Click here to close
Hello! We notice that you are using Internet Explorer, which is not supported by Xenbase and may cause the site to display incorrectly.
We suggest using a current version of Chrome,
FireFox, or Safari.
ChemMedChem
2021 Oct 15;1620:3201-3209. doi: 10.1002/cmdc.202100400.
Show Gene links
Show Anatomy links
[2.2]Paracyclophane-Based TCN-201 Analogs as GluN2A-Selective NMDA Receptor Antagonists.
Rajan R, Schepmann D, Steigerwald R, Schreiber JA, El-Awaad E, Jose J, Seebohm G, Wünsch B.
???displayArticle.abstract???
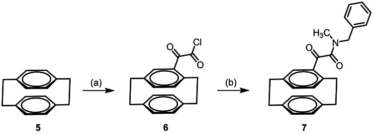
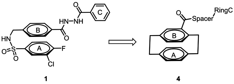
Recent studies have shown the involvement of GluN2A subunit-containing NMDA receptors in various neurological and pathological disorders. In the X-ray crystal structure, TCN-201 (1) and analogous pyrazine derivatives 2 and 3 adopt a U-shape (hairpin) conformation within the binding site formed by the ligand binding domains of the GluN1 and GluN2A subunits. In order to mimic the resulting π/π-interactions of two aromatic rings in the binding site, a [2.2]paracyclophane system was designed to lock these aromatic rings in a parallel orientation. Acylation of [2.2]paracyclophane (5) with oxalyl chloride and chloroacetyl chloride and subsequent transformations led to the oxalamide 7, triazole 10 and benzamides 12. The GluN2A inhibitory activities of the paracyclophane derivatives were tested with two-electrode voltage clamp electrophysiology using Xenopus laevis oocytes expressing selectively functional NMDA receptors with GluN2A subunit. The o-iodobenzamide 12 b with the highest similarity to TCN-201 showed the highest GuN2A inhibitory activity of this series of compounds. At a concentration of 10 μM, 12 b reached 36 % of the inhibitory activity of TCN-201 (1). This result indicates that the [2.2]paracyclophane system is well accepted by the TCN-201 binding site.
Figure 3. Normalized inhibition (Inorm
) of test compounds with paracyclophane scaffold. The reduced ion flux across the oocyte membrane was measured at a concentration of 10 μM of the test compounds after activation with 10 μM (S)‐glutamate and 10 μM glycine. The inhibition obtained by TCN‐201 (1, 10 μM) was set to 100 % and the inhibition of the test compounds (10 μM) was normalized to this activity (in %). The activity of each compound was measured with three independent oocytes (n=3).
Baez,
NMDA Receptor Subunits Change after Synaptic Plasticity Induction and Learning and Memory Acquisition.
2018, Pubmed
Baez,
NMDA Receptor Subunits Change after Synaptic Plasticity Induction and Learning and Memory Acquisition.
2018,
Pubmed Berg,
Pre- and postsynaptic localization of NMDA receptor subunits at hippocampal mossy fibre synapses.
2013,
Pubmed Bettini,
Identification and characterization of novel NMDA receptor antagonists selective for NR2A- over NR2B-containing receptors.
2010,
Pubmed Clarke,
NMDA receptor NR2 subunit dependence of the slow component of magnesium unblock.
2006,
Pubmed Dingledine,
The glutamate receptor ion channels.
1999,
Pubmed Furukawa,
Subunit arrangement and function in NMDA receptors.
2005,
Pubmed Ghasemi,
The NMDA receptor complex as a therapeutic target in epilepsy: a review.
2011,
Pubmed Goebel,
NMDA receptor subunit gene expression in the rat brain: a quantitative analysis of endogenous mRNA levels of NR1Com, NR2A, NR2B, NR2C, NR2D and NR3A.
1999,
Pubmed
,
Xenbase Hansen,
Structure, function, and allosteric modulation of NMDA receptors.
2018,
Pubmed Hasebein,
Synthesis and pharmacological evaluation of like- and unlike-configured tetrahydro-2-benzazepines with the α-substituted benzyl moiety in the 5-position.
2014,
Pubmed Kristiansen,
NMDA receptors and schizophrenia.
2007,
Pubmed Liu,
Switching of NMDA receptor 2A and 2B subunits at thalamic and cortical synapses during early postnatal development.
2004,
Pubmed Loftis,
The N-methyl-D-aspartate receptor subunit NR2B: localization, functional properties, regulation, and clinical implications.
2003,
Pubmed Makhro,
Cardiac N-methyl D-aspartate Receptors as a Pharmacological Target.
2016,
Pubmed Malsy,
Effects of ketamine, s-ketamine, and MK 801 on proliferation, apoptosis, and necrosis in pancreatic cancer cells.
2015,
Pubmed Merle,
NMDA glutamate receptors are expressed by osteoclast precursors and involved in the regulation of osteoclastogenesis.
2003,
Pubmed Meyer,
Improvement of σ1 receptor affinity by late-stage C-H-bond arylation of spirocyclic lactones.
2013,
Pubmed Milnerwood,
Early increase in extrasynaptic NMDA receptor signaling and expression contributes to phenotype onset in Huntington's disease mice.
2010,
Pubmed Miyata,
Synthesis and σ receptor affinity of regioisomeric spirocyclic furopyridines.
2014,
Pubmed Monyer,
Developmental and regional expression in the rat brain and functional properties of four NMDA receptors.
1994,
Pubmed Moriyoshi,
Molecular cloning and characterization of the rat NMDA receptor.
1991,
Pubmed
,
Xenbase Müller,
Systematic variation of the benzenesulfonamide part of the GluN2A selective NMDA receptor antagonist TCN-201.
2017,
Pubmed
,
Xenbase Ogden,
New advances in NMDA receptor pharmacology.
2011,
Pubmed Parsons,
Extrasynaptic NMDA receptor involvement in central nervous system disorders.
2014,
Pubmed Piña-Crespo,
Excitatory glycine responses of CNS myelin mediated by NR1/NR3 "NMDA" receptor subunits.
2010,
Pubmed Rajan,
Synthesis of GluN2A-selective NMDA receptor antagonists with an electron-rich aromatic B-ring.
2021,
Pubmed
,
Xenbase Salussolia,
Arrangement of subunits in functional NMDA receptors.
2011,
Pubmed
,
Xenbase Schepmann,
Development of a selective competitive receptor binding assay for the determination of the affinity to NR2B containing NMDA receptors.
2010,
Pubmed Schreiber,
Systematic variation of the benzoylhydrazine moiety of the GluN2A selective NMDA receptor antagonist TCN-201.
2018,
Pubmed
,
Xenbase Tajima,
Activation of NMDA receptors and the mechanism of inhibition by ifenprodil.
2016,
Pubmed Temme,
Hydroxymethyl bioisosteres of phenolic GluN2B-selective NMDA receptor antagonists: Design, synthesis and pharmacological evaluation.
2018,
Pubmed Volkmann,
MPX-004 and MPX-007: New Pharmacological Tools to Study the Physiology of NMDA Receptors Containing the GluN2A Subunit.
2016,
Pubmed
,
Xenbase Watkins,
The glutamate story.
2006,
Pubmed Yi,
Structural Basis for Negative Allosteric Modulation of GluN2A-Containing NMDA Receptors.
2016,
Pubmed
,
Xenbase