|
Fig 2. Model structure and components.Modeling assumptions for the location of impact of Aβ on the production of IP3 with key Ca2+ signaling mechanisms included in the closed-cell model. The key model assumptions for how Aβ impacts the IP3 signaling cascade are illustrated as red arrows for “small” doses in A. The impacted cellular mechanisms for “large” doses of Aβ are highlighted by the blue arrows in B. |
|
Fig 3. Model solutions mimic experimental Ca2+ patterns for doses of a = 1 μg/ml of Aβ.The dependence of model solutions for a dose of 1 μg/ml of Aβ on the cellular parameter Ks is investigated. A shows an increasing Ca2+ signal that settles to an increased steady-state when Ks = 0.15. B shows that oscillations in Ca2+ can exhibit increasing amplitudes such as those found in Fig 1D in [18]. C and D show that as the value of Ks decreases, the oscillatory patterns of the model reproduce the spike-like Ca2+ signals observed in Fig 1E in [18]. E illustrates an oscillatory solution with an increased steady-state Ca2+ homeostasis level when Ks is just above the Hopf point. Both D and E show the traces for cs, y, and p in blue, red, and black, respectively. F shows a simplification of the scaled bifurcation diagram with the bifurcation parameter Ks. Notice that as Ks decreases from the base value of 0.15, a transition from stable steady-states into periodic oscillations occurs through a Hopf bifurcation around HB3â0.1242. The dynamics around Ks = 0.09 include multiple Hopf bifurcations and has more complex structure than what is presented here. |
|
Fig 4. Dynamics of Ca2+ using PLC as a parameter for doses of a ⤠1 μg/ml of Aβ.Model dynamics for the subsystem Eqs (15)â(17) in terms of PLC and Ks. The bifurcation diagram when Ks = 0.15 with the subsystem parameters given in Table 2, is shown in A. The figure shows a typical Hopf bubble between two Hopf bifurcation values labeled HB4 and HB5 as PLC is varied. The subsystem solution when PLC = 0.005 is presented in B, where c, y, and p are shown in the blue, red, and black traces, respectively. C shows the two parameter bifurcation diagram when both PLC and a are varied. Note that only the small doses of a are considered and the region of oscillations shifts to the right as a decreases and PLC increases. D shows the subsystem bifurcation diagram when Ks = 0.011 including two Hopf bifurcation values labeled HB6 and HB7. E shows the subsystem solution when PLC = 0.01 where c, y, and p are shown in the blue, red, and black traces, respectively. F shows the two parameter diagram tracking the location of the Hopf bifurcation points when PLC and Ks are treated as parameters. The parameter space is separated into regions where periodic orbits exist and donât. The red cross and triangle correspond to the location of the parameter values used to generate the solutions in B and E, respectively. |
|
Fig 5. Steady-state values for PLC and G for doses of a ≤ 1 μg/ml of Aβ.The steady-state fraction of activated PLC and G-proteins settles to a new value when a = 0.1 (black), a = 0.5 (magenta), and a = 1 (blue) in A and B, respectively. Model solutions for the various small doses a-values are shown on the phase plane for PLC and G in C. The dashed lines correspond to the PLC nullcline (red) and the G nullclines (black, magenta, and blue). |
|
Fig 6. Amplitude and latency of model solutions vary with doses of Aβ.For the small doses parameters, A shows the model captures the increase in Ca2+ signal amplitude as well as the decrease in time to peak onset. B shows the long term impact of Aβ for doses of Aβ corresponding to a = 1, a = 3, a = 10, and a = 30 in black, blue, red, and green, respectively. The dashed lines in B correspond to the steady-state values in the event where the amount of Aβ does not decay and is fixed. C shows the location of 100 stochastically chosen cells under the given a-value. Each color-coded circle corresponds to the location of the solution peak and time of peak when cellular parameters are varied uniformly with 10% variation for the particular a value. The dashed black curve corresponds to the location of the amplitude peak for the small doses parameters for a ranging between (0.1, 40). |
|
Fig 7. Variation in all parameter subsets required to reproduce the impact of Aβ for large doses.A shows a âbestâ fit solution when the Cellular, SERCA, and the IP3 Receptor parameters are kept fixed. Notice that altering the remaining parameters (IP3 Model, PLC, and G-Protein) cannot capture the observed Ca2+ signal. B shows a âbestâ fit solution when only the IP3R parameters are kept fixed. Notice that without altering the IP3R parameters, model solution peaks and decay also do not reproduce the observed experimental behaviors for large doses of Aβ. |
|
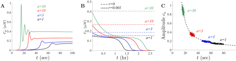
Fig 8. Model matches experimental data for large doses of Aβ.Model solutions for the “large” dose parameter set are illustrated in this figure. A shows model simulation (smooth curve) when a = 3 (blue), a = 10 (red), and a = 30 (green) overlaid on top of the rescaled experimental data (dashed curve) of [18]. Note that model solutions for the “large” dose parameters when a = 1 (black) is also shown here. B and C show the time evolution of model IP3 and PLC, respectively. D shows the unscaled Ca2+ concentration given by the model variable c for the three levels of Aβ and for a = 1 (black). E and F show the time evolution of p and y on the order of hours, respectively. Due to the Aβ decay incorporated in the model, all model solutions will eventually go back to the steady-state values. |
|
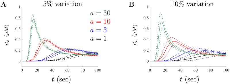
Fig 9. Model solutions under variation of parameters.The mean and corresponding standard deviations when the model is simulated for n = 100, 000 stochastically chosen parameter sets. The solid curves corresponds to the mean response and the dashed curves are the standard deviation above and below the mean. A and B illustrate the uncertainty in solutions when parameters are selected from a set with 5% and 10% deviation from the large doses base values given in Table 2, respectively. |
|
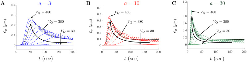
Fig 10. PRCC prediction on solution amplitude and time to peak for model parameter VQ.The impact of VQ is shown as a series of curves for a = 3, a = 10, and a = 30 in A, B, and C, respectively. In each diagram, the curved black arrow tracks the shift in the peak of solutions as VQ takes on various values ranging from VQ = 30 to VQ = 480. The black trace in each diagram represents the baseline VQ value for the large doses parameter set. |
|
Fig 11. Impact of large doses of Aβ on IP3R dynamics.The impact of the IP3R model parameters K1 and kâ4 are shown in A and B, respectively. The traces shown use the large doses parameters except for the values highlighted in each diagram. The top bold black traces correspond to the model solution when the parameter value for the small doses is used. The red traces are the model solutions for the parameter values of the large doses. The black traces between the bold and red correspond to intermediate parameter values as given in each diagram. |
|
Fig 12. Uncertainty in estimation of Rf have minimal effect on data rescaling.Effects of KD and Rf on δfmax under initial Ca2+ concentration c0 = 0.01 in A and c0 = 0.05 in B. Notice that Rf has minimal effect on δfmax while KD alters the value of δfmax. |
|
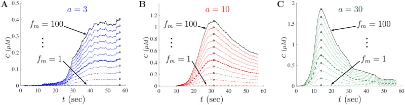
Fig 13. Impact of fm on rescaling of Ca2+ data.Changes in scaled experimental data when fm ranges from 1 to 100. In all figures, Rf = 100, KD = 0.3, and c0 = 0.05. Figs A, B, and, C correspond to the scaled data for a = 3, a = 10, and a = 30, respectively. The maximum value of each scaled experimental data set is shown by the open circle. The bold color curve corresponds to fm = 40, the value used throughout the simulations. |
|
Fig 14. Peak values as a function of scaling parameters.Peak values of the data conversion as a function of fm and δfmax for a = 3 A, a = 10 B, and a = 30 C. In all simulations, Rf = 100, KD = 0.3, and c0 = 0.05 were fixed. This figure shows that the greatest scaling affects occur when fm and δfmax are large and small, respectively. |