Click here to close
Hello! We notice that you are using Internet Explorer, which is not supported by Xenbase and may cause the site to display incorrectly.
We suggest using a current version of Chrome,
FireFox, or Safari.
Genes Environ
2021 Nov 06;431:49. doi: 10.1186/s41021-021-00223-0.
Show Gene links
Show Anatomy links
Comprehensive analysis of differences of N6-methyladenosine of lncRNAs between atrazine-induced and normal Xenopus laevis testis.
Qi X, Geng X, Zhang J, Qu B, Zhang X, Jia Q, Yin W, Bo C, Liu Y, Li H, Sai L, Han M, Peng C.
???displayArticle.abstract???
BACKGROUND: Increasing evidence suggested N6-methyladenosine (m6A) modification is crucial for male germline development. However, m6A modification of lncRNAs gains a little attention in amphibians in recent years. Xenopus laevis (X. laevis) was chosen to be an ideal model organism for testing environmental endocrine disrupting chemicals (EDCs) exposure and resultant effects. Atrazine (AZ) as an endocrine disrupt can effect development of testis in amphibians. Our previous study revealed that m6A is a highly conserved modification across the species.
RESULTS: The results of m6A sequences showed that m6A-methylated lncRNAs enriched in intergenic region in testes of X. laevis. We further examined the differential expression of lncRNAs m6A sites in testes of AZ-exposed and compared with that in animals from control group. The results indicated that up to 198 differentially methylated m6A sites were detected within 188 lncRNAs, in which 89 significantly up-methylated sites and 109 significantly down-methylated sites. Data from KEGG pathway analysis indicated that AZ-affected lncRNAs m6A sites were mainly involved in 10 pathways in which 3 mutual pathways were found in the result of differentially m6A-methylated mRNAs.
CONCLUSIONS: These findings suggested that differentially m6A-methylated lncRNAs and these 3 pathways may act on regulatory roles in abnormal testis development of AZ-exposed X. laevis. This study for the first time provides insights into the profile of lncRNAs m6A modifications in amphibian species.
???displayArticle.pubmedLink???
34742356 ???displayArticle.pmcLink???PMC8572474 ???displayArticle.link???Genes Environ ???displayArticle.grants???[+]
202012010629 health commission of shandong province, 202019162 ji'nan science and technology bureau, 81573198 national natural science foundation of china, 30901214 national natural science foundation of china, 2019QL001 the innovation project of shandong academy of medical sciences, academic promotion programme of shandong first medical university, 2018ZX09711001-011 ministry of science and technology of prc
Fig. 1. Venn diagram showing the overlap of m6A peaks within lncRNAs in AZ-exposed and control groups
Fig. 2. Overview the distribution positions of m6A-methylated lncRNAs in the testes of X. laevis from control and AZ-exposed groups. a: Pie charts showing the percentage of the distribution positions of m6A-methylated lncRNAs relatived to its mRNA in control group. b: Pie charts showing the percentage of the distribution positions of m6A-methylated lncRNAs in AZ-exposed group. c: Distributions of mean fold enrichment of m6A-methylated lncRNAs in six segments in control group. d: Distributions of mean fold enrichment of m6A-methylated lncRNAs in six segments in AZ-exposed group. Error bars represent the standard error of the mean. The mean fold enrichment in the intergenic segments was the largest both in the control and AZ-exposed group with lower standard error of the mean
Fig. 3. Distribution of differentially methylated m6A sites of lncRNAs. a: Pie charts showing the percentage of up-methylated m6A peaks in six segments. b: Pie charts showing the percentage of down-methylated m6A peaks in six segments. c: Statistics of meanof the distribution positions of m6A-methylated lncRNAs in six segments with up- and down-methylated sites. Error bars represent the standard error of the mean
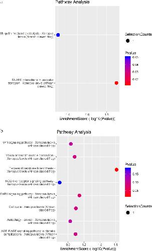
Fig. 4. The annotated significant pathways targeted by the enrichment score of the differentially m6A-methylated (up-methylated (a) and down-methylated (b)) lncRNAs-related genes in testis of X. laevis exposed to 100 μg/L AZ. The horizontal axis is the -LogP (logarithm of P-value) for the pathway and the vertical axis is the pathway category
Auer,
Statistical design and analysis of RNA sequencing data.
2010, Pubmed
Auer,
Statistical design and analysis of RNA sequencing data.
2010,
Pubmed Ban,
LNCAROD is stabilized by m6A methylation and promotes cancer progression via forming a ternary complex with HSPA1A and YBX1 in head and neck squamous cell carcinoma.
2020,
Pubmed Bassham,
SNAREs: cogs and coordinators in signaling and development.
2008,
Pubmed Bedford,
Ubiquitin-like protein conjugation and the ubiquitin-proteasome system as drug targets.
2011,
Pubmed Bhan,
Long noncoding RNAs: emerging stars in gene regulation, epigenetics and human disease.
2014,
Pubmed Brahmaraju,
Spatio-temporal organization of Vam6P and SNAP on mouse spermatozoa and their involvement in sperm-zona pellucida interactions.
2004,
Pubmed Cai,
RNA N6-methyladenosine modification, spermatogenesis, and human male infertility.
2021,
Pubmed Campanoni,
Membrane trafficking and polar growth in root hairs and pollen tubes.
2007,
Pubmed Coker,
m6A modification of non-coding RNA and the control of mammalian gene expression.
2019,
Pubmed Daste,
Structure and function of longin SNAREs.
2015,
Pubmed de la Casa-Resino,
Endocrine disruption caused by oral administration of atrazine in European quail (Coturnix coturnix coturnix).
2012,
Pubmed Deng,
Widespread occurrence of N6-methyladenosine in bacterial mRNA.
2015,
Pubmed Dominissini,
Transcriptome-Wide Mapping of N⁶-Methyladenosine by m⁶A-Seq.
2015,
Pubmed Engel,
The Role of m6A/m-RNA Methylation in Stress Response Regulation.
2018,
Pubmed Esteller,
Non-coding RNAs in human disease.
2011,
Pubmed Fagerstone,
Review of issues concerning the use of reproductive inhibitors, with particular emphasis on resolving human-wildlife conflicts in North America.
2010,
Pubmed Freiman,
Regulating the regulators: lysine modifications make their mark.
2003,
Pubmed Halvorson,
PACAP modulates GnRH signaling in gonadotropes.
2014,
Pubmed Hanson,
Effects of atrazine on fish, amphibians, and reptiles: update of the analysis based on quantitative weight of evidence.
2019,
Pubmed Hayes,
Atrazine induces complete feminization and chemical castration in male African clawed frogs (Xenopus laevis).
2010,
Pubmed
,
Xenbase He,
ALKBH5 Inhibits Pancreatic Cancer Motility by Decreasing Long Non-Coding RNA KCNK15-AS1 Methylation.
2018,
Pubmed Huang,
m6A RNA methylation regulators could contribute to the occurrence of chronic obstructive pulmonary disease.
2020,
Pubmed Joshi,
Long non-coding RNAs (lncRNAs) in spermatogenesis and male infertility.
2020,
Pubmed Kasowitz,
Nuclear m6A reader YTHDC1 regulates alternative polyadenylation and splicing during mouse oocyte development.
2018,
Pubmed Kerscher,
Modification of proteins by ubiquitin and ubiquitin-like proteins.
2006,
Pubmed Kim,
HISAT: a fast spliced aligner with low memory requirements.
2015,
Pubmed Kong,
Degradation of atrazine by UV/chlorine: Efficiency, influencing factors, and products.
2016,
Pubmed Kornienko,
Gene regulation by the act of long non-coding RNA transcription.
2013,
Pubmed Lan,
KIAA1429 contributes to liver cancer progression through N6-methyladenosine-dependent post-transcriptional modification of GATA3.
2019,
Pubmed Langmead,
Fast gapped-read alignment with Bowtie 2.
2012,
Pubmed Li,
m6A mRNA methylation controls T cell homeostasis by targeting the IL-7/STAT5/SOCS pathways.
2017,
Pubmed Lin,
Mettl3-/Mettl14-mediated mRNA N6-methyladenosine modulates murine spermatogenesis.
2017,
Pubmed Linder,
Single-nucleotide-resolution mapping of m6A and m6Am throughout the transcriptome.
2015,
Pubmed Liu,
RETRACTED: Long non-coding RNA TTN-AS1 promotes tumorigenesis of ovarian cancer through modulating the miR-139-5p/ROCK2 axis.
2020,
Pubmed Liu,
m6A-induced lncRNA MALAT1 aggravates renal fibrogenesis in obstructive nephropathy through the miR-145/FAK pathway.
2020,
Pubmed Liu,
LITHOPHONE: Improving lncRNA Methylation Site Prediction Using an Ensemble Predictor.
2020,
Pubmed McDowell,
Ubiquitin-mediated proteolysis in Xenopus extract.
2016,
Pubmed
,
Xenbase Meyer,
Rethinking m6A Readers, Writers, and Erasers.
2017,
Pubmed Meyer,
5' UTR m(6)A Promotes Cap-Independent Translation.
2015,
Pubmed Meyer,
Comprehensive analysis of mRNA methylation reveals enrichment in 3' UTRs and near stop codons.
2012,
Pubmed Moran,
Emerging functional and mechanistic paradigms of mammalian long non-coding RNAs.
2012,
Pubmed Moreno,
Vesicular traffic and golgi apparatus dynamics during mammalian spermatogenesis: implications for acrosome architecture.
2000,
Pubmed Nagarajan,
Dot Blot Analysis for Measuring Global N6-Methyladenosine Modification of RNA.
2019,
Pubmed Niu,
N6-methyl-adenosine (m6A) in RNA: an old modification with a novel epigenetic function.
2013,
Pubmed Ojeda,
Puberty in 2013: Unravelling the mystery of puberty.
2014,
Pubmed Orton,
Effects of nitrate and atrazine on larval development and sexual differentiation in the northern leopard frog Rana pipiens.
2006,
Pubmed Ramalho-Santos,
Membrane trafficking machinery components associated with the mammalian acrosome during spermiogenesis.
2001,
Pubmed Rohr,
A qualitative meta-analysis reveals consistent effects of atrazine on freshwater fish and amphibians.
2010,
Pubmed Sai,
Analysis of long non-coding RNA involved in atrazine-induced testicular degeneration of Xenopus laevis.
2019,
Pubmed
,
Xenbase Sai,
Distinct m6A methylome profiles in poly(A) RNA from Xenopus laevis testis and that treated with atrazine.
2020,
Pubmed
,
Xenbase Sai,
Gene expression profiles in testis of developing male Xenopus laevis damaged by chronic exposure of atrazine.
2016,
Pubmed
,
Xenbase Solomon,
Ecological risk assessment of atrazine in North American surface waters.
2013,
Pubmed Storrs,
Survivorship patterns of larval amphibians exposed to low concentrations of atrazine.
2004,
Pubmed Sutovsky,
Ubiquitin-dependent proteolysis in mammalian spermatogenesis, fertilization, and sperm quality control: killing three birds with one stone.
2003,
Pubmed Suzuki,
Differential distribution of orexin-A-like and orexin receptor 1 (OX1R)-like immunoreactivities in the Xenopus pituitary.
2007,
Pubmed
,
Xenbase Swatek,
Ubiquitin modifications.
2016,
Pubmed Tavera-Mendoza,
Response of the amphibian tadpole (Xenopus laevis) to atrazine during sexual differentiation of the testis.
2002,
Pubmed
,
Xenbase Tu,
N6-Methylandenosine-Related lncRNAs Are Potential Biomarkers for Predicting the Overall Survival of Lower-Grade Glioma Patients.
2020,
Pubmed Wang,
Bioinformatics analysis integrating metabolomics of m6A RNA microarray in intervertebral disc degeneration.
2020,
Pubmed Wang,
Molecular mechanisms of long noncoding RNAs.
2011,
Pubmed Wu,
m6A-induced lncRNA RP11 triggers the dissemination of colorectal cancer cells via upregulation of Zeb1.
2019,
Pubmed Xiao,
The RNA N6-methyladenosine modification landscape of human fetal tissues.
2019,
Pubmed Xiao,
Nuclear m(6)A Reader YTHDC1 Regulates mRNA Splicing.
2016,
Pubmed Yang,
N6-Methyladenosine modification of lincRNA 1281 is critically required for mESC differentiation potential.
2018,
Pubmed Yu,
Dynamic m6A modification regulates local translation of mRNA in axons.
2018,
Pubmed Zhang,
m6A modulates haematopoietic stem and progenitor cell specification.
2017,
Pubmed Zhao,
Increased m6A RNA modification is related to the inhibition of the Nrf2-mediated antioxidant response in di-(2-ethylhexyl) phthalate-induced prepubertal testicular injury.
2020,
Pubmed Zhu,
Function and evolution of RNA N6-methyladenosine modification.
2020,
Pubmed