, An integrated encyclopedia of DNA elements in the human genome. 2012, Pubmed
Farwell, Enhanced utility of family-centered diagnostic exome sequencing with inheritance model-based analysis: results from 500 unselected families with undiagnosed genetic conditions. 2015, Pubmed
Franke, Formation of new chromatin domains determines pathogenicity of genomic duplications. 2016, Pubmed
Ghiasvand, Deletion of a remote enhancer near ATOH7 disrupts retinal neurogenesis, causing NCRNA disease. 2011, Pubmed
Green, North Carolina Macular Dystrophy: Phenotypic Variability and Computational Analysis of Disease-Associated Noncoding Variants. 2021, Pubmed
Guo, Coordinated regulatory variation associated with gestational hyperglycaemia regulates expression of the novel hexokinase HKDC1. 2015, Pubmed
Haer-Wigman, Diagnostic exome sequencing in 266 Dutch patients with visual impairment. 2017, Pubmed
Hanotel, The Prdm13 histone methyltransferase encoding gene is a Ptf1a-Rbpj downstream target that suppresses glutamatergic and promotes GABAergic neuronal fate in the dorsal neural tube. 2014, Pubmed , Xenbase
Hao, Integrated analysis of multimodal single-cell data. 2021, Pubmed
Harmston, The mystery of extreme non-coding conservation. 2013, Pubmed
Hoang, Whole-genome sequencing of multiple myeloma reveals oncogenic pathways are targeted somatically through multiple mechanisms. 2018, Pubmed
Hoshino, Molecular Anatomy of the Developing Human Retina. 2017, Pubmed
Ioannidis, FIRE: functional inference of genetic variants that regulate gene expression. 2017, Pubmed
Javed, Pou2f1 and Pou2f2 cooperate to control the timing of cone photoreceptor production in the developing mouse retina. 2020, Pubmed
Karczewski, The mutational constraint spectrum quantified from variation in 141,456 humans. 2020, Pubmed
Khan, Resolving the dark matter of ABCA4 for 1054 Stargardt disease probands through integrated genomics and transcriptomics. 2020, Pubmed
Khurana, Role of non-coding sequence variants in cancer. 2016, Pubmed
Kim, Strelka2: fast and accurate calling of germline and somatic variants. 2018, Pubmed
Korsunsky, Fast, sensitive and accurate integration of single-cell data with Harmony. 2019, Pubmed
Kwong, Co-expression of heat shock transcription factors 1 and 2 in rat retinal ganglion cells. 2006, Pubmed
Landrum, ClinVar: improving access to variant interpretations and supporting evidence. 2018, Pubmed
Langmead, Fast gapped-read alignment with Bowtie 2. 2012, Pubmed
Lefler, Hereditary macular degeneration and amino-aciduria. 1971, Pubmed
Lesurf, ORegAnno 3.0: a community-driven resource for curated regulatory annotation. 2016, Pubmed
Liu, dbNSFP v3.0: A One-Stop Database of Functional Predictions and Annotations for Human Nonsynonymous and Splice-Site SNVs. 2016, Pubmed
Lu, A statistical framework to predict functional non-coding regions in the human genome through integrated analysis of annotation data. 2015, Pubmed
Majewski, What can exome sequencing do for you? 2011, Pubmed
Manes, A novel duplication of PRMD13 causes North Carolina macular dystrophy: overexpression of PRDM13 orthologue in drosophila eye reproduces the human phenotype. 2017, Pubmed
Matelot, Determination of High-Resolution 3D Chromatin Organization Using Circular Chromosome Conformation Capture (4C-seq). 2016, Pubmed
Meuleman, Index and biological spectrum of human DNase I hypersensitive sites. 2020, Pubmed
Mona, Repression by PRDM13 is critical for generating precision in neuronal identity. 2017, Pubmed
Moshiri, A nonhuman primate model of inherited retinal disease. 2019, Pubmed
Namburi, A unique PRDM13-associated variant in a Georgian Jewish family with probable North Carolina macular dystrophy and the possible contribution of a unique CFH variant. 2020, Pubmed
Ogino, High-throughput transgenesis in Xenopus using I-SceI meganuclease. 2006, Pubmed , Xenbase
Pedersen, PAX6 Genotypic and Retinal Phenotypic Characterization in Congenital Aniridia. 2020, Pubmed
Pennacchio, In vivo enhancer analysis of human conserved non-coding sequences. 2006, Pubmed
Pinelli, An atlas of gene expression and gene co-regulation in the human retina. 2016, Pubmed
Provis, Development of the human retina: patterns of cell distribution and redistribution in the ganglion cell layer. 1985, Pubmed
Qian, Identification of Deep-Intronic Splice Mutations in a Large Cohort of Patients With Inherited Retinal Diseases. 2021, Pubmed
Raczy, Isaac: ultra-fast whole-genome secondary analysis on Illumina sequencing platforms. 2013, Pubmed
Radziwon, Single-base substitutions in the CHM promoter as a cause of choroideremia. 2017, Pubmed
Rice, EMBOSS: the European Molecular Biology Open Software Suite. 2000, Pubmed
Rosenberg, Clinical and genetic characterization of a Danish family with North Carolina macular dystrophy. 2010, Pubmed
Schwartzman, UMI-4C for quantitative and targeted chromosomal contact profiling. 2016, Pubmed
Silva, Unique noncoding variants upstream of PRDM13 are associated with a spectrum of developmental retinal dystrophies including progressive bifocal chorioretinal atrophy. 2019, Pubmed
Small, North Carolina macular dystrophy is assigned to chromosome 6. 1992, Pubmed
Small, A novel duplication involving PRDM13 in a Turkish family supports its role in North Carolina macular dystrophy (NCMD/MCDR1). 2021, Pubmed
Small, North Carolina macular dystrophy: clinical features, genealogy, and genetic linkage analysis. 1998, Pubmed
Small, North Carolina macular dystrophy (MCDR1). A review and refined mapping to 6q14-q16.2. 1993, Pubmed
Small, North Carolina Macular Dystrophy Is Caused by Dysregulation of the Retinal Transcription Factor PRDM13. 2016, Pubmed
Small, Multimodal Imaging and Functional Testing in a North Carolina Macular Disease Family: Toxoplasmosis, Fovea Plana, and Torpedo Maculopathy Are Phenocopies. 2019, Pubmed
Small, North Carolina macular dystrophy, revisited. 1989, Pubmed
Spielmann, Structural variation in the 3D genome. 2018, Pubmed
Sullivan, Six1 and Irx1 have reciprocal interactions during cranial placode and otic vesicle formation. 2019, Pubmed , Xenbase
Tena, An evolutionarily conserved three-dimensional structure in the vertebrate Irx clusters facilitates enhancer sharing and coregulation. 2011, Pubmed , Xenbase
Thomas, Cell-specific cis-regulatory elements and mechanisms of non-coding genetic disease in human retina and retinal organoids. 2022, Pubmed
van den Boogaard, A common genetic variant within SCN10A modulates cardiac SCN5A expression. 2014, Pubmed
Verdin, Microhomology-mediated mechanisms underlie non-recurrent disease-causing microdeletions of the FOXL2 gene or its regulatory domain. 2013, Pubmed
Vissers, Rare pathogenic microdeletions and tandem duplications are microhomology-mediated and stimulated by local genomic architecture. 2009, Pubmed
Voigt, Human photoreceptor cells from different macular subregions have distinct transcriptional profiles. 2021, Pubmed
Wang, ATAC-Seq analysis reveals a widespread decrease of chromatin accessibility in age-related macular degeneration. 2018, Pubmed
Watanabe, Prdm13 regulates subtype specification of retinal amacrine interneurons and modulates visual sensitivity. 2015, Pubmed
Weisschuh, Deep-intronic variants in CNGB3 cause achromatopsia by pseudoexon activation. 2020, Pubmed
Wells, Ranking of non-coding pathogenic variants and putative essential regions of the human genome. 2019, Pubmed
Whittaker, A recessive PRDM13 mutation results in congenital hypogonadotropic hypogonadism and cerebellar hypoplasia. 2021, Pubmed
Wingender, The TRANSFAC project as an example of framework technology that supports the analysis of genomic regulation. 2008, Pubmed
Wu, A novel tandem duplication of PRDM13 in a Chinese family with North Carolina macular dystrophy. 2022, Pubmed
Yamamoto, Functional and Evolutionary Diversification of Otx2 and Crx in Vertebrate Retinal Photoreceptor and Bipolar Cell Development. 2020, Pubmed
Yang, De novo pattern discovery enables robust assessment of functional consequences of non-coding variants. 2019, Pubmed
Zhang, regBase: whole genome base-wise aggregation and functional prediction for human non-coding regulatory variants. 2019, Pubmed
Zhou, Prioritization and functional assessment of noncoding variants associated with complex diseases. 2018, Pubmed
