XB-ART-5795
J Gen Physiol
2003 Feb 01;1212:125-48. doi: 10.1085/jgp.20028667.
Show Gene links
Show Anatomy links
Inactivation of BK channels by the NH2 terminus of the beta2 auxiliary subunit: an essential role of a terminal peptide segment of three hydrophobic residues.
Xia XM, Ding JP, Lingle CJ.
???displayArticle.abstract???
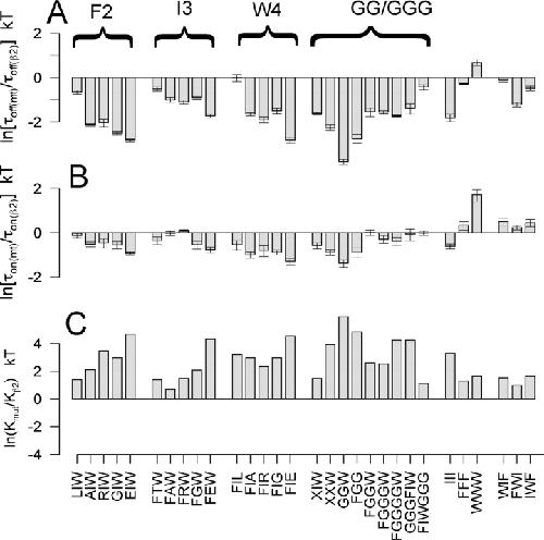
An auxiliary beta2 subunit, when coexpressed with Slo alpha subunits, produces inactivation of the resulting large-conductance, Ca(2+) and voltage-dependent K(+) (BK-type) channels. Inactivation is mediated by the cytosolic NH(2) terminus of the beta2 subunit. To understand the structural requirements for inactivation, we have done a mutational analysis of the role of the NH(2) terminus in the inactivation process. The beta2 NH(2) terminus contains 46 residues thought to be cytosolic to the first transmembrane segment (TM1). Here, we address two issues. First, we define the key segment of residues that mediates inactivation. Second, we examine the role of the linker between the inactivation segment and TM1. The results show that the critical determinant for inactivation is an initial segment of three amino acids (residues 2-4: FIW) after the initiation methionine. Deletions that scan positions from residue 5 through residue 36 alter inactivation, but do not abolish it. In contrast, deletion of FIW or combinations of point mutations within the FIW triplet abolish inactivation. Mutational analysis of the three initial residues argues that inactivation does not result from a well-defined structure formed by this epitope. Inactivation may be better explained by linear entry of the NH(2)-terminal peptide segment into the permeation pathway with residue hydrophobicity and size influencing the onset and recovery from inactivation. Examination of the ability of artificial, polymeric linkers to support inactivation suggests that a variety of amino acid sequences can serve as adequate linkers as long as they contain a minimum of 12 residues between the first transmembrane segment and the FIW triplet. Thus, neither a specific distribution of charge on the linker nor a specific structure in the linker is required to support the inactivation process.
???displayArticle.pubmedLink??? 12566540
???displayArticle.pmcLink??? PMC2217327
???displayArticle.link??? J Gen Physiol
???displayArticle.grants??? [+]
Species referenced: Xenopus
Genes referenced: camkmt f2r fgg kcnma1 prss1 tbx2
???attribute.lit??? ???displayArticles.show???
References [+] :
Antz,
NMR structure of inactivation gates from mammalian voltage-dependent potassium channels.
1997, Pubmed
Antz, NMR structure of inactivation gates from mammalian voltage-dependent potassium channels. 1997, Pubmed
Bentrop, NMR structure of the "ball-and-chain" domain of KCNMB2, the beta 2-subunit of large conductance Ca2+- and voltage-activated potassium channels. 2001, Pubmed , Xenbase
Choi, Tetraethylammonium blockade distinguishes two inactivation mechanisms in voltage-activated K+ channels. 1991, Pubmed
del Camino, Tight steric closure at the intracellular activation gate of a voltage-gated K(+) channel. 2001, Pubmed
Demo, The inactivation gate of the Shaker K+ channel behaves like an open-channel blocker. 1991, Pubmed
Ding, Inactivating BK channels in rat chromaffin cells may arise from heteromultimeric assembly of distinct inactivation-competent and noninactivating subunits. 1998, Pubmed
Ding, Steady-state and closed-state inactivation properties of inactivating BK channels. 2002, Pubmed , Xenbase
Foster, A peptide derived from the Shaker B K+ channel produces short and long blocks of reconstituted Ca(2+)-dependent K+ channels. 1992, Pubmed
Gomez-Lagunas, Inactivation in ShakerB K+ channels: a test for the number of inactivating particles on each channel. 1995, Pubmed
Gómez-Lagunas, The relation between ion permeation and recovery from inactivation of ShakerB K+ channels. 1994, Pubmed
Hamill, Improved patch-clamp techniques for high-resolution current recording from cells and cell-free membrane patches. 1981, Pubmed
Höllerer-Beitz, N-Terminal deletions of rKv1.4 channels affect the voltage dependence of channel availability. 1999, Pubmed , Xenbase
Hoshi, Biophysical and molecular mechanisms of Shaker potassium channel inactivation. 1990, Pubmed , Xenbase
Jiang, The open pore conformation of potassium channels. 2002, Pubmed
Knaus, Subunit composition of the high conductance calcium-activated potassium channel from smooth muscle, a representative of the mSlo and slowpoke family of potassium channels. 1994, Pubmed
Knaus, Primary sequence and immunological characterization of beta-subunit of high conductance Ca(2+)-activated K+ channel from smooth muscle. 1994, Pubmed
Kondoh, A mammalian transient type K+ channel, rat Kv1.4, has two potential domains that could produce rapid inactivation. 1997, Pubmed , Xenbase
Kramer, Potassium channel inactivation peptide blocks cyclic nucleotide-gated channels by binding to the conserved pore domain. 1994, Pubmed , Xenbase
Kuo, Facilitation of recovery from inactivation by external Na+ and location of the activation gate in neuronal Na+ channels. 2000, Pubmed
Lingle, Calcium-activated potassium channels in adrenal chromaffin cells. 1996, Pubmed
Lingle, Inactivation of BK channels mediated by the NH(2) terminus of the beta3b auxiliary subunit involves a two-step mechanism: possible separation of binding and blockade. 2001, Pubmed , Xenbase
MacKinnon, Functional stoichiometry of Shaker potassium channel inactivation. 1993, Pubmed , Xenbase
Murrell-Lagnado, Interactions of amino terminal domains of Shaker K channels with a pore blocking site studied with synthetic peptides. 1993, Pubmed , Xenbase
Murrell-Lagnado, Energetics of Shaker K channels block by inactivation peptides. 1993, Pubmed , Xenbase
O'Leary, Internal block of human heart sodium channels by symmetrical tetra-alkylammoniums. 1994, Pubmed
O'Neil, A thermodynamic scale for the helix-forming tendencies of the commonly occurring amino acids. 1990, Pubmed
Rasmusson, The beta subunit, Kv beta 1.2, acts as a rapid open channel blocker of NH2-terminal deleted Kv1.4 alpha-subunits. 1997, Pubmed
Rettig, Inactivation properties of voltage-gated K+ channels altered by presence of beta-subunit. 1994, Pubmed , Xenbase
Rose, Hydrophobicity of amino acid residues in globular proteins. 1985, Pubmed
Ruppersberg, Cloned neuronal IK(A) channels reopen during recovery from inactivation. 1991, Pubmed
Schott, Structure of the inactivating gate from the Shaker voltage gated K+ channel analyzed by NMR spectroscopy. 1998, Pubmed
Solaro, Inactivating and noninactivating Ca(2+)- and voltage-dependent K+ current in rat adrenal chromaffin cells. 1995, Pubmed
Solaro, Trypsin-sensitive, rapid inactivation of a calcium-activated potassium channel. 1992, Pubmed
Solaro, The cytosolic inactivation domains of BKi channels in rat chromaffin cells do not behave like simple, open-channel blockers. 1997, Pubmed
Toro, Internal blockade of a Ca(2+)-activated K+ channel by Shaker B inactivating "ball" peptide. 1992, Pubmed
Tseng-Crank, Functional role of the NH2-terminal cytoplasmic domain of a mammalian A-type K channel. 1993, Pubmed , Xenbase
Uebele, Cloning and functional expression of two families of beta-subunits of the large conductance calcium-activated K+ channel. 2000, Pubmed
Wallner, Molecular basis of fast inactivation in voltage and Ca2+-activated K+ channels: a transmembrane beta-subunit homolog. 1999, Pubmed , Xenbase
Wang, Consequences of the stoichiometry of Slo1 alpha and auxiliary beta subunits on functional properties of large-conductance Ca2+-activated K+ channels. 2002, Pubmed , Xenbase
Wissmann, NMR structure and functional characteristics of the hydrophilic N terminus of the potassium channel beta-subunit Kvbeta1.1. 1999, Pubmed , Xenbase
Xia, Mechanism of calcium gating in small-conductance calcium-activated potassium channels. 1998, Pubmed , Xenbase
Xia, Rectification and rapid activation at low Ca2+ of Ca2+-activated, voltage-dependent BK currents: consequences of rapid inactivation by a novel beta subunit. 2000, Pubmed , Xenbase
Xia, Molecular basis for the inactivation of Ca2+- and voltage-dependent BK channels in adrenal chromaffin cells and rat insulinoma tumor cells. 1999, Pubmed , Xenbase
Xia, dSLo interacting protein 1, a novel protein that interacts with large-conductance calcium-activated potassium channels. 1998, Pubmed , Xenbase
Zagotta, Restoration of inactivation in mutants of Shaker potassium channels by a peptide derived from ShB. 1990, Pubmed , Xenbase
Zeng, Gating properties conferred on BK channels by the beta3b auxiliary subunit in the absence of its NH(2)- and COOH termini. 2001, Pubmed , Xenbase
Zhang, Allosteric regulation of BK channel gating by Ca(2+) and Mg(2+) through a nonselective, low affinity divalent cation site. 2001, Pubmed , Xenbase
Zhou, Potassium channel receptor site for the inactivation gate and quaternary amine inhibitors. 2001, Pubmed , Xenbase
