Click here to close
Hello! We notice that you are using Internet Explorer, which is not supported by Xenbase and may cause the site to display incorrectly.
We suggest using a current version of Chrome,
FireFox, or Safari.
ChemMedChem
2020 Jun 17;1512:1078-1088. doi: 10.1002/cmdc.202000083.
Show Gene links
Show Anatomy links
Rottlerin: Structure Modifications and KCNQ1/KCNE1 Ion Channel Activity.
Lübke M, Schreiber JA, Le Quoc T, Körber F, Müller J, Sivanathan S, Matschke V, Schubert J, Strutz-Seebohm N, Seebohm G, Scherkenbeck J.
???displayArticle.abstract???
The slow delayed rectifier potassium current (IKs ) is formed by the KCNQ1 (Kv 7.1) channel, an ion channel of four α-subunits that modulates KCNE1 β-subunits. IKs is central to the repolarization of the cardiac action potential. Loss of function mutation reducing ventricular cardiac IKs cause the long-QT syndrome (LQTS), a disorder that predisposes patients to arrhythmia and sudden death. Current therapy for LQTS is inadequate. Rottlerin, a natural product of the kamala tree, activates IKs and has the potential to provide a new strategy for rational drug therapy. In this study, we show that simple modifications such as penta-acetylation or penta-methylation of rottlerin blunts activation activity. Total synthesis was used to prepare side-chain-modified derivatives that slowed down KCNQ1/KCNE1 channel deactivation to different degrees. A binding hypothesis of rottlerin is provided that opens the way to improved IKs activators as novel therapeutics for the treatment of LQTS.
Figure 1. Structures of rottlerin (1) and rottlerone (2).
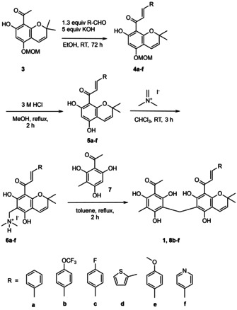
Scheme 1. Total synthesis of rottlerin (1) and derivatives 8 b–f.
Figure 2. Rottlerin derivatives by modification of the natural product.
Figure 3. A)–D) Voltage dependent activation of KCNQ1/KCNE1 channels in absence (control, ctr) and presence of rottlerin (1) and analogs 8 b–d. Compounds were applied at 10 and 30 μM, and the effect on steady‐state activated current amplitude was assessed at different voltages. Current amplitudes were normalized to the mean of amplitudes at +40 mV in absence of test compounds (control) E)‐I) Mean of normalized current amplitudes±SEM of different voltage steps in absence (ctr) and presence of rottlerin (1) and 8 b–d. The number of independent experimental data points are given in Table 2. Significance of mean differences was determined by one‐way ANOVA and post‐hoc mean comparison Tukey test (ns: p>0.05, *p<0.05, **p<0.01, ***p<0.001).
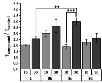
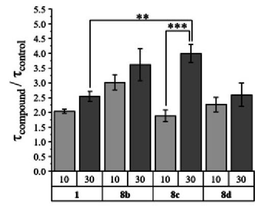
Figure 4. Relation of KCNQ1/KCNE1 deactivation time constants in the presence of rottlerin (1) and compounds 8 b–8 d (τ
compound) compared to absence of compounds (τ
control). Time constants of deactivation were determined as described in the Experimental Section. Values are given as mean ±SEM. The significance of mean differences was determined by one‐way ANOVA and post‐hoc mean comparison Tukey test (ns: p>0.05, *p<0.05, **p<0.01, ***p<0.001).
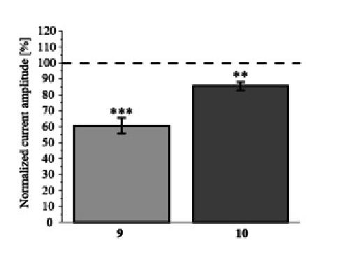
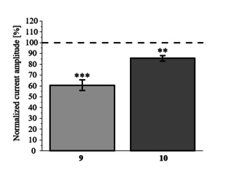
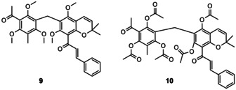
Figure 5. Normalized current amplitudes of KCNQ1/KCNE1‐expressing oocytes in the presence of 30 μM of compounds 9 and 10. The effect of derivatives on KCNQ1/KCNE1 currents was determined as described above and are shown as mean±SEM (n=9–12, unpaired t‐test **p<0.01, ***p<0.001).
Figure 6. a) Structure of a KCNQ1 subunit and potential binding sites for small molecules. b) open KCNQ1 channel (6V01, PIP2 bound, human), c) closed KCNQ1 channel (6UZZ, human).
Figure 7. Structures of published KCNQ1 ligands.
Figure 8. a) Superposition of thiophene rottlerin 8 d and PIP2. b) Superposition of rottlerin and PIP2. c) Orientation of rottlerin (orange) and PIP2 (green) in the Arg243 site. According to the cryo‐EM structure 6V01, PIP2 contains heptanoic acid in sn1 position and (5E,8E,11E,14Z)‐hexadecatetraenoic acid in position sn2.
Figure 9. a) Open‐channel binding‐pocket around Ile337 (PDB ID: 6V01) with bound trifluoromethoxyphenyl rottlerin 8 b. Colors code protein chains. b) Closed‐channel Ile337 binding pocket (PDB ID: 6UZZ) with bound benzodiazepinone 14. Colors code protein chains. c) Open‐channel structure with residues found important for rottlerin and benzodiazepinone 14 binding (PDB ID: 6V01). d) Closed‐channel structure with residues found essential for rottlerin and benzodiazepinone 14 binding (PDB ID: 6UZZ).
BACKHOUSE,
Rottlerin; the synthesis of tetrahydrorottlerin and of tetrahydroallorottlerin and the reversibility of the rottlerone change.
1948, Pubmed
BACKHOUSE,
Rottlerin; the synthesis of tetrahydrorottlerin and of tetrahydroallorottlerin and the reversibility of the rottlerone change.
1948,
Pubmed Chauthe,
Biomimetic synthesis and anti-HIV activity of dimeric phloroglucinols.
2010,
Pubmed De Silva,
Deconstruction of an African folk medicine uncovers a novel molecular strategy for therapeutic potassium channel activation.
2018,
Pubmed
,
Xenbase Eaton,
Synthesis and Antimalarial Activity of Mallatojaponin C and Related Compounds.
2016,
Pubmed Grayfer,
Mallotojaponins B and C: Total Synthesis, Antiparasitic Evaluation, and Preliminary SAR Studies.
2016,
Pubmed Gschwendt,
Rottlerin, a novel protein kinase inhibitor.
1994,
Pubmed Hong,
The Mosaic of Rottlerin.
2015,
Pubmed Jain,
Semisynthesis of mallotus B from rottlerin: evaluation of cytotoxicity and apoptosis-inducing activity.
2013,
Pubmed Jensen,
BMS-204352: a potassium channel opener developed for the treatment of stroke.
2002,
Pubmed Kulkarni,
Antifungal dimeric chalcone derivative kamalachalcone E from Mallotus philippinensis.
2014,
Pubmed Matschke,
The Natural Plant Product Rottlerin Activates Kv7.1/KCNE1 Channels.
2016,
Pubmed
,
Xenbase Mattmann,
Identification of (R)-N-(4-(4-methoxyphenyl)thiazol-2-yl)-1-tosylpiperidine-2-carboxamide, ML277, as a novel, potent and selective K(v)7.1 (KCNQ1) potassium channel activator.
2012,
Pubmed Seebohm,
Activators of cation channels: potential in treatment of channelopathies.
2005,
Pubmed Seebohm,
Pharmacological activation of normal and arrhythmia-associated mutant KCNQ1 potassium channels.
2003,
Pubmed
,
Xenbase Seebohm,
Molecular determinants of KCNQ1 channel block by a benzodiazepine.
2003,
Pubmed
,
Xenbase Seebohm,
Tight coupling of rubidium conductance and inactivation in human KCNQ1 potassium channels.
2003,
Pubmed
,
Xenbase Soltoff,
Rottlerin: an inappropriate and ineffective inhibitor of PKCdelta.
2007,
Pubmed Sun,
Structural Basis of Human KCNQ1 Modulation and Gating.
2020,
Pubmed Sun,
Cryo-EM Structure of a KCNQ1/CaM Complex Reveals Insights into Congenital Long QT Syndrome.
2017,
Pubmed
,
Xenbase Sun,
Tanshinone IIA: a new activator of human cardiac KCNQ1/KCNE1 (I(Ks)) potassium channels.
2008,
Pubmed Tanaka,
Potential anti-tumor-promoting activity of 3alpha-hydroxy-D:A-friedooleanan-2-one from the stem bark of Mallotus philippensis.
2008,
Pubmed Xiong,
Activation of Kv7 (KCNQ) voltage-gated potassium channels by synthetic compounds.
2008,
Pubmed Zakharov,
Activation of the BK (SLO1) potassium channel by mallotoxin.
2005,
Pubmed Zheng,
Hexachlorophene is a potent KCNQ1/KCNE1 potassium channel activator which rescues LQTs mutants.
2012,
Pubmed