|
Figure 1
(a) Topology of Kv1.1 and location of the identified mutations causing Episodic ataxia type 1 (EA1). Red denotes the voltage sensor mutations, blue the mutations in the region of electromechanical coupling and green those in the position for non-canonical coupling. (b) Position of the mutations in the 3D structure (PDB: 3LUT). Colors coded as in (a). (c) Midpoint of activation for the tested mutants. The dashed line indicates wildtype. Midpoints and their standard error were obtained from fit to sigmoidal curves (see Materials and Methods). E395D and F484C had to be fitted to a convolution of 2 sigmoidal curves (n = 3–6). (d) Midpoints of activation for pore opening (GV) and voltage sensor movement (QV). The red line shows a parallel shift of both QV and GV. The arrows indicate a separation (green) or convergence (red) of QV and GV. (e) Current traces elicited from wildtype and Shaker-L375F upon response to depolarizing pulses from a holding potential of −90 mV to voltages between −120 and +100 mV. (f) Current voltage relationship of wildtype and the furthest shifted of Shaker-L375F. |
|
Figure 2
(a) Gating currents elicited from wildtype (WT) and EA1 mutants in response to depolarizing pulses from −90 mV to potentials between −120 and +100 mV. F244C and I320T show leak currents in the C-type inactivated W434F mutant indicating impaired C-type inactivation [7]. (b) Time constant of gating charge activation at a potential +50 mV more positive than the midpoint of the QV (WT: 0 mV, F244C: 30 mV, T284A: 30 mV, T284M: 20 mV, I320T: 30 mV, L375F: 0 mV, E395D: 10 mV, L399I: 30 mV, S412C: 30 mV, S412I: 20 mV, F484C: 30 mV; n = 3–9). |
|
Figure 3
(a) Inactivation time courses of wildtype, S412I and S412C determined at 0, +30 and +20 mV, respectively. Current traces were normalized to maximal current. (b) Non-canonical coupling. S412C is positioned neighboring F244C and I429. Blue denotes the gating charges in the S4. (c) Time constants of inactivation for different EA1 mutants (WT: 0 mV, T284A: 30 mV, T284M: 0 mV, I320T: 60 mV, L375F: 60 mV, L399I: 30 mV, S412I: 60 mV, S412C: 50 mV; n = 3–7). (d) Fraction of channels inactivated after 8 s (membrane potentials as in (c); n = 3–7). |
|
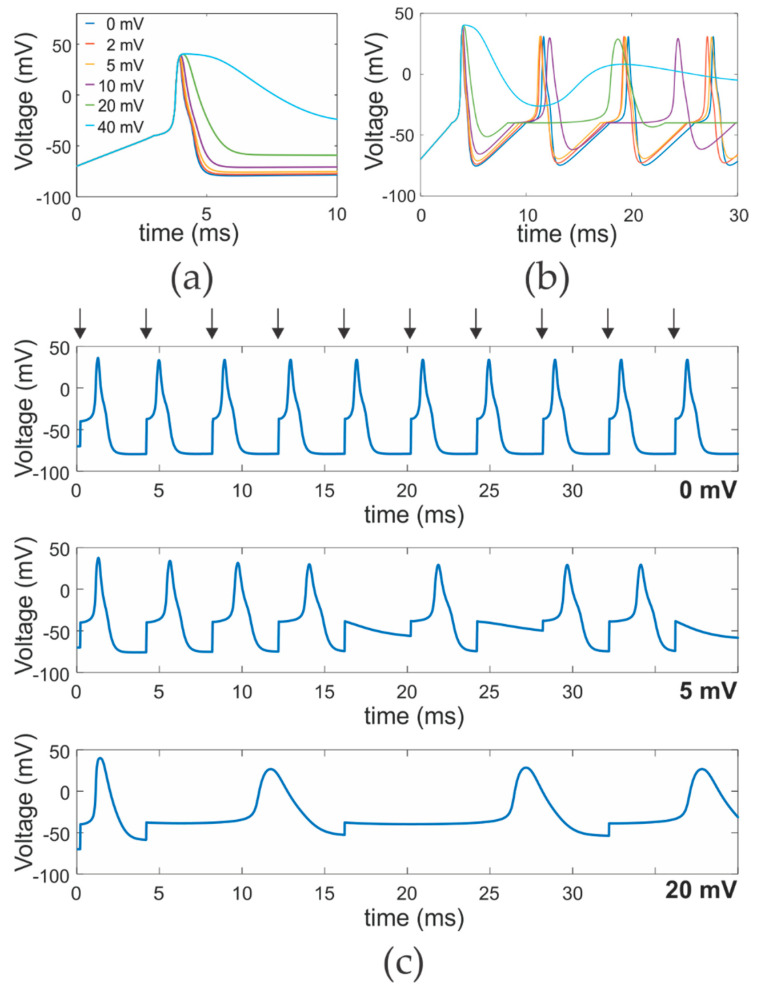
Figure 4
(a) Simulation of a single action potential according to a Hodgkin and Huxley model, where the voltage dependence of the voltage-gated potassium channels has been shifted by the amount indicated in the legend. (b) Simulation of a train of action potentials in response to continuous current stimulation (colors as in (a)). (c) Simulation of a train of action potentials in response to a train of current stimulations (indicated by arrows on top). Kv activation has been shifted by 0 mV (top), 5 mV (center) and 20 mV (bottom). |
|
Figure 1. (a) Topology of Kv1.1 and location of the identified mutations causing Episodic ataxia type 1 (EA1). Red denotes the voltage sensor mutations, blue the mutations in the region of electromechanical coupling and green those in the position for non-canonical coupling. (b) Position of the mutations in the 3D structure (PDB: 3LUT). Colors coded as in (a). (c) Midpoint of activation for the tested mutants. The dashed line indicates wildtype. Midpoints and their standard error were obtained from fit to sigmoidal curves (see Materials and Methods). E395D and F484C had to be fitted to a convolution of 2 sigmoidal curves (n = 3–6). (d) Midpoints of activation for pore opening (GV) and voltage sensor movement (QV). The red line shows a parallel shift of both QV and GV. The arrows indicate a separation (green) or convergence (red) of QV and GV. (e) Current traces elicited from wildtype and Shaker-L375F upon response to depolarizing pulses from a holding potential of −90 mV to voltages between −120 and +100 mV. (f) Current voltage relationship of wildtype and the furthest shifted of Shaker-L375F. |
|
Figure 2. (a) Gating currents elicited from wildtype (WT) and EA1 mutants in response to depolarizing pulses from −90 mV to potentials between −120 and +100 mV. F244C and I320T show leak currents in the C-type inactivated W434F mutant indicating impaired C-type inactivation [7]. (b) Time constant of gating charge activation at a potential +50 mV more positive than the midpoint of the QV (WT: 0 mV, F244C: 30 mV, T284A: 30 mV, T284M: 20 mV, I320T: 30 mV, L375F: 0 mV, E395D: 10 mV, L399I: 30 mV, S412C: 30 mV, S412I: 20 mV, F484C: 30 mV; n = 3–9). |
|
Figure 3. (a) Inactivation time courses of wildtype, S412I and S412C determined at 0, +30 and +20 mV, respectively. Current traces were normalized to maximal current. (b) Non-canonical coupling. S412C is positioned neighboring F244C and I429. Blue denotes the gating charges in the S4. (c) Time constants of inactivation for different EA1 mutants (WT: 0 mV, T284A: 30 mV, T284M: 0 mV, I320T: 60 mV, L375F: 60 mV, L399I: 30 mV, S412I: 60 mV, S412C: 50 mV; n = 3–7). (d) Fraction of channels inactivated after 8 s (membrane potentials as in (c); n = 3–7). |
|
Figure 4. (a) Simulation of a single action potential according to a Hodgkin and Huxley model, where the voltage dependence of the voltage-gated potassium channels has been shifted by the amount indicated in the legend. (b) Simulation of a train of action potentials in response to continuous current stimulation (colors as in (a)). (c) Simulation of a train of action potentials in response to a train of current stimulations (indicated by arrows on top). Kv activation has been shifted by 0 mV (top), 5 mV (center) and 20 mV (bottom). |