Click here to close Hello! We notice that you are using Internet Explorer, which is not supported by Xenbase and may cause the site to display incorrectly. We suggest using a current version of Chrome, FireFox, or Safari.
XB-ART-59175
Brain Sci 2022 Jun 19;126:. doi: 10.3390/brainsci12060807.
Show Gene links Show Anatomy links

Unexpected Effect of IL-1β on the Function of GABAA Receptors in Pediatric Focal Cortical Dysplasia.

Alfano V, Romagnolo A, Mills JD, Cifelli P, Gaeta A, Morano A, Mühlebner A, Aronica E, Palma E, Ruffolo G.


???displayArticle.abstract???
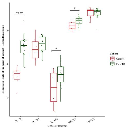
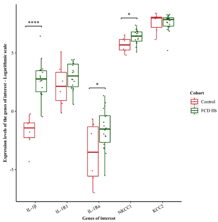
Focal cortical dysplasia (FCD) type II is an epileptogenic malformation of the neocortex, as well as a leading cause of drug-resistant focal epilepsy in children and young adults. The synaptic dysfunctions leading to intractable seizures in this disease appear to have a tight relationship with the immaturity of GABAergic neurotransmission. The likely outcome would include hyperpolarizing responses upon activation of GABAARs. In addition, it is well-established that neuroinflammation plays a relevant role in the pathogenesis of FCD type II. Here, we investigated whether IL-1β, a prototypical pro-inflammatory cytokine, can influence GABAergic neurotransmission in FCD brain tissues. To this purpose, we carried out electrophysiological recordings on Xenopus oocytes transplanted with human tissues and performed a transcriptomics analysis. We found that IL-1β decreases the GABA currents amplitude in tissue samples from adult individuals, while it potentiates GABA responses in samples from pediatric cases. Interestingly, these cases of pediatric FCD were characterized by a more depolarized EGABA and an altered transcriptomics profile, that revealed an up-regulation of chloride cotransporter NKCC1 and IL-1β. Altogether, these results suggest that the neuroinflammatory processes and altered chloride homeostasis can contribute together to increase the brain excitability underlying the occurrence of seizures in these children.

???displayArticle.pubmedLink??? 35741692
???displayArticle.pmcLink??? PMC9220988
???displayArticle.link??? Brain Sci


Genes referenced: gabarap slc12a2


???attribute.lit??? ???displayArticles.show???
References [+] :
Ben-Ari, Excitatory actions of gaba during development: the nature of the nurture. 2002, Pubmed