Click here to close Hello! We notice that you are using Internet Explorer, which is not supported by Xenbase and may cause the site to display incorrectly. We suggest using a current version of Chrome, FireFox, or Safari.
XB-ART-58687
Biomolecules 2021 Nov 17;1111:. doi: 10.3390/biom11111710.
Show Gene links Show Anatomy links

Engineering of Saccharomyces cerevisiae for 24-Methylene-Cholesterol Production.

Yang J, Li C, Zhang Y.


???displayArticle.abstract???
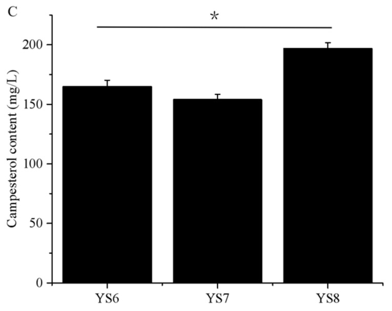
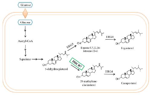
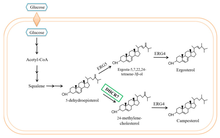
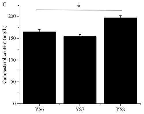
24-Methylene-cholesterol is a necessary substrate for the biosynthesis of physalin and withanolide, which show promising anticancer activities. It is difficult and costly to prepare 24-methylene-cholesterol via total chemical synthesis. In this study, we engineered the biosynthesis of 24-methylene-cholesterol in Saccharomyces cerevisiae by disrupting the two enzymes (i.e., ERG4 and ERG5) in the yeast's native ergosterol pathway, with ERG5 being replaced with the DHCR7 (7-dehydrocholesterol reductase) enzyme. Three versions of DHCR7 originating from different organisms-including the DHCR7 from Physalis angulata (PhDHCR7) newly discovered in this study, as well as the previously reported OsDHCR7 from Oryza sativa and XlDHCR7 from Xenopus laevis-were assessed for their ability to produce 24-methylene-cholesterol. XlDHCR7 showed the best performance, producing 178 mg/L of 24-methylene-cholesterol via flask-shake cultivation. The yield could be increased up to 225 mg/L, when one additional copy of the XlDHCR7 expression cassette was integrated into the yeast genome. The 24-methylene-cholesterol-producing strain obtained in this study could serve as a platform for characterizing the downstream enzymes involved in the biosynthesis of physalin or withanolide, given that 24-methylene-cholesterol is a common precursor of these chemicals.

???displayArticle.pubmedLink??? 34827708
???displayArticle.pmcLink??? PMC8615579
???displayArticle.link??? Biomolecules


Species referenced: Xenopus laevis
Genes referenced: dhcr7


???attribute.lit??? ???displayArticles.show???
References [+] :
BARBIER, Isolation of 24-methylene-cholesterol from honey bees (Apis mellifica L. 1959, Pubmed