XB-ART-56689
Front Pharmacol
2019 Jul 03;10:1367. doi: 10.3389/fphar.2019.01367.
Show Gene links
Show Anatomy links
Antiarrhythmic Properties of Ranolazine: Inhibition of Atrial Fibrillation Associated TASK-1 Potassium Channels.
Ratte A, Wiedmann F, Kraft M, Katus HA, Schmidt C.
???displayArticle.abstract???
Background: Atrial fibrillation (AF) is the most common sustained cardiac arrhythmia and one of the major causes of cardiovascular morbidity and mortality. Despite good progress within the past years, safe and effective treatment of AF remains an unmet clinical need. The anti-anginal agent ranolazine has been shown to exhibit antiarrhythmic properties via mainly late INa and IKr blockade. This results in prolongation of the atrial action potential duration (APD) and effective refractory period (ERP) with lower effect on ventricular electrophysiology. Furthermore, ranolazine has been shown to be effective in the treatment of AF. TASK-1 is a two-pore domain potassium (K2P) channel that shows nearly atrial specific expression within the human heart and has been found to be upregulated in AF, resulting in shortening the atrial APD in patients suffering from AF. We hypothesized that inhibition TASK-1 contributes to the observed electrophysiological and clinical effects of ranolazine. Methods: We used Xenopus laevis oocytes and CHO-cells as heterologous expression systems for the study of TASK-1 inhibition by ranolazine and molecular drug docking simulations to investigate the ranolazine binding site and binding characteristics. Results: Ranolazine acts as an inhibitor of TASK-1 potassium channels that inhibits TASK-1 currents with an IC50 of 30.6 ± 3.7 µM in mammalian cells and 198.4 ± 1.1 µM in X. laevis oocytes. TASK-1 inhibition by ranolazine is not frequency dependent but shows voltage dependency with a higher inhibitory potency at more depolarized membrane potentials. Ranolazine binds within the central cavity of the TASK-1 inner pore, at the bottom of the selectivity filter. Conclusions: In this study, we show that ranolazine inhibits TASK-1 channels. We suggest that inhibition of TASK-1 may contribute to the observed antiarrhythmic effects of Ranolazine. This puts forward ranolazine as a prototype drug for the treatment of atrial arrhythmia because of its combined efficacy on atrial electrophysiology and lower risk for ventricular side effects.
???displayArticle.pubmedLink??? 32038227
???displayArticle.pmcLink??? PMC6988797
???displayArticle.link??? Front Pharmacol
Genes referenced: bad kcnk4
GO keywords: potassium channel activity
???displayArticle.disOnts??? atrial fibrillation
???attribute.lit??? ???displayArticles.show???
|
|
Figure 1 Effect of ranolazine on TASK-1 current. (A) Time course of TASK-1 current reduction during ranolazine application (n = 6); currents are normalized to their respective value before ranolazine application after a stabilization period with no significant amplitude changes. (B) Representative TASK-1 current recordings evoked by applying a test pulse from −80 mV to +20 mV under control conditions and after 30 min incubation with 300 µM and 1 mM ranolazine. (C) Dose–response curve of TASK-1 inhibition by ranolazine in X. laevis oocytes. Currents are normalized to their respective values under control conditions (n = 5 – 10). (D) Dose–response curve of TASK-1 inhibition by ranolazine in CHO cells. Currents are normalized to their respective values under control conditions (n = 5). Data are given as mean ± SEM. |
|
|
Figure 2 (A) Representative TASK-1 current recordings evoked by applying the displayed pulse protocol under control conditions and after 30 min incubation with ranolazine (300 µM). (B) Resting membrane potentials (RMP) in X. laevis oocytes before and after 30 min incubation with 300 µM ranolazine (n = 7). Boxes indicate the first and third quartile, whiskers indicate the minimum and maximum, and bands inside the boxes indicate the median; ##p < 0.01, paired t-test. (C) Activation curve of TASK-1 current; amplitudes are plotted against the respective test potential under control conditions and after 30 min incubation with ranolazine (n = 10); *p < 0.05, **p < 0.01, unpaired t-test vs. control conditions. (D) Amplitudes are normalized to the maximum current amplitude at +60 mV (n = 10); *p < 0.05, **p < 0.01, unpaired t-test vs. control conditions. (E) Dependency of TASK-1 current inhibition by ranolazine on membrane potential (n = 10). Data are given as mean ± SEM. |
|
|
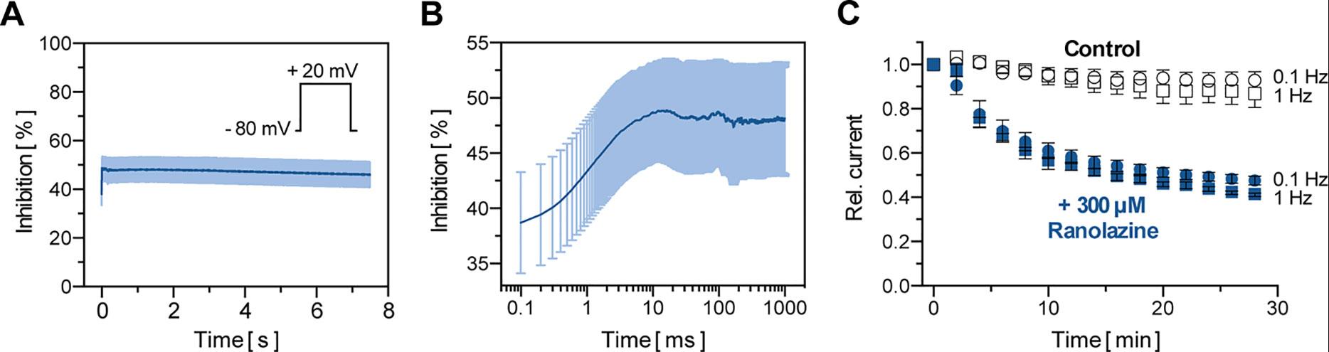
Figure 3 Biophysical properties of TASK-1 blockade by ranolazine. (A) The inhibition of TASK-1 current is displayed over a 7.5 s test pulse from −80 mV to +20 mV (n = 6). (B) Representation of the first 1000 ms of (A) on a logarithmic time scale (n = 6). (C) Frequency dependency of TASK-1 blockade by ranolazine; current amplitudes obtained during 30 min stimulation from −80 mV to +20 mV at stimulation rates of 0.1 Hz and 1 Hz are displayed under control conditions and during administration of 300 µM Ranolazine (n = 5–6). Currents are normalized to their respective values after a stabilization period. Data are given as mean ± SEM. |
|
|
Figure 4 Effect of ranolazine on different members of the K2P channel family. (A–J) Representative current recordings evoked by a test pulse from −80 mV to +20 mV under control conditions and after 30 min incubation ranolazine. (K) Current inhibition by 300 µM ranolazine is displayed for the different K2P channel family members. Data are given as mean ± SEM. *p < 0.05, **p < 0.01, ***p < 0.001, paired t-test vs. control measurements. |
|
|
Figure 5 Summary of protein–ligand interactions of all calculated docking poses of ranolazine at the inner pore of the wild type (WT) TASK-1 model (T16cq6). (A, B) Docking calculations have been performed with potassium ions either at positions S1 and S3, or at positions S2 and S4. (C) Each calculation yielded 10 ranked docking poses, resulting in a total of 20 poses. Protein–ligand interactions have been analyzed using PLIP (Salentin et al., 2015). The amount and character of the interactions is displayed for the individual amino acid residues that interact with ranolazine. |
|
|
Figure 6 Effect of ranolazine on TASK-1 pore mutants. (AâH) Representative current recordings evoked by a test pulse from â80 mV to +20 mV under control conditions and after 30 min incubation with ranolazine. (I) Current inhibition by 300 µM ranolazine on the different TASK-1 pore mutants, **p < 0.01, ***p < 0.001, ****p < 0.0001, one-way ANOVA and post-hoc Bonferroniâs multiple comparisons test of WT vs. the respective mutant. (J, K) TASK-1 homology model based on TREK-1 illustrating the location of amino acid residues included in the mutagenesis screen. (L) Zoom into the inner pore region. (M) Lateral view as in panel (L) but from a different angle [as in panel (K)]. (N) View from inside the cell into the central cavity (CC) of the inner pore. Note how the displayed residues line the central cavity (illustrated in green) of the TASK-1 inner pore. |
|
|
Figure 7 Comparison of the amount of protein–ligand interactions for the docking poses of WT and mutant channels. (A) Total amount and character of protein–ligand interactions of all 20 docking poses for the respective channel variant. (B, C) Boxplots indicating the amount of hydrophobic interactions (B) and hydrogen bonds (C) per docking pose. Boxes indicate the first and third quartile, whiskers indicate the minimum and maximum, bands inside the boxes indicate the median, and + indicates the mean. ##p < 0.01, ####p < 0.0001vs. WT. Note that variant L122A that has been identified as being most relevant for ranolazine binding in the experimental data, also forms the fewest interactions in the in silico simulations. More detailed information on the interaction profiles of ranolazine and the individual mutant variants can be found in Supplementary Figure S3. |
|
|
Figure 8 Ranolazine binds to the central cavity of the inner pore. (A) View from inside the cell into the central cavity. Ranolazine binds in close proximity to L122 and L239 occluding the lumen of the inner pore. (B) Same view as in (A) but with TASK-1 surface representation illustrating how ranolazine embeds within the inner pore. (C) Zoom into the central cavity illustrating the binding mode and the distance to the residues identified as binding site in the mutagenesis screen. Note that ranolazine does not directly interact with N240. (D) Similar zoom as in panel (C) but from inside the cell. Note that ranolazine interacts with L122 residues from both monomers. |
|
|
Figure S1. Illustrations of the four generated TASK-1 homology models. The local QMEAN (an estimate of the local model quality calculated by SWISS-MODEL) is color coded with blue reflecting a good local model quality and orange reflecting a bad local quality. |
|
|
Figure S2 MolProbidity Assessment of TASK-1 homology models T16cq6 (TASK-1 model based on the crystal structure of TREK-1; Protein Data Bank (PDB) ID: 6CQ6), T13umk (based on TWIK-1; PDB ID: 3UMK), T14rue (based on TRAAK; PDB ID: 4RUE), and T14xdl (based on TREK-2; PDB ID: 4XDL). (A, B) The MolProbidity Score is given as a numerical value (A) and as the respective percentile (B). The score summarizes different aspects of all-atom contacts and protein geometry that are being assessed during the MolProbidity analysis. Some of these aspects are reported in (C â F) (Davis et al. 2007). A model with a lower MolProbidity score is considered a more accurate model. (C) The percentage of outliers in the Ramachandran analysis (Ramachandran et al. 1963) is given for the different models. A value of < 0.05 is considered favorable. (D) Proportion of poor rotamers within the respective model. A value of < 0.3 is preferable. (E) Proportion of bad angles within the respective model. A value of < 0.1 is preferable. (F) Proportion of bad bonds within the respective model. A value of 0 is preferable. |
|
|
Figure S3 (Figure on previous page) Summary of protein-ligand interactions of all calculated docking poses of ranolazine at the inner pore of the wild type (WT) TASK-1 model and the different mutant variants. (A – G) The amount and character of interactions is displayed for the individual amino acid residues that interact with ranolazine. See also Figure 7 in main manuscript. |
|
|
Figure S4 Ranolazine binding to T13ukm homology model. Ranolazine binds at the central cavity of the inner pore at the entrance into the side fenestrations of T13ukm. (A) View from inside the cell into the central cavity. Ranolazine binds in close proximity to L122 and L239 occluding the lumen of the inner pore and reaching into the side fenestrations. (B) Same view as in (A) but with TASK-1 surface representation illustrating the open side fenestrations. (C) Zoom into the central cavity illustrating the binding mode and the distance to the residues identified as binding site in the mutagenesis screen. Note that ranolazine does not directly interact with N240. (D) Similar zoom as in (C) but from inside the cell. |
|
|
Figure 1. Effect of ranolazine on TASK-1 current. (A) Time course of TASK-1 current reduction during ranolazine application (n = 6); currents are normalized to their respective value before ranolazine application after a stabilization period with no significant amplitude changes. (B) Representative TASK-1 current recordings evoked by applying a test pulse from −80 mV to +20 mV under control conditions and after 30 min incubation with 300 µM and 1 mM ranolazine. (C) Dose–response curve of TASK-1 inhibition by ranolazine in X. laevis oocytes. Currents are normalized to their respective values under control conditions (n = 5 – 10). (D) Dose–response curve of TASK-1 inhibition by ranolazine in CHO cells. Currents are normalized to their respective values under control conditions (n = 5). Data are given as mean ± SEM. |
|
|
Figure 2. (A) Representative TASK-1 current recordings evoked by applying the displayed pulse protocol under control conditions and after 30 min incubation with ranolazine (300 µM). (B) Resting membrane potentials (RMP) in X. laevis oocytes before and after 30 min incubation with 300 µM ranolazine (n = 7). Boxes indicate the first and third quartile, whiskers indicate the minimum and maximum, and bands inside the boxes indicate the median; ##p < 0.01, paired t-test. (C) Activation curve of TASK-1 current; amplitudes are plotted against the respective test potential under control conditions and after 30 min incubation with ranolazine (n = 10); *p < 0.05, **p < 0.01, unpaired t-test vs. control conditions. (D) Amplitudes are normalized to the maximum current amplitude at +60 mV (n = 10); *p < 0.05, **p < 0.01, unpaired t-test vs. control conditions. (E) Dependency of TASK-1 current inhibition by ranolazine on membrane potential (n = 10). Data are given as mean ± SEM. |
|
|
Figure 3. Biophysical properties of TASK-1 blockade by ranolazine. (A) The inhibition of TASK-1 current is displayed over a 7.5 s test pulse from −80 mV to +20 mV (n = 6). (B) Representation of the first 1000 ms of (A) on a logarithmic time scale (n = 6). (C) Frequency dependency of TASK-1 blockade by ranolazine; current amplitudes obtained during 30 min stimulation from −80 mV to +20 mV at stimulation rates of 0.1 Hz and 1 Hz are displayed under control conditions and during administration of 300 µM Ranolazine (n = 5–6). Currents are normalized to their respective values after a stabilization period. Data are given as mean ± SEM. |
|
|
Figure 4. Effect of ranolazine on different members of the K2P channel family. (A–J) Representative current recordings evoked by a test pulse from −80 mV to +20 mV under control conditions and after 30 min incubation ranolazine. (K) Current inhibition by 300 µM ranolazine is displayed for the different K2P channel family members. Data are given as mean ± SEM. *p < 0.05, **p < 0.01, ***p < 0.001, paired t-test vs. control measurements. |
|
|
Figure 5. Summary of protein–ligand interactions of all calculated docking poses of ranolazine at the inner pore of the wild type (WT) TASK-1 model (T16cq6). (A, B) Docking calculations have been performed with potassium ions either at positions S1 and S3, or at positions S2 and S4. (C) Each calculation yielded 10 ranked docking poses, resulting in a total of 20 poses. Protein–ligand interactions have been analyzed using PLIP (Salentin et al., 2015). The amount and character of the interactions is displayed for the individual amino acid residues that interact with ranolazine. |
|
|
Figure 6. Effect of ranolazine on TASK-1 pore mutants. (AâH) Representative current recordings evoked by a test pulse from â80 mV to +20 mV under control conditions and after 30 min incubation with ranolazine. (I) Current inhibition by 300 µM ranolazine on the different TASK-1 pore mutants, **p < 0.01, ***p < 0.001, ****p < 0.0001, one-way ANOVA and post-hoc Bonferroniâs multiple comparisons test of WT vs. the respective mutant. (J, K) TASK-1 homology model based on TREK-1 illustrating the location of amino acid residues included in the mutagenesis screen. (L) Zoom into the inner pore region. (M) Lateral view as in panel (L) but from a different angle [as in panel (K)]. (N) View from inside the cell into the central cavity (CC) of the inner pore. Note how the displayed residues line the central cavity (illustrated in green) of the TASK-1 inner pore. |
|
|
Figure 7. Comparison of the amount of protein–ligand interactions for the docking poses of WT and mutant channels. (A) Total amount and character of protein–ligand interactions of all 20 docking poses for the respective channel variant. (B, C) Boxplots indicating the amount of hydrophobic interactions (B) and hydrogen bonds (C) per docking pose. Boxes indicate the first and third quartile, whiskers indicate the minimum and maximum, bands inside the boxes indicate the median, and + indicates the mean. ##p < 0.01, ####p < 0.0001vs. WT. Note that variant L122A that has been identified as being most relevant for ranolazine binding in the experimental data, also forms the fewest interactions in the in silico simulations. More detailed information on the interaction profiles of ranolazine and the individual mutant variants can be found in Supplementary Figure S3 . |
|
|
Figure 8. Ranolazine binds to the central cavity of the inner pore. (A) View from inside the cell into the central cavity. Ranolazine binds in close proximity to L122 and L239 occluding the lumen of the inner pore. (B) Same view as in (A) but with TASK-1 surface representation illustrating how ranolazine embeds within the inner pore. (C) Zoom into the central cavity illustrating the binding mode and the distance to the residues identified as binding site in the mutagenesis screen. Note that ranolazine does not directly interact with N240. (D) Similar zoom as in panel (C) but from inside the cell. Note that ranolazine interacts with L122 residues from both monomers. |
References [+] :
Antzelevitch,
Electrophysiologic basis for the antiarrhythmic actions of ranolazine.
2011, Pubmed
Antzelevitch, Electrophysiologic basis for the antiarrhythmic actions of ranolazine. 2011, Pubmed
Antzelevitch, Atrial-selective sodium channel block as a novel strategy for the management of atrial fibrillation. 2009, Pubmed
Bagriantsev, Multiple modalities converge on a common gate to control K2P channel function. 2011, Pubmed
Benkert, Toward the estimation of the absolute quality of individual protein structure models. 2011, Pubmed
Bertoni, Modeling protein quaternary structure of homo- and hetero-oligomers beyond binary interactions by homology. 2017, Pubmed
Bittner, TASK1 modulates inflammation and neurodegeneration in autoimmune inflammation of the central nervous system. 2009, Pubmed
Buckler, An oxygen-, acid- and anaesthetic-sensitive TASK-like background potassium channel in rat arterial chemoreceptor cells. 2000, Pubmed
Burashnikov, Atrium-selective sodium channel block as a strategy for suppression of atrial fibrillation: differences in sodium channel inactivation between atria and ventricles and the role of ranolazine. 2007, Pubmed
Carmeliet, Antiarrhythmic drugs and cardiac ion channels: mechanisms of action. 1998, Pubmed
Catterall, Voltage-gated sodium channels at 60: structure, function and pathophysiology. 2012, Pubmed
Caves, Atrial-ventricular differences in rabbit cardiac voltage-gated Na+ currents: Basis for atrial-selective block by ranolazine. 2017, Pubmed
Chen, Position of aromatic residues in the S6 domain, not inactivation, dictates cisapride sensitivity of HERG and eag potassium channels. 2002, Pubmed , Xenbase
Czirják, TASK-3 dominates the background potassium conductance in rat adrenal glomerulosa cells. 2002, Pubmed , Xenbase
Davies, TASK channel deletion in mice causes primary hyperaldosteronism. 2008, Pubmed
Davis, MolProbity: all-atom contacts and structure validation for proteins and nucleic acids. 2007, Pubmed
Decher, Knock-out of the potassium channel TASK-1 leads to a prolonged QT interval and a disturbed QRS complex. 2011, Pubmed
Dobrev, New antiarrhythmic drugs for treatment of atrial fibrillation. 2010, Pubmed
Dong, K2P channel gating mechanisms revealed by structures of TREK-2 and a complex with Prozac. 2015, Pubmed
Donner, Functional role of TASK-1 in the heart: studies in TASK-1-deficient mice show prolonged cardiac repolarization and reduced heart rate variability. 2011, Pubmed
Du, Ranolazine inhibition of hERG potassium channels: drug-pore interactions and reduced potency against inactivation mutants. 2014, Pubmed
Feliciangeli, The family of K2P channels: salient structural and functional properties. 2015, Pubmed
Fredj, Molecular basis of ranolazine block of LQT-3 mutant sodium channels: evidence for site of action. 2006, Pubmed
Gierten, Regulation of two-pore-domain (K2P) potassium leak channels by the tyrosine kinase inhibitor genistein. 2008, Pubmed , Xenbase
Goldstein, Potassium leak channels and the KCNK family of two-P-domain subunits. 2001, Pubmed
Guerra, Ranolazine for rhythm control in atrial fibrillation: A systematic review and meta-analysis. 2017, Pubmed
Gupta, Antiarrhythmic properties of ranolazine: A review of the current evidence. 2015, Pubmed
Hiroe, Tonic block of the Na+ current in single atrial and ventricular guinea-pig myocytes, by a new antiarrhythmic drug, Ro 22-9194. 1997, Pubmed
January, 2014 AHA/ACC/HRS guideline for the management of patients with atrial fibrillation: a report of the American College of Cardiology/American Heart Association Task Force on Practice Guidelines and the Heart Rhythm Society. 2014, Pubmed
Jerling, Clinical pharmacokinetics of ranolazine. 2006, Pubmed
Kiper, Kv1.5 blockers preferentially inhibit TASK-1 channels: TASK-1 as a target against atrial fibrillation and obstructive sleep apnea? 2015, Pubmed , Xenbase
Kirchhof, 2016 ESC Guidelines for the management of atrial fibrillation developed in collaboration with EACTS. 2016, Pubmed
Koizumi, TASK channels contribute to the K+-dominated leak current regulating respiratory rhythm generation in vitro. 2010, Pubmed
Lafuente-Lafuente, Antiarrhythmics for maintaining sinus rhythm after cardioversion of atrial fibrillation. 2015, Pubmed
Lauritzen, K+-dependent cerebellar granule neuron apoptosis. Role of task leak K+ channels. 2003, Pubmed
Lazarenko, Motoneuronal TASK channels contribute to immobilizing effects of inhalational general anesthetics. 2010, Pubmed
Li, Heterogeneity of sodium current in atrial vs epicardial ventricular myocytes of adult guinea pig hearts. 2002, Pubmed
Limberg, TASK-1 channels may modulate action potential duration of human atrial cardiomyocytes. 2011, Pubmed , Xenbase
Lolicato, Transmembrane helix straightening and buckling underlies activation of mechanosensitive and thermosensitive K(2P) channels. 2014, Pubmed , Xenbase
Lolicato, K2P2.1 (TREK-1)-activator complexes reveal a cryptic selectivity filter binding site. 2017, Pubmed , Xenbase
Miles, Comparison of effectiveness and safety of ranolazine versus amiodarone for preventing atrial fibrillation after coronary artery bypass grafting. 2011, Pubmed
Miller, Crystal structure of the human two-pore domain potassium channel K2P1. 2012, Pubmed
Mulkey, TASK channels determine pH sensitivity in select respiratory neurons but do not contribute to central respiratory chemosensitivity. 2007, Pubmed
Nash, Ranolazine for chronic stable angina. 2008, Pubmed
Nesterenko, Mechanisms of atrial-selective block of Na⁺ channels by ranolazine: II. Insights from a mathematical model. 2011, Pubmed
Nguyen, Structural basis for antiarrhythmic drug interactions with the human cardiac sodium channel. 2019, Pubmed
Olschewski, Impact of TASK-1 in human pulmonary artery smooth muscle cells. 2006, Pubmed
Putzke, The acid-sensitive potassium channel TASK-1 in rat cardiac muscle. 2007, Pubmed , Xenbase
Rajamani, Rapid kinetic interactions of ranolazine with HERG K+ current. 2008, Pubmed
Ramírez, Side Fenestrations Provide an "Anchor" for a Stable Binding of A1899 to the Pore of TASK-1 Potassium Channels. 2017, Pubmed
Sakakibara, Characterization of the sodium current in single human atrial myocytes. 1992, Pubmed
Sakakibara, Sodium current in isolated human ventricular myocytes. 1993, Pubmed
Salentin, PLIP: fully automated protein-ligand interaction profiler. 2015, Pubmed
Schmidt, Upregulation of K(2P)3.1 K+ Current Causes Action Potential Shortening in Patients With Chronic Atrial Fibrillation. 2015, Pubmed
Schmidt, Inverse remodelling of K2P3.1 K+ channel expression and action potential duration in left ventricular dysfunction and atrial fibrillation: implications for patient-specific antiarrhythmic drug therapy. 2017, Pubmed
Schmidt, New Targets for Old Drugs: Cardiac Glycosides Inhibit Atrial-Specific K2P3.1 (TASK-1) Channels. 2018, Pubmed , Xenbase
Schmidt, Class I antiarrhythmic drugs inhibit human cardiac two-pore-domain K(+) (K2 ₂p) channels. 2013, Pubmed , Xenbase
Skarsfeldt, pH-dependent inhibition of K₂P3.1 prolongs atrial refractoriness in whole hearts. 2016, Pubmed
Sossalla, Altered Na(+) currents in atrial fibrillation effects of ranolazine on arrhythmias and contractility in human atrial myocardium. 2010, Pubmed
Streit, A specific two-pore domain potassium channel blocker defines the structure of the TASK-1 open pore. 2011, Pubmed , Xenbase
Trott, AutoDock Vina: improving the speed and accuracy of docking with a new scoring function, efficient optimization, and multithreading. 2010, Pubmed
Undrovinas, Ranolazine improves abnormal repolarization and contraction in left ventricular myocytes of dogs with heart failure by inhibiting late sodium current. 2006, Pubmed
Vu, TASK Channels on Basal Forebrain Cholinergic Neurons Modulate Electrocortical Signatures of Arousal by Histamine. 2015, Pubmed
Wang, State- and use-dependent block of muscle Nav1.4 and neuronal Nav1.7 voltage-gated Na+ channel isoforms by ranolazine. 2008, Pubmed
Waterhouse, SWISS-MODEL: homology modelling of protein structures and complexes. 2018, Pubmed
Wiedmann, Identification of the A293 (AVE1231) Binding Site in the Cardiac Two-Pore-Domain Potassium Channel TASK-1: a Common Low Affinity Antiarrhythmic Drug Binding Site. 2019, Pubmed , Xenbase
Wirth, In vitro and in vivo effects of the atrial selective antiarrhythmic compound AVE1231. 2007, Pubmed
Wirth, Atrial effects of the novel K(+)-channel-blocker AVE0118 in anesthetized pigs. 2003, Pubmed
