XB-ART-58885
Front Mol Neurosci
2022 Apr 06;15:848540. doi: 10.3389/fnmol.2022.848540.
Show Gene links
Show Anatomy links
Direct Regulation of Hyperpolarization-Activated Cyclic-Nucleotide Gated (HCN1) Channels by Cannabinoids.
Mayar S, Memarpoor-Yazdi M, Makky A, Eslami Sarokhalil R, D'Avanzo N.
???displayArticle.abstract???
Cannabinoids are a broad class of molecules that act primarily on neurons, affecting pain sensation, appetite, mood, learning, and memory. In addition to interacting with specific cannabinoid receptors (CBRs), cannabinoids can directly modulate the function of various ion channels. Here, we examine whether cannabidiol (CBD) and Δ9-tetrahydrocannabinol (THC), the most prevalent phytocannabinoids in Cannabis sativa, can regulate the function of hyperpolarization-activated cyclic-nucleotide-gated (HCN1) channels independently of CBRs. HCN1 channels were expressed in Xenopus oocytes since they do not express CBRs, and the effects of cannabinoid treatment on HCN1 currents were examined by a two-electrode voltage clamp. We observe opposing effects of CBD and THC on HCN1 current, with CBD acting to stimulate HCN1 function, while THC inhibited current. These effects persist in HCN1 channels lacking the cyclic-nucleotide binding domain (HCN1ΔCNBD). However, changes to membrane fluidity, examined by treating cells with TX-100, inhibited HCN1 current had more pronounced effects on the voltage-dependence and kinetics of activation than THC, suggesting this is not the primary mechanism of HCN1 regulation by cannabinoids. Our findings may contribute to the overall understanding of how cannabinoids may act as promising therapeutic molecules for the treatment of several neurological disorders in which HCN function is disturbed.
???displayArticle.pubmedLink??? 35465092
???displayArticle.pmcLink??? PMC9019169
???displayArticle.link??? Front Mol Neurosci
Species referenced: Xenopus laevis
Genes referenced: cnr1 dtl hcn1 mapk8 trpv1 was
GO keywords: cannabinoid receptor binding [+]
???attribute.lit??? ???displayArticles.show???
|
|
FIGURE 1. Cannabinoid regulation of Ih in neurons. The synthetic cannabinoid WIN55,212-2 affects memory via increasing Ih by activating CB1 receptors, leading to JNK-mediated increases in activated nitric oxide synthase (NOS), resulting in increased guanylyl cyclase activity and, in turn, cGMP (Hill et al., 2012). However, cannabinoids have also been shown to modify the function of several ion channels independently of cannabinoid receptors (CBRs) activation. Here, we ask if hyperpolarization-activated cyclic-nucleotide-gated (HCN1) channels can be directly modulated by cannabidiol (CBD) and Î9-tetrahydrocannabinol (THC) (Maroso et al., 2016). |
|
|
FIGURE 2. Concentration-dependent regulation of HCN1 current by THC and CBD. (A) Steady-state current values from a representative cell following repetitive pulses to â130 mV from VH = 0 mV with the addition of 0, 10, 20, 30, and 50 μM CBD. (B) Concentration dependence of HCN1 activation by CBD (â ) at â130 mV (n = 13). This activation of HCN1 persists in the presence of the CB1R antagonist 10 μM AM-251 (â) (n = 5). A total of 50% Max response (EC50) for CBD is elicited at 28.5 μM, with a 91% maximal increase in current. (C) CBD has no effects on uninjected oocytes, indicating that we are not observing effects on background currents. (D) CBD activated currents can be fully inhibited by 500 μM ZD7288. This indicates that CBD is only activating HCN1 currents, and not activating a background current in oocytes. (E) Steady-state currents from a representative cell following repetitive pulses to â130 mV in 0, 10, 25, and 50 μM THC. (F) Steady-state currents from a representative cell following repetitive pulses to â130 mV in the presence of the quantity of methanol used as a vehicle for 0, 10, 25, and 50 μM CBD/THC. (G) Concentration dependence of HCN1 inhibition by THC (â ) or methanol (â¡) at â130 mV (n = 5). THC induces a 63% maximal block of HCN1 currents, with a half-maximal response (Relative IC50) of 21.8 μM. 50% block of total current (Absolute IC50) occurs at 28.9 μM. Methanol induces <a 5% decrease in current at concentrations above 20 μM (n = 4). |
|
|
FIGURE 3. Regulation of HCN1 by cannabidiol (CBD) and Î9-tetrahydrocannabidiol (THC). (A) Representative traces from a paired experiment following the addition of increasing concentrations of CBD to oocytes expressing full-length HCN1. (B) Currentâvoltage (I/V) relationship in presence of CBD normalized to maximal current (IWT(â160mV)) (5 < n < 18 per condition; P < 0.05 for 30â50 μM). (C) Steady state activation in presence of CBD (P = 0.81 for V1/2). (D) Activation time constant (Ï) kinetics in presence of CBD (0.21 < P < 0.71). (E) Deactivation time constant (Ï) kinetics in presence of CBD (3 < n <7 per condition; 0.09 < P <0.65). (F) Representative traces from a paired experiment following the addition of increasing concentrations of THC to oocytes expressing full-length HCN1. (G) (I/V) relationship in presence of THC normalized to maximal current (IWT(â160mV)) (4 < n <8 per condition; P <0.05 for Gmax (slope between â120 and â160 mV) of 20â50 μM). (H) Steady-state activation in presence of THC (P = 0.49 for V1/2). (I) Activation time constant (Ï) kinetics in presence of THC (0.21 < P < 0.90). (J) Deactivation time constant (Ï) kinetics in presence of THC (3 < n < 8 per condition; 0.11 < P < 0.45). |
|
|
FIGURE 4. Effects of CBD and THC on HCN1 hysteresis. (A) Ramps from 0 to â150 mV and back to 0 mV at speeds of 600, 300, 150, 75, and 37.5 mV/s. The degree of hysteresis was quantified by the area between the forward and backward current traces when plotted vs. the membrane voltage. (B) Histogram of HCN1 hysteresis for HCN1 treated with different concentrations of methanol used as vehicles for the cannabinoids at concentrations listed in parentheses. Hysteresis is unaffected by increasing concentrations of methanol. (CâE) THC reduces the degree of hysteresis at fast ramp speeds, with a greater range of ramp speeds affected as THC concentration increases. CBD did not affect HCN1 hysteresis (3 < n < 10 for each condition; *P < 0.05). |
|
|
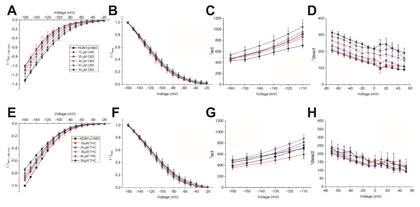
FIGURE 5. Effects of CBD and THC on HCN1 do not require the CNBD. (A) Current-voltage (I/V) relationship of HCN1ÎCNBD in the presence of increasing concentrations of CBD normalized to maximal current (IWT(â160mV)) (4 < n < 13 per condition; P < 0.05 for 20â50 μM). (B) Deactivation time constant (Ï) kinetics of HCN1ÎCNBD following treatment with CBD (4 < n < 10 per condition; P < 0.05 for 20â50 μM). (C) Current-voltage (I/V) relationship of HCN1ÎCNBD in the presence of increasing concentrations of THC normalized to maximal current (IWT(â160mV)) (4 < n <12 per condition; P < 0.05 for 10â50 μM). (D,E) THC reduces the degree of HCN1ÎCNBD hysteresis at fast ramp speeds, with a greater range of ramp speeds affected as THC concentration increases. CBD did not affect HCN1ÎCNBD hysteresis (3 < n <10 for each condition; *P < 0.05). |
|
|
FIGURE 6. Changes in membrane fluidity do not account for cannabinoid regulation of HCN1. Membrane fluidity was altered by the addition of Triton X-100 (TX-100) to the bath solution. (A) Representative time course of the steady-state current following the application of TX-100 at different concentrations, indicating that increasing membrane fluidity decreases HCN1 channel activity. However, this decrease in HCN1 current occurs more rapidly (within 1â2 min) than the decline observed with THC (which occurs over the course of 10â30 min). (B) Current-voltage relationship of HCN1 upon the addition of 0, 15, 25, 30, and 45 μM TX-100 normalized to maximal current (IWT(â160mV)). (C) TX-100 induces a â10 to â15 mV hyperpolarizing shift in the steady-state voltage-dependence of HCN1, which does not occur when THC or CBD is applied. (D) HCN1 activation kinetics are uniquely affected by TX-100, with membrane fluidity having a greater impact on slowing channel activation with more hyperpolarization of the membrane potential (3 < n < 9 per condition; P < 0.05). |
|
|
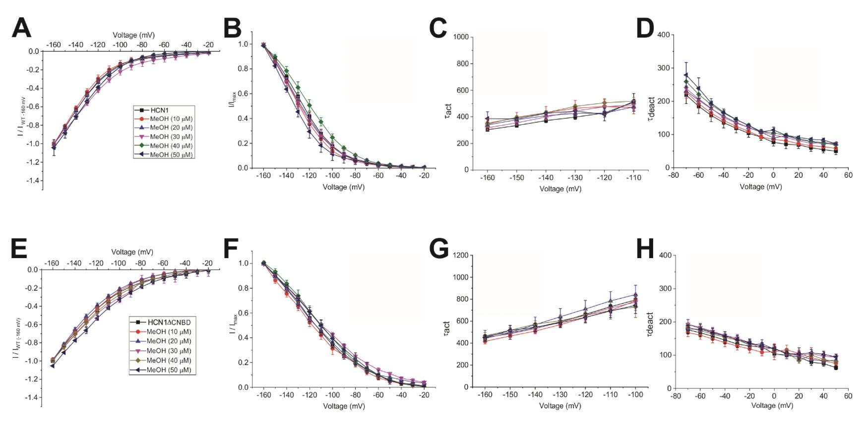
Supplementary Figure 1. Regulation of full-length HCN1 and HCN1-ïCNBD by methanol (MeOH). (A) Current-voltage (I/V) relationship of full-length HCN1 in presence of MeOH normalized to maximal current (IWT (-160 mV)). MeOH quantities used were equivalent to the amounts used as a vehicle during the addition of the concentration of cannabinoids shown in brackets (4 < n < 10 per condition; 0.45 < P < 0.87 Gmax (slope between -120mV and -160mV)). (B) Steady-state activation of full-length HCN1 in presence of MeOH. (P = 0.14 for V1/2). (C) Activation time constant (ï´) kinetics of full-length HCN1 in presence of MeOH. (0.12 < P < 0.87). (D) Deactivation time constant (ï´) kinetics of full-length HCN1 in presence of MeOH. (n = 3-4 per condition; 0.23 < P < 0.83). (E) Current-voltage (I/V) relationship of HCN1-ïCNBD in presence of MeOH normalized to maximal current (IWT (-160 mV)). (4 < n < 11 per condition; 0.16 < P < 0.93) (F) Steady-state activation of HCN1-ïCNBD in presence of MeOH. (P = 0.89 for V1/2) (G) Activation time constant (ï´) kinetics for of HCN1-ïCNBD in presence of MeOH. (H) Deactivation time constant (ï´) kinetics of HCN1-ïCNBD in presence of MeOH. (4 < n < 6 per condition; 0.23 < P < 0.63) |
|
|
Supplementary Figure 2. Regulation of HCN1-ïCNBD by cannabidiol (CBD) and ï9-tetrahydrocannabidiol (THC). (A) Current-voltage (I/V) relationship in presence of CBD normalized to maximal current (IWT (-160 mV)) (4 < n < 13 per condition; P < 0.05 for 20 - 50 ïM). (B) Steady state activation in presence of CBD (P = 0.63 for V1/2). (C) Activation time constant (ï´) kinetics in presence of CBD (0.11 < P < 0.46) (D) Deactivation time constant (ï´) kinetics in presence of CBD (4 < n < 10 per condition; P < 0.05 for 20-50 ïM). (E) Current-voltage (I/V) relationship in presence of THC normalized to maximal current (IWT (-160 mV)) (4 < n < 12 per condition; P < 0.05 for 10 - 50 ïM). (F) Steady state activation in presence of THC. (P = 0.34 for V1/2). (G) Activation time constant (ï´) kinetics in presence of THC (0.12 < P < 0.46). (H) Deactivation time constant (ï´) kinetics in presence of THC (4 < n < 11 per condition; 0.23 < P < 0.84). |
|
|
Supplementary Figure 3. Activation of TRPV1 by CBD. (A) Representative traces from a paired experiment following the addition of increasing concentrations of CBD to oocytes expressing full-length rTRPV1. Membrane voltage was stepped from a holding potential of 0 mV to â80 to 170 mV. 10 ïM Capsaicin was added at the end of each experiment. (B) Normalized current voltage relationship (I/I(Control +170 mV)) after addition of increasing concentrations of CBD shown (n=8; P < 0.05 for Gmax (slope between +120 and +170 mV) of 20 CBD, 30 ïM CBD and Cap vs. Control). |
|
|
Figure 1. Cannabinoid regulation of Ih in neurons. The synthetic cannabinoid WIN55,212-2 affects memory via increasing Ih by activating CB1 receptors, leading to JNK-mediated increases in activated nitric oxide synthase (NOS), resulting in increased guanylyl cyclase activity and, in turn, cGMP (Hill et al., 2012). However, cannabinoids have also been shown to modify the function of several ion channels independently of cannabinoid receptors (CBRs) activation. Here, we ask if hyperpolarization-activated cyclic-nucleotide-gated (HCN1) channels can be directly modulated by cannabidiol (CBD) and Δ9-tetrahydrocannabinol (THC) (Maroso et al., 2016). |
|
|
Figure 2. Concentration-dependent regulation of HCN1 current by THC and CBD. (A) Steady-state current values from a representative cell following repetitive pulses to −130 mV from VH = 0 mV with the addition of 0, 10, 20, 30, and 50 μM CBD. (B) Concentration dependence of HCN1 activation by CBD (■) at −130 mV (n = 13). This activation of HCN1 persists in the presence of the CB1R antagonist 10 μM AM-251 (°) (n = 5). A total of 50% Max response (EC50) for CBD is elicited at 28.5 μM, with a 91% maximal increase in current. (C) CBD has no effects on uninjected oocytes, indicating that we are not observing effects on background currents. (D) CBD activated currents can be fully inhibited by 500 μM ZD7288. This indicates that CBD is only activating HCN1 currents, and not activating a background current in oocytes. (E) Steady-state currents from a representative cell following repetitive pulses to −130 mV in 0, 10, 25, and 50 μM THC. (F) Steady-state currents from a representative cell following repetitive pulses to −130 mV in the presence of the quantity of methanol used as a vehicle for 0, 10, 25, and 50 μM CBD/THC. (G) Concentration dependence of HCN1 inhibition by THC (■) or methanol (□) at −130 mV (n = 5). THC induces a 63% maximal block of HCN1 currents, with a half-maximal response (Relative IC50) of 21.8 μM. 50% block of total current (Absolute IC50) occurs at 28.9 μM. Methanol induces < a 5% decrease in current at concentrations above 20 μM (n = 4). |
|
|
Figure 3. Regulation of HCN1 by cannabidiol (CBD) and Δ9-tetrahydrocannabidiol (THC). (A) Representative traces from a paired experiment following the addition of increasing concentrations of CBD to oocytes expressing full-length HCN1. (B) Current–voltage (I/V) relationship in presence of CBD normalized to maximal current (IWT(−160mV)) (5 < n <18 per condition; P < 0.05 for 30–50 μM). (C) Steady state activation in presence of CBD (P = 0.81 for V1/2). (D) Activation time constant (τ) kinetics in presence of CBD (0.21 < P < 0.71). (E) Deactivation time constant (τ) kinetics in presence of CBD (3 < n <7 per condition; 0.09 < P <0.65). (F) Representative traces from a paired experiment following the addition of increasing concentrations of THC to oocytes expressing full-length HCN1. (G) (I/V) relationship in presence of THC normalized to maximal current (IWT(−160mV)) (4 < n <8 per condition; P <0.05 for Gmax (slope between −120 and −160 mV) of 20–50 μM). (H) Steady-state activation in presence of THC (P = 0.49 for V1/2). (I) Activation time constant (τ) kinetics in presence of THC (0.21 < P < 0.90). (J) Deactivation time constant (τ) kinetics in presence of THC (3 < n < 8 per condition; 0.11 < P < 0.45). |
|
|
Figure 4. Effects of CBD and THC on HCN1 hysteresis. (A) Ramps from 0 to −150 mV and back to 0 mV at speeds of 600, 300, 150, 75, and 37.5 mV/s. The degree of hysteresis was quantified by the area between the forward and backward current traces when plotted vs. the membrane voltage. (B) Histogram of HCN1 hysteresis for HCN1 treated with different concentrations of methanol used as vehicles for the cannabinoids at concentrations listed in parentheses. Hysteresis is unaffected by increasing concentrations of methanol. (C–E) THC reduces the degree of hysteresis at fast ramp speeds, with a greater range of ramp speeds affected as THC concentration increases. CBD did not affect HCN1 hysteresis (3 < n <10 for each condition; *P <0.05). |
|
|
Figure 5. Effects of CBD and THC on HCN1 do not require the CNBD. (A) Current-voltage (I/V) relationship of HCN1ΔCNBD in the presence of increasing concentrations of CBD normalized to maximal current (IWT(−160mV)) (4 < n < 13 per condition; P < 0.05 for 20–50 μM). (B) Deactivation time constant (τ) kinetics of HCN1ΔCNBD following treatment with CBD (4 < n <10 per condition; P < 0.05 for 20–50 μM). (C) Current-voltage (I/V) relationship of HCN1ΔCNBD in the presence of increasing concentrations of THC normalized to maximal current (IWT(−160mV)) (4 < n <12 per condition; P < 0.05 for 10–50 μM). (D,E) THC reduces the degree of HCN1ΔCNBD hysteresis at fast ramp speeds, with a greater range of ramp speeds affected as THC concentration increases. CBD did not affect HCN1ΔCNBD hysteresis (3 < n <10 for each condition; *P < 0.05). |
|
|
Figure 6. Changes in membrane fluidity do not account for cannabinoid regulation of HCN1. Membrane fluidity was altered by the addition of Triton X-100 (TX-100) to the bath solution. (A) Representative time course of the steady-state current following the application of TX-100 at different concentrations, indicating that increasing membrane fluidity decreases HCN1 channel activity. However, this decrease in HCN1 current occurs more rapidly (within 1–2 min) than the decline observed with THC (which occurs over the course of 10–30 min). (B) Current-voltage relationship of HCN1 upon the addition of 0, 15, 25, 30, and 45 μM TX-100 normalized to maximal current (IWT(−160mV)). (C) TX-100 induces a −10 to −15 mV hyperpolarizing shift in the steady-state voltage-dependence of HCN1, which does not occur when THC or CBD is applied. (D) HCN1 activation kinetics are uniquely affected by TX-100, with membrane fluidity having a greater impact on slowing channel activation with more hyperpolarization of the membrane potential (3 < n <9 per condition; P < 0.05). |
References [+] :
Abdulla,
Axotomy- and autotomy-induced changes in Ca2+ and K+ channel currents of rat dorsal root ganglion neurons.
2001, Pubmed
Abdulla, Axotomy- and autotomy-induced changes in Ca2+ and K+ channel currents of rat dorsal root ganglion neurons. 2001, Pubmed
Ahrens, The nonpsychotropic cannabinoid cannabidiol modulates and directly activates alpha-1 and alpha-1-Beta glycine receptor function. 2009, Pubmed
Arnsten, Prefrontal cortical network connections: key site of vulnerability in stress and schizophrenia. 2011, Pubmed
Balducci, The HCN channel as a pharmacological target: Why, where, and how to block it. 2021, Pubmed
Beiersdorf, Adverse effects of Δ9-tetrahydrocannabinol on neuronal bioenergetics during postnatal development. 2020, Pubmed
Bruening-Wright, Slow conformational changes of the voltage sensor during the mode shift in hyperpolarization-activated cyclic-nucleotide-gated channels. 2007, Pubmed , Xenbase
Caires, Omega-3 Fatty Acids Modulate TRPV4 Function through Plasma Membrane Remodeling. 2017, Pubmed
Cardenas, Serotonergic modulation of hyperpolarization-activated current in acutely isolated rat dorsal root ganglion neurons. 1999, Pubmed
Casey, Cannabis constituent synergy in a mouse neuropathic pain model. 2017, Pubmed
Castle, Aminopyridine block of Kv1.1 potassium channels expressed in mammalian cells and Xenopus oocytes. 1994, Pubmed , Xenbase
Chaplan, Neuronal hyperpolarization-activated pacemaker channels drive neuropathic pain. 2003, Pubmed
Costa, The non-psychoactive cannabis constituent cannabidiol is an orally effective therapeutic agent in rat chronic inflammatory and neuropathic pain. 2007, Pubmed
Cunha, Chronic administration of cannabidiol to healthy volunteers and epileptic patients. 1980, Pubmed
Deiana, Plasma and brain pharmacokinetic profile of cannabidiol (CBD), cannabidivarine (CBDV), Δ⁹-tetrahydrocannabivarin (THCV) and cannabigerol (CBG) in rats and mice following oral and intraperitoneal administration and CBD action on obsessive-compulsive behaviour. 2012, Pubmed
De Petrocellis, Effects of cannabinoids and cannabinoid-enriched Cannabis extracts on TRP channels and endocannabinoid metabolic enzymes. 2011, Pubmed
De Petrocellis, Cannabinoid actions at TRPV channels: effects on TRPV3 and TRPV4 and their potential relevance to gastrointestinal inflammation. 2012, Pubmed
Descoeur, Oxaliplatin-induced cold hypersensitivity is due to remodelling of ion channel expression in nociceptors. 2011, Pubmed
Devinsky, Cannabidiol: pharmacology and potential therapeutic role in epilepsy and other neuropsychiatric disorders. 2014, Pubmed
Dibbens, Augmented currents of an HCN2 variant in patients with febrile seizure syndromes. 2010, Pubmed , Xenbase
DiFrancesco, Recessive loss-of-function mutation in the pacemaker HCN2 channel causing increased neuronal excitability in a patient with idiopathic generalized epilepsy. 2011, Pubmed
Dini, Selective Blockade of HCN1/HCN2 Channels as a Potential Pharmacological Strategy Against Pain. 2018, Pubmed
Elinder, Mode shifts in the voltage gating of the mouse and human HCN2 and HCN4 channels. 2006, Pubmed , Xenbase
Emery, HCN2 ion channels play a central role in inflammatory and neuropathic pain. 2011, Pubmed
Finn, Cannabinoids, the endocannabinoid system, and pain: a review of preclinical studies. 2021, Pubmed
Fürst, Isoform dependent regulation of human HCN channels by cholesterol. 2015, Pubmed
Gamo, Stress Impairs Prefrontal Cortical Function via D1 Dopamine Receptor Interactions With Hyperpolarization-Activated Cyclic Nucleotide-Gated Channels. 2015, Pubmed
Ghovanloo, Cannabidiol inhibits the skeletal muscle Nav1.4 by blocking its pore and by altering membrane elasticity. 2021, Pubmed
Ghovanloo, Inhibitory effects of cannabidiol on voltage-dependent sodium currents. 2018, Pubmed
Hamplová, Phospholipid composition of myocardium in children with normoxemic and hypoxemic congenital heart diseases. 2004, Pubmed
Hejazi, Delta9-tetrahydrocannabinol and endogenous cannabinoid anandamide directly potentiate the function of glycine receptors. 2006, Pubmed , Xenbase
Hermansson, Automated quantitative analysis of complex lipidomes by liquid chromatography/mass spectrometry. 2005, Pubmed
Hill, Phytocannabinoids as novel therapeutic agents in CNS disorders. 2012, Pubmed
Hill, Isolation and characterization of the Xenopus oocyte plasma membrane: a new method for studying activity of water and solute transporters. 2005, Pubmed , Xenbase
Hillard, Effects of the cannabinoids on physical properties of brain membranes and phospholipid vesicles: fluorescence studies. 1985, Pubmed
Huang, Loss of dendritic HCN1 subunits enhances cortical excitability and epileptogenesis. 2009, Pubmed
Iannotti, Nonpsychotropic plant cannabinoids, cannabidivarin (CBDV) and cannabidiol (CBD), activate and desensitize transient receptor potential vanilloid 1 (TRPV1) channels in vitro: potential for the treatment of neuronal hyperexcitability. 2014, Pubmed
Ingólfsson, Gramicidin-based fluorescence assay; for determining small molecules potential for modifying lipid bilayer properties. 2010, Pubmed
Jones, Cannabidiol displays antiepileptiform and antiseizure properties in vitro and in vivo. 2010, Pubmed
Karimi, Xenbase: a genomic, epigenomic and transcriptomic model organism database. 2018, Pubmed , Xenbase
Kisselbach, Modulation of K2P 2.1 and K2P 10.1 K(+) channel sensitivity to carvedilol by alternative mRNA translation initiation. 2014, Pubmed , Xenbase
Ludwig, Absence epilepsy and sinus dysrhythmia in mice lacking the pacemaker channel HCN2. 2003, Pubmed
Ludwig, A family of hyperpolarization-activated mammalian cation channels. 1998, Pubmed
Lynch, Cannabinoids for treatment of chronic non-cancer pain; a systematic review of randomized trials. 2011, Pubmed
Madeja, Follicular tissues reduce drug effects on ion channels in oocytes of Xenopus laevis. 1997, Pubmed , Xenbase
Mahgoub, Effects of cannabidiol on the function of α7-nicotinic acetylcholine receptors. 2013, Pubmed , Xenbase
Männikkö, Hysteresis in the voltage dependence of HCN channels: conversion between two modes affects pacemaker properties. 2005, Pubmed , Xenbase
Maroon, Review of the neurological benefits of phytocannabinoids. 2018, Pubmed
Maroso, Cannabinoid Control of Learning and Memory through HCN Channels. 2016, Pubmed
Masuda, Characterization of hyperpolarization-activated current (Ih) in dorsal root ganglion neurons innervating rat urinary bladder. 2006, Pubmed
Momin, Role of the hyperpolarization-activated current Ih in somatosensory neurons. 2008, Pubmed
Moosmang, Cellular expression and functional characterization of four hyperpolarization-activated pacemaker channels in cardiac and neuronal tissues. 2001, Pubmed
Nakamura, Novel HCN2 mutation contributes to febrile seizures by shifting the channel's kinetics in a temperature-dependent manner. 2013, Pubmed
National Academies of Sciences, Engineering, and Medicine, 2017, Pubmed
Nava, De novo mutations in HCN1 cause early infantile epileptic encephalopathy. 2014, Pubmed
Nolan, The hyperpolarization-activated HCN1 channel is important for motor learning and neuronal integration by cerebellar Purkinje cells. 2003, Pubmed
Nolan, A behavioral role for dendritic integration: HCN1 channels constrain spatial memory and plasticity at inputs to distal dendrites of CA1 pyramidal neurons. 2004, Pubmed
Nurmikko, Sativex successfully treats neuropathic pain characterised by allodynia: a randomised, double-blind, placebo-controlled clinical trial. 2007, Pubmed
Okada, Biophysical properties of voltage-gated Na+ channels in frog parathyroid cells and their modulation by cannabinoids. 2005, Pubmed
Onoda, Phase II trial of amrubicin for treatment of refractory or relapsed small-cell lung cancer: Thoracic Oncology Research Group Study 0301. 2006, Pubmed
Orvos, The electrophysiological effect of cannabidiol on hERG current and in guinea-pig and rabbit cardiac preparations. 2020, Pubmed
Pape, Queer current and pacemaker: the hyperpolarization-activated cation current in neurons. 1996, Pubmed
Paspalas, Constellation of HCN channels and cAMP regulating proteins in dendritic spines of the primate prefrontal cortex: potential substrate for working memory deficits in schizophrenia. 2013, Pubmed
Peng, Increased basal synaptic inhibition of hippocampal area CA1 pyramidal neurons by an antiepileptic drug that enhances I(H). 2010, Pubmed
Pike, Epidermal growth factor receptors are localized to lipid rafts that contain a balance of inner and outer leaflet lipids: a shotgun lipidomics study. 2005, Pubmed
Poling, Anandamide, an endogenous cannabinoid, inhibits Shaker-related voltage-gated K+ channels. 1996, Pubmed
Post, Organization and function of sarcolemmal phospholipids in control and ischemic/reperfused cardiomyocytes. 1995, Pubmed
Pumroy, Molecular mechanism of TRPV2 channel modulation by cannabidiol. 2019, Pubmed
Ross, Inhibition of recombinant human T-type calcium channels by Delta9-tetrahydrocannabinol and cannabidiol. 2008, Pubmed
Russo, Cannabis Therapeutics and the Future of Neurology. 2018, Pubmed
Sait, Cannabidiol interactions with voltage-gated sodium channels. 2020, Pubmed
Santoro, TRIP8b regulates HCN1 channel trafficking and gating through two distinct C-terminal interaction sites. 2011, Pubmed
Santoro, Identification of a gene encoding a hyperpolarization-activated pacemaker channel of brain. 1998, Pubmed , Xenbase
Santoro, Interactive cloning with the SH3 domain of N-src identifies a new brain specific ion channel protein, with homology to eag and cyclic nucleotide-gated channels. 1997, Pubmed
Scroggs, Variation in IH, IIR, and ILEAK between acutely isolated adult rat dorsal root ganglion neurons of different size. 1994, Pubmed
Soliman, Systematic review and meta-analysis of cannabinoids, cannabis-based medicines, and endocannabinoid system modulators tested for antinociceptive effects in animal models of injury-related or pathological persistent pain. 2021, Pubmed
Stith, Quantification of major classes of Xenopus phospholipids by high performance liquid chromatography with evaporative light scattering detection. 2000, Pubmed , Xenbase
Tang, Mutation analysis of the hyperpolarization-activated cyclic nucleotide-gated channels HCN1 and HCN2 in idiopathic generalized epilepsy. 2008, Pubmed , Xenbase
Tibbs, HCN1 channels as targets for anesthetic and nonanesthetic propofol analogs in the amelioration of mechanical and thermal hyperalgesia in a mouse model of neuropathic pain. 2013, Pubmed , Xenbase
Tibbs, Voltage-Gated Ion Channels in the PNS: Novel Therapies for Neuropathic Pain? 2016, Pubmed
Tu, Hyperpolarization-activated, cyclic nucleotide-gated cation channels: roles in the differential electrophysiological properties of rat primary afferent neurons. 2004, Pubmed
Turcotte, Examining the roles of cannabinoids in pain and other therapeutic indications: a review. 2010, Pubmed
Villière, Electrophysiological properties of neurons in intact rat dorsal root ganglia classified by conduction velocity and action potential duration. 1996, Pubmed
Xiao, Hysteresis in human HCN4 channels: a crucial feature potentially affecting sinoatrial node pacemaking. 2010, Pubmed
Xiong, Cannabinoids suppress inflammatory and neuropathic pain by targeting α3 glycine receptors. 2012, Pubmed
Yagi, Inhibition of a hyperpolarization-activated current by clonidine in rat dorsal root ganglion neurons. 1998, Pubmed
Yan, Intradermal injection of capsaicin induces acute substance P release from rat spinal cord dorsal horn. 2006, Pubmed
Yao, Upregulation of the hyperpolarization-activated cation current after chronic compression of the dorsal root ganglion. 2003, Pubmed
Yi, Autism-associated SHANK3 haploinsufficiency causes Ih channelopathy in human neurons. 2016, Pubmed
Yoshida, Phospholipid Membrane Fluidity Alters Ligand Binding Activity of a G Protein-Coupled Receptor by Shifting the Conformational Equilibrium. 2019, Pubmed
