Click here to close
Hello! We notice that you are using Internet Explorer, which is not supported by Xenbase and may cause the site to display incorrectly.
We suggest using a current version of Chrome,
FireFox, or Safari.
J Membr Biol
2023 Feb 01;2561:51-61. doi: 10.1007/s00232-022-00251-z.
Show Gene links
Show Anatomy links
Cellular Distribution Pattern of tjp1 (ZO-1) in Xenopus laevis Oocytes Heterologously Expressing Claudins.
Brunner N, Stein L, Amasheh S.
???displayArticle.abstract???
Epithelial barriers constitute a fundamental requirement in every organism, as they allow the separation of different environments and set boundaries against noxious and other adverse effectors. In many inflammatory and degenerative diseases, epithelial barrier function is impaired because of a disturbance of the paracellular seal. Recently, the Xenopus laevis oocyte has been established as a heterologous expression model for the analysis of transmembrane tight junction protein interactions and is currently considered to be a suitable screening model for barrier effectors. A prerequisite for this application is a physiological anchoring of claudins to the cytoskeleton via the major scaffolding protein tjp1 (tight junction protein 1, ZO-1). We have analyzed the oocyte model with regard to the interaction of heterologously expressed claudins and tjp1. Our experiments have revealed endogenous tjp1 expression in protein and mRNA analyses of unfertilized Xenopus laevis oocytes expressing human claudin 1 (CLDN1) to claudin 5 (CLDN5). The amphibian cell model can therefore be used for the analysis of claudin interactions.
Fig. 1. Immunoblot analysis of tight junction (TJ) proteins in X. laevis oocytes Cell membrane lysates applied to 10% stain-free acrylamide gel and transferred onto PVDF membranes. All claudin-injected oocytes membranes revealed claudin-specific signals at the predicted protein mass in accordance with the injected cRNAs (20–27 kDa). RNAse-free water-injected oocytes were treated identically and showed no signal for endogenous expression of claudins. However, specific signals for both tjp1 isoforms α+ (195 kDa) and α− (187 kDa) in claudin-expressing oocytes and water-injected controls confirmed endogenous tjp1 protein expression
Fig. 2. Immunohistochemical staining of TJ proteins in X. laevis oocytes All claudin-injected oocytes revealed claudin-specific signals at their cell membranes in accordance with the injected CLDN cRNAs (green). RNAse-free water-injected oocytes were treated identically and showed no signal for the endogenous expression of claudins (* representative image of water-injected oocyte screened for endogenous CLDN3 expression). Additionally, immunofluorescent staining in claudin- and water-injected oocytes revealed specific tjp1 signals (red) in oocytes, whereas in no primary antibody controls, no specific signals were detected by confocal microscopy. Tjp1 signals were concentrated in the submembranous space and appeared as a belt-like structure. In CLDN2- and CLDN3-expressing oocytes, claudin and tjp1 signals were selectively colocalized at the plasma membrane and resulted in a yellow signal (arrows). Scale bars: 20 mm
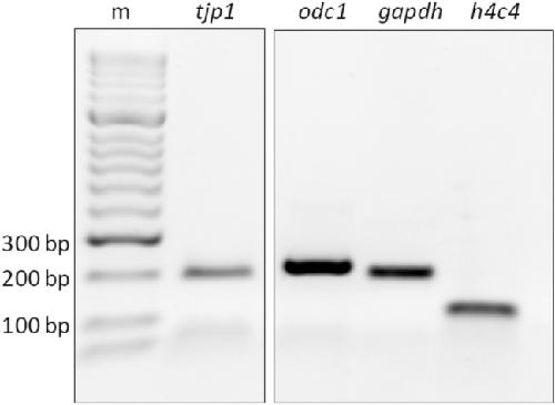
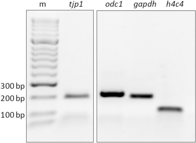
Fig. 3. Qualitative PCR of tjp1 and housekeeping genes odc1, gapdh, and h4c4 PCR products were loaded onto a 2% agarose gel in TBE buffer. Pooled samples of claudin-injected oocytes showed gene products in accordance with the predicted amplicon size (Table 2) of the housekeeping genes and the gene of interest
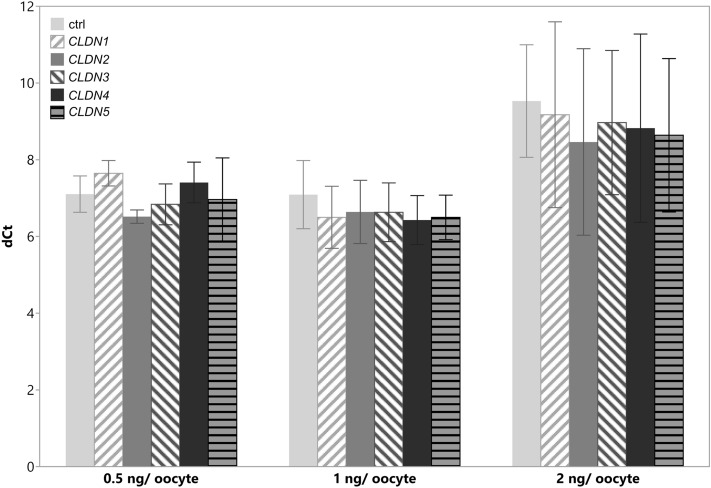
Fig. 4. Quantitative real-time PCR of tjp1 in claudin-expressing X. laevis oocytes PCR delta Ct values in control oocytes were indistinctive from claudin-expressing oocytes at all three tested concentrations of 0.5, 1, and 2 ng cRNA/ oocyte, ANOVA: p ≥ 0.9
Agarwal,
Claudin-3 and claudin-4 expression in ovarian epithelial cells enhances invasion and is associated with increased matrix metalloproteinase-2 activity.
2005, Pubmed
Agarwal,
Claudin-3 and claudin-4 expression in ovarian epithelial cells enhances invasion and is associated with increased matrix metalloproteinase-2 activity.
2005,
Pubmed Assef,
ENaC channels in oocytes from Xenopus laevis and their regulation by xShroom1 protein.
2011,
Pubmed
,
Xenbase Balda,
The tight junction protein ZO-1 and an interacting transcription factor regulate ErbB-2 expression.
2000,
Pubmed Balda,
The ZO-1-associated Y-box factor ZONAB regulates epithelial cell proliferation and cell density.
2003,
Pubmed Blum,
Xenopus: An Undervalued Model Organism to Study and Model Human Genetic Disease.
2018,
Pubmed
,
Xenbase Blum,
Xenopus, an ideal model system to study vertebrate left-right asymmetry.
2009,
Pubmed
,
Xenbase Bowes,
Xenbase: a Xenopus biology and genomics resource.
2008,
Pubmed
,
Xenbase Brunner,
Blood-Brain Barrier Protein Claudin-5 Expressed in Paired Xenopus laevis Oocytes Mediates Cell-Cell Interaction.
2020,
Pubmed
,
Xenbase Cardellini,
Tight junctions in early amphibian development: detection of junctional cingulin from the 2-cell stage and its localization at the boundary of distinct membrane domains in dividing blastomeres in low calcium.
1996,
Pubmed
,
Xenbase Carotenuto,
Xenopus laevis oocyte as a model for the study of the cytoskeleton.
2018,
Pubmed
,
Xenbase Christensen,
Role of soluble myosin in cortical contractions of Xenopus eggs.
,
Pubmed
,
Xenbase Danilchik,
Differentiation of the animal-vegetal axis in Xenopus laevis oocytes. I. Polarized intracellular translocation of platelets establishes the yolk gradient.
1987,
Pubmed
,
Xenbase D'Atri,
Evidence for a functional interaction between cingulin and ZO-1 in cultured cells.
2002,
Pubmed
,
Xenbase D'Atri,
Molecular complexity of vertebrate tight junctions (Review).
2002,
Pubmed Fanning,
Zonula occludens-1 and -2 are cytosolic scaffolds that regulate the assembly of cellular junctions.
2009,
Pubmed Fanning,
The tight junction protein ZO-1 establishes a link between the transmembrane protein occludin and the actin cytoskeleton.
1998,
Pubmed Fesenko,
Tight junction biogenesis in the early Xenopus embryo.
2000,
Pubmed
,
Xenbase Furuse,
Claudin-1 and -2: novel integral membrane proteins localizing at tight junctions with no sequence similarity to occludin.
1998,
Pubmed Furuse,
Direct association of occludin with ZO-1 and its possible involvement in the localization of occludin at tight junctions.
1994,
Pubmed Galizia,
Functional interaction between AQP2 and TRPV4 in renal cells.
2012,
Pubmed Galizia,
Hypotonic regulation of mouse epithelial sodium channel in Xenopus laevis oocytes.
2013,
Pubmed
,
Xenbase Gottardi,
The junction-associated protein, zonula occludens-1, localizes to the nucleus before the maturation and during the remodeling of cell-cell contacts.
1996,
Pubmed Hagen,
Non-canonical functions of claudin proteins: Beyond the regulation of cell-cell adhesions.
2017,
Pubmed Hamada,
Disruption of ZO-1/claudin-4 interaction in relation to inflammatory responses in methotrexate-induced intestinal mucositis.
2013,
Pubmed Heasman,
Patterning the early Xenopus embryo.
2006,
Pubmed
,
Xenbase Heinzelmann-Schwarz,
Overexpression of the cell adhesion molecules DDR1, Claudin 3, and Ep-CAM in metaplastic ovarian epithelium and ovarian cancer.
2004,
Pubmed Ikari,
Nuclear distribution of claudin-2 increases cell proliferation in human lung adenocarcinoma cells.
2014,
Pubmed Ikenouchi,
Tricellulin constitutes a novel barrier at tricellular contacts of epithelial cells.
2005,
Pubmed Itoh,
Direct binding of three tight junction-associated MAGUKs, ZO-1, ZO-2, and ZO-3, with the COOH termini of claudins.
1999,
Pubmed Katsuno,
Deficiency of zonula occludens-1 causes embryonic lethal phenotype associated with defected yolk sac angiogenesis and apoptosis of embryonic cells.
2008,
Pubmed Kreda,
Imaging CFTR protein localization in cultured cells and tissues.
2011,
Pubmed Kuo,
The Tight Junction Protein ZO-1 Is Dispensable for Barrier Function but Critical for Effective Mucosal Repair.
2021,
Pubmed Leduc-Nadeau,
Elaboration of a novel technique for purification of plasma membranes from Xenopus laevis oocytes.
2007,
Pubmed
,
Xenbase Miller,
Xenopus oocytes as an expression system for plant transporters.
2000,
Pubmed
,
Xenbase Nenni,
Xenbase: Facilitating the Use of Xenopus to Model Human Disease.
2019,
Pubmed
,
Xenbase Nomme,
Structural Basis of a Key Factor Regulating the Affinity between the Zonula Occludens First PDZ Domain and Claudins.
2015,
Pubmed Ozu,
Water flux through human aquaporin 1: inhibition by intracellular furosemide and maximal response with high osmotic gradients.
2011,
Pubmed
,
Xenbase Ozu,
New method to measure water permeability in emptied-out Xenopus oocytes controlling conditions on both sides of the membrane.
2005,
Pubmed
,
Xenbase Palma,
CFTR channel in oocytes from Xenopus laevis and its regulation by xShroom1 protein.
2016,
Pubmed
,
Xenbase Powell,
Barrier function of epithelia.
1981,
Pubmed Raleigh,
Tight junction-associated MARVEL proteins marveld3, tricellulin, and occludin have distinct but overlapping functions.
2010,
Pubmed Riazuddin,
Tricellulin is a tight-junction protein necessary for hearing.
2006,
Pubmed Rivares,
Remodeling of Rat M. Gastrocnemius Medialis During Recovery From Aponeurotomy.
2020,
Pubmed Rodgers,
Epithelial barrier assembly requires coordinated activity of multiple domains of the tight junction protein ZO-1.
2013,
Pubmed Roeder,
Confocal microscopy of F-actin distribution in Xenopus oocytes.
1994,
Pubmed
,
Xenbase Rüffer,
The C-terminal cytoplasmic tail of claudins 1 and 5 but not its PDZ-binding motif is required for apical localization at epithelial and endothelial tight junctions.
2004,
Pubmed Schlingmann,
Regulation of claudin/zonula occludens-1 complexes by hetero-claudin interactions.
2016,
Pubmed Segerdell,
An ontology for Xenopus anatomy and development.
2008,
Pubmed
,
Xenbase Session,
Genome evolution in the allotetraploid frog Xenopus laevis.
2016,
Pubmed
,
Xenbase Umeda,
ZO-1 and ZO-2 independently determine where claudins are polymerized in tight-junction strand formation.
2006,
Pubmed Van Itallie,
Visualizing the dynamic coupling of claudin strands to the actin cytoskeleton through ZO-1.
2017,
Pubmed Van Itallie,
ZO-1 stabilizes the tight junction solute barrier through coupling to the perijunctional cytoskeleton.
2009,
Pubmed Vitzthum,
Xenopus oocytes as a heterologous expression system for analysis of tight junction proteins.
2019,
Pubmed
,
Xenbase Will,
Claudin tight junction proteins: novel aspects in paracellular transport.
2008,
Pubmed Willott,
Localization and differential expression of two isoforms of the tight junction protein ZO-1.
1992,
Pubmed Zihni,
Tight junctions: from simple barriers to multifunctional molecular gates.
2016,
Pubmed Zuckerman,
Association of the epithelial sodium channel with Apx and alpha-spectrin in A6 renal epithelial cells.
1999,
Pubmed
,
Xenbase