|
Graphical Abstract |
|
Figure 1
Temporal changes in α5, Ï1, and Ï2-subunit expression were assessed in the peri-infarct region using real time qPCR after photothrombotic stroke to the motor cortex. (A) GABAA α5 expression, (B) GABAC Ï1 expression, and (C) GABAC Ï2 expression was assessed in stroke (red) and sham (blue) animals. * p < 0.05, ** p < 0.01, *** p < 0.001 (n = 5 for sham and 1, 3, 7, 14 and 28-days post-stroke). Data expressed as box plot (boxes, 25â75%; whiskers, minimum and maximum; lines, median). GABA: γ-aminobutyric acid. |
|
Figure 2
Dose–response curves of GABA (☐—open black boxes) in the presence of (A) 10 µM (▽—green triangle), 30 µM (△—red triangle), and 100 µM (◯—blue circle) (S)-4-ACPBPA and (B) 10 µM (▽—green triangle), 30 µM (△—red triangle), and 60 µM (◯—blue circle) (R)-4-ACPBPA at human recombinant ρ2 GABAC receptors expressed in xenopus oocytes. (C) Representative responses of α5β2γ2 receptors expressed in xenopus oocytes to GABA (10 µM) alone and GABA (10 µM) with inhibitors (R) and (S)-4-ACPBPA (10 and 100 µM). (R) and (S)-4-ACPBPA (10 µM) inhibited GABA (10 µM) response by 2.5 ± 1.7 and 5.5 ± 2.5%, respectively, whilst (R) and (S)-4-ACPBPA (100 µM) inhibited GABA (10 µM) response by 36 ± 0.8 and 37 ± 0.6%, respectively. Data are expressed are mean ± SEM (n = 6 oocytes). (R)-4-ACPBPA: (R)-4-amino-cyclopent-1-enyl butylphosphinic acid, (S)-4-ACPBPA: (S)-4-amino-cyclopent-1-enyl butylphosphinic acid. |
|
Figure 3
Behavioral recovery was assessed pre-op (before) and 7, 14, 21, 28, and 42 days after a photothrombotic stroke. NAM, 5 mM; L655,708, and the GABAC Ï1 antagonist, 2.5 and 5 mM (S)-4-ACPBPA. Motor function was assessed by analyses of (A) foot-faults and (B) forelimb asymmetry in the grid-walking and cylinder tasks, respectively. # p < 0.05, ## p < 0.01, ### p < 0.001, compared to stroke + vehicle. Data are expressed as mean ± SD for n = 10/treatment group. |
|
Figure 4
Behavioral recovery was assessed pre-op (before) and 7, 14, 21, 28, and 42 days after a photothrombotic stroke in the presence of the GABAA α5 NAM, 5 mM L655,708, and the GABAC Ï2 antagonist, 2.5 and 5 mM (R)-4-ACPBPA. Motor function was assessed by analyses of (A) foot-faults and (B) forelimb asymmetry in the grid-walking and cylinder tasks, respectively. # p < 0.05, ## p < 0.01, ### p < 0.001, compared to stroke + vehicle. Data are expressed as mean ± SD for n = 10 / treatment group. |
|
Figure 5
Assessment of infarct volume was carried out by quantifying cresyl violet stained sections generated 42 days post-stroke. Data expressed as box plot (boxes, 25–75%; whiskers, minimum and maximum; lines, median) for an n = 6/treatment group. |
|
Figure 6
Changes in GABA transporter type 3 (GAT3) and glial fibrillary acidic protein (GFAP) expression were assessed 42 days post-stroke. (A) Representative photomicrographs showing GAT3 (green) and GFAP (red) labeling from stroke + vehicle (VEH), Stroke + L655,708 (L655), stroke + S-4-ACPBPA (S-), and stroke + (R)-4-ACPBPA (R-) High magnification images of each of the treatment groups from right next to the stroke border. Normalized fluorescent intensity measurements for GAT3 (B) and GFAP (C) were obtained from peri-infarct regions 400 µm from the stroke border. + p < 0.05, ++ p < 0.01. Data expressed as box plot (boxes, 25â75%; whiskers, minimum and maximum; lines, median) for an n = 6/treatment group. The scale bar in the insert = 100 um, whereas the scale bar shown in the main photomicrograph = 400 um. |
|
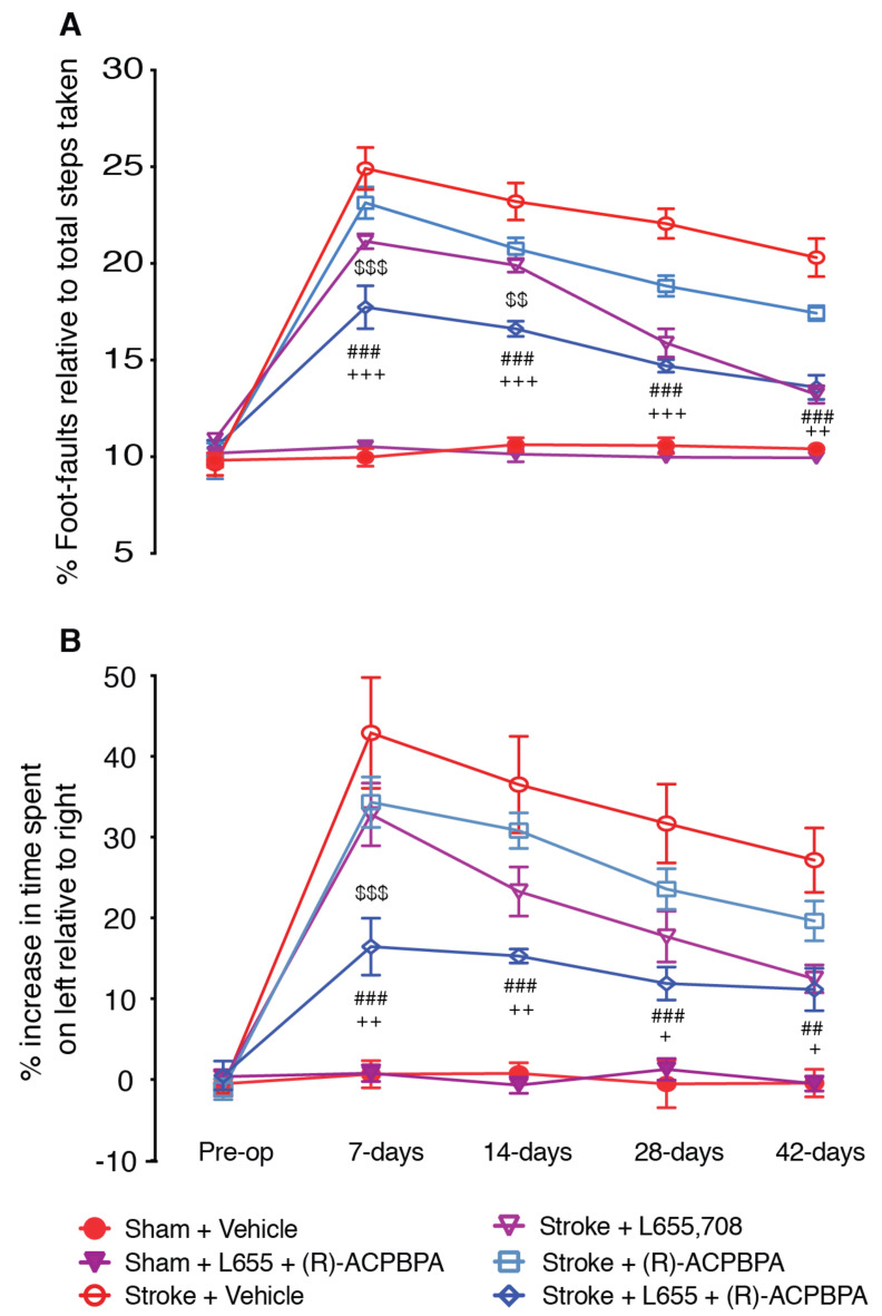
Figure 7
Behavioral recovery was assessed pre-op (before) and 7, 14, 21, 28, and 42 days after a photothrombotic stroke in the presence of the GABAA α5 NAM, 5 mM L655,708, the GABAC Ï2 antagonist, 5 mM (R)-4-ACPBPA, or a combined 5 mM L655,708 and 5 mM (R)-4-ACPBPA. Motor function was assessed by analyses of (A) foot-faults and (B) forelimb asymmetry in the grid-walking and cylinder tasks, respectively. ## p < 0.01, ### p < 0.001, compared to stroke + vehicle; + p < 0.05, ++ p < 0.01, +++ p < 0.001, compared to sham + L655,708 + (R)-4-ACPBPA; $$ p < 0.01, $$$ p < 0.001, compared to stroke + L655,708. Data are expressed as mean ± SD for n = 8 / treatment group. |
|
Figure 1. Temporal changes in α5, ρ1, and ρ2-subunit expression were assessed in the peri-infarct region using real time qPCR after photothrombotic stroke to the motor cortex. (A) GABAA α5 expression, (B) GABAC
ρ1 expression, and (C) GABAC
ρ2 expression was assessed in stroke (red) and sham (blue) animals. * p < 0.05, ** p < 0.01, *** p < 0.001 (n = 5 for sham and 1, 3, 7, 14 and 28-days post-stroke). Data expressed as box plot (boxes, 25–75%; whiskers, minimum and maximum; lines, median). GABA: γ-aminobutyric acid. |
|
Figure 2. Dose–response curves of GABA (☐—open black boxes) in the presence of (A) 10 µM (▽—green triangle), 30 µM (△—red triangle), and 100 µM (◯—blue circle) (S)-4-ACPBPA and (B) 10 µM (▽—green triangle), 30 µM (△—red triangle), and 60 µM (◯—blue circle) (R)-4-ACPBPA at human recombinant ρ2 GABAC receptors expressed in xenopus oocytes. (C) Representative responses of α5β2γ2 receptors expressed in xenopus oocytes to GABA (10 µM) alone and GABA (10 µM) with inhibitors (R) and (S)-4-ACPBPA (10 and 100 µM). (R) and (S)-4-ACPBPA (10 µM) inhibited GABA (10 µM) response by 2.5 ± 1.7 and 5.5 ± 2.5%, respectively, whilst (R) and (S)-4-ACPBPA (100 µM) inhibited GABA (10 µM) response by 36 ± 0.8 and 37 ± 0.6%, respectively. Data are expressed are mean ± SEM (n = 6 oocytes). (R)-4-ACPBPA: (R)-4-amino-cyclopent-1-enyl butylphosphinic acid, (S)-4-ACPBPA: (S)-4-amino-cyclopent-1-enyl butylphosphinic acid. |
|
Figure 3. Behavioral recovery was assessed pre-op (before) and 7, 14, 21, 28, and 42 days after a photothrombotic stroke. NAM, 5 mM; L655,708, and the GABAC
ρ1 antagonist, 2.5 and 5 mM (S)-4-ACPBPA. Motor function was assessed by analyses of (A) foot-faults and (B) forelimb asymmetry in the grid-walking and cylinder tasks, respectively. # p < 0.05, ## p < 0.01, ### p < 0.001, compared to stroke + vehicle. Data are expressed as mean ± SD for n = 10/treatment group. |
|
Figure 4. Behavioral recovery was assessed pre-op (before) and 7, 14, 21, 28, and 42 days after a photothrombotic stroke in the presence of the GABAA α5 NAM, 5 mM L655,708, and the GABAC
ρ2 antagonist, 2.5 and 5 mM (R)-4-ACPBPA. Motor function was assessed by analyses of (A) foot-faults and (B) forelimb asymmetry in the grid-walking and cylinder tasks, respectively. # p < 0.05, ## p < 0.01, ### p < 0.001, compared to stroke + vehicle. Data are expressed as mean ± SD for n = 10 / treatment group. |
|
Figure 5. Assessment of infarct volume was carried out by quantifying cresyl violet stained sections generated 42 days post-stroke. Data expressed as box plot (boxes, 25–75%; whiskers, minimum and maximum; lines, median) for an n = 6/treatment group. |
|
Figure 6. Changes in GABA transporter type 3 (GAT3) and glial fibrillary acidic protein (GFAP) expression were assessed 42 days post-stroke. (A) Representative photomicrographs showing GAT3 (green) and GFAP (red) labeling from stroke + vehicle (VEH), Stroke + L655,708 (L655), stroke + S-4-ACPBPA (S-), and stroke + (R)-4-ACPBPA (R-) High magnification images of each of the treatment groups from right next to the stroke border. Normalized fluorescent intensity measurements for GAT3 (B) and GFAP (C) were obtained from peri-infarct regions 400 µm from the stroke border. + p < 0.05, ++ p < 0.01. Data expressed as box plot (boxes, 25–75%; whiskers, minimum and maximum; lines, median) for an n = 6/treatment group. The scale bar in the insert = 100 um, whereas the scale bar shown in the main photomicrograph = 400 um. |
|
Figure 7. Behavioral recovery was assessed pre-op (before) and 7, 14, 21, 28, and 42 days after a photothrombotic stroke in the presence of the GABAA α5 NAM, 5 mM L655,708, the GABAC
ρ2 antagonist, 5 mM (R)-4-ACPBPA, or a combined 5 mM L655,708 and 5 mM (R)-4-ACPBPA. Motor function was assessed by analyses of (A) foot-faults and (B) forelimb asymmetry in the grid-walking and cylinder tasks, respectively. ## p < 0.01, ### p < 0.001, compared to stroke + vehicle; + p < 0.05, ++ p < 0.01, +++ p < 0.001, compared to sham + L655,708 + (R)-4-ACPBPA; $$ p < 0.01, $$$ p < 0.001, compared to stroke + L655,708. Data are expressed as mean ± SD for n = 8 / treatment group. |