Click here to close
Hello! We notice that you are using Internet Explorer, which is not supported by Xenbase and may cause the site to display incorrectly.
We suggest using a current version of Chrome,
FireFox, or Safari.
Am J Hum Genet
2019 Dec 05;1056:1294-1301. doi: 10.1016/j.ajhg.2019.10.013.
Show Gene links
Show Anatomy links
Homozygous Null TBX4 Mutations Lead to Posterior Amelia with Pelvic and Pulmonary Hypoplasia.
Kariminejad A, Szenker-Ravi E, Lekszas C, Tajsharghi H, Moslemi AR, Naert T, Tran HT, Ahangari F, Rajaei M, Nasseri M, Haaf T, Azad A, Superti-Furga A, Maroofian R, Ghaderi-Sohi S, Najmabadi H, Abbaszadegan MR, Vleminckx K, Nikuei P, Reversade B.
???displayArticle.abstract???
The development of hindlimbs in tetrapod species relies specifically on the transcription factor TBX4. In humans, heterozygous loss-of-function TBX4 mutations cause dominant small patella syndrome (SPS) due to haploinsufficiency. Here, we characterize a striking clinical entity in four fetuses with complete posterior amelia with pelvis and pulmonary hypoplasia (PAPPA). Through exome sequencing, we find that PAPPA syndrome is caused by homozygous TBX4 inactivating mutations during embryogenesis in humans. In two consanguineous couples, we uncover distinct germline TBX4 coding mutations, p.Tyr113∗ and p.Tyr127Asn, that segregated with SPS in heterozygous parents and with posterior amelia with pelvis and pulmonary hypoplasia syndrome (PAPPAS) in one available homozygous fetus. A complete absence of TBX4 transcripts in this proband with biallelic p.Tyr113∗ stop-gain mutations revealed nonsense-mediated decay of the endogenous mRNA. CRISPR/Cas9-mediated TBX4 deletion in Xenopus embryos confirmed its restricted role during leg development. We conclude that SPS and PAPPAS are allelic diseases of TBX4 deficiency and that TBX4 is an essential transcription factor for organogenesis of the lungs, pelvis, and hindlimbs in humans.
Figure 1 PAPPAS Is Caused by TBX4 Recessive Loss-of-Function Mutations (A) Pedigrees of two consanguineous Iranian families segregating small patella syndrome in heterozygous TBX4 individuals (gray) and posterior amelia with pelvis and pulmonary hypoplasia syndrome (PAPPAS) in homozygous fetuses (black). The identified mutation and the genotype of available family members are indicated in green. Squares, circles, diamonds, and triangles denote males, females, unknown gender individuals, and fetuses, respectively. Open symbols are used for unaffected family members, and deceased individuals are indicated by a diagonal slash through the symbol. Wt, wildtype; mut, mutant; SB, stillbirth; TOP, termination of pregnancy; SAB, spontaneous abortion. (B) Photographs and X-rays of affected fetus IV:5 in Family 1 with a germline homozygous p.Y113X TBX4 mutation. Scale bars: 1 cm. (C) Phylogenetic alignment performed with Clustal O, and position of germline recessive TBX4 mutations in the conserved T-box domain of the transcription factor TBX4. NLS, nuclear localization signal. (D) TBX4 and ACTB RT-PCR analysis on cDNA extracted from forelimb tissues of a control and the F1-IV:5 fetuses indicating complete absence of the endogenous TBX4 transcript in the mutant fetus. bp, base pairs. (E) Xenopus tropicalis crispants show severe hindlimb dysplasia after injection of tbx4_gRNA1 pre-complexed with Cas9 protein in one ventral cell of a four-cell-stage embryo (blue), thereby targeting the ventral lineage unilaterally, i.e. primarily the lateral plate mesoderm and the epidermis. A representative post-metamorphic animal (NF stage 66) injected on the right side is shown; the number of toes is indicated. Scale bar: 0.5 cm, ventral view.
Figure 2 The Heterozygous TBX4 Parents Present with SPS X-ray and photographs of the indicated family members in Family 1 (A) and Family 2 (B). White arrows point to abnormal ischio-pubic junction, and arrowheads point to hypoplastic patellae in both heterozygous parents of the two families. Note the short fourth and fifth rays in the feet of both parents in Family 1 and the mother in Family 2, and the wide gap between the first and second toes in both parents of Family 2.
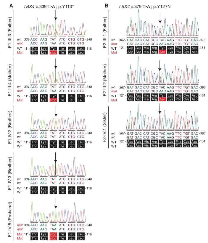
Figure S1: Segregation analysis of causative germline TBX4 mutations. Sanger sequencing of TBX4 mutations in available family members of Family 1 (a) and Family 2 (b). wt: wildtype, mut: mutant.
Figure S2: Phenotype of mildly affected Xenopus tropicalis animals. Representative images of an NF stage 66 adult animal, that had been unilaterally/ventrally injected with Tbx4_gRNA2 and Cas9 protein at the 4-cell stage, stained with alizarin red/alcian blue. Note the dislocated joints (black arrowheads) both at the hip and knee, and the shorter femur of the hindlimb in the injected side (right). Scale bars: 0.2 cm.
Agarwal,
Tbx5 is essential for forelimb bud initiation following patterning of the limb field in the mouse embryo.
2003, Pubmed
Agarwal,
Tbx5 is essential for forelimb bud initiation following patterning of the limb field in the mouse embryo.
2003,
Pubmed Arora,
Multiple roles and interactions of Tbx4 and Tbx5 in development of the respiratory system.
2012,
Pubmed Azouz,
Small patella syndrome: a bone dysplasia to recognize and differentiate from the nail-patella syndrome.
1997,
Pubmed Bamshad,
Mutations in human TBX3 alter limb, apocrine and genital development in ulnar-mammary syndrome.
1997,
Pubmed Basson,
Mutations in human TBX5 [corrected] cause limb and cardiac malformation in Holt-Oram syndrome.
1997,
Pubmed Boel,
BATCH-GE: Batch analysis of Next-Generation Sequencing data for genome editing assessment.
2016,
Pubmed
,
Xenbase Bongers,
Mutations in the human TBX4 gene cause small patella syndrome.
2004,
Pubmed Bongers,
The small patella syndrome: description of five cases from three families and examination of possible allelism with familial patella aplasia-hypoplasia and nail-patella syndrome.
2001,
Pubmed Bruneau,
A murine model of Holt-Oram syndrome defines roles of the T-box transcription factor Tbx5 in cardiogenesis and disease.
2001,
Pubmed Davenport,
Mammary gland, limb and yolk sac defects in mice lacking Tbx3, the gene mutated in human ulnar mammary syndrome.
2003,
Pubmed Dellestable,
The 'small-patella' syndrome. Hereditary osteodysplasia of the knee, pelvis and foot.
1996,
Pubmed Don,
Genetic basis of hindlimb loss in a naturally occurring vertebrate model.
2016,
Pubmed Galambos,
Phenotype characterisation of TBX4 mutation and deletion carriers with neonatal and paediatric pulmonary hypertension.
2019,
Pubmed Ghosh,
T-Box Genes in Human Development and Disease.
2017,
Pubmed Gibson-Brown,
Evidence of a role for T-box genes in the evolution of limb morphogenesis and the specification of forelimb/hindlimb identity.
1996,
Pubmed Glaser,
Tbx4 interacts with the short stature homeobox gene Shox2 in limb development.
2014,
Pubmed Habboub,
Ischio-pubic-patellar hypoplasia: is it a new syndrome?
1997,
Pubmed Haworth,
Canine homolog of the T-box transcription factor T; failure of the protein to bind to its DNA target leads to a short-tail phenotype.
2001,
Pubmed Herrmann,
The T genes in embryogenesis.
1994,
Pubmed
,
Xenbase Karolak,
Heterozygous CTNNB1 and TBX4 variants in a patient with abnormal lung growth, pulmonary hypertension, microcephaly, and spasticity.
2019,
Pubmed Kerstjens-Frederikse,
TBX4 mutations (small patella syndrome) are associated with childhood-onset pulmonary arterial hypertension.
2013,
Pubmed Kircher,
A general framework for estimating the relative pathogenicity of human genetic variants.
2014,
Pubmed Kozlowski,
Small patella syndrome.
1995,
Pubmed Levy,
Genetic analyses in a cohort of children with pulmonary hypertension.
2016,
Pubmed Li,
Holt-Oram syndrome is caused by mutations in TBX5, a member of the Brachyury (T) gene family.
1997,
Pubmed Lin,
The seahorse genome and the evolution of its specialized morphology.
2016,
Pubmed Moreno-Mateos,
CRISPRscan: designing highly efficient sgRNAs for CRISPR-Cas9 targeting in vivo.
2015,
Pubmed
,
Xenbase Morin,
[The coxopodopatellar syndrome].
1985,
Pubmed Naert,
TALENs and CRISPR/Cas9 fuel genetically engineered clinically relevant Xenopus tropicalis tumor models.
2017,
Pubmed
,
Xenbase Naiche,
Loss of Tbx4 blocks hindlimb development and affects vascularization and fusion of the allantois.
2003,
Pubmed Naiche,
Tbx4 is not required for hindlimb identity or post-bud hindlimb outgrowth.
2007,
Pubmed Nimmakayalu,
Microdeletion of 17q22q23.2 encompassing TBX2 and TBX4 in a patient with congenital microcephaly, thyroid duct cyst, sensorineural hearing loss, and pulmonary hypertension.
2011,
Pubmed Papaioannou,
The T-box gene family.
1998,
Pubmed
,
Xenbase Papaioannou,
T-box genes in development: from hydra to humans.
2001,
Pubmed Peterson,
Familial microduplication of 17q23.1–q23.2 involving TBX4 is associated with congenital clubfoot and reduced penetrance in females.
2014,
Pubmed Poznanski,
Comments on the ischio-pubic-patellar syndrome.
1997,
Pubmed Rallis,
Tbx5 is required for forelimb bud formation and continued outgrowth.
2003,
Pubmed Rodriguez-Esteban,
The T-box genes Tbx4 and Tbx5 regulate limb outgrowth and identity.
1999,
Pubmed Sandhaus,
A new patella syndrome.
1987,
Pubmed Schönewolf-Greulich,
Two new cases with microdeletion of 17q23.2 suggest presence of a candidate gene for sensorineural hearing loss within this region.
2011,
Pubmed Scott,
The "small patella" syndrome.
1979,
Pubmed Smith,
T-box genes: what they do and how they do it.
1999,
Pubmed Suhrie,
Neonatal Lung Disease Associated with TBX4 Mutations.
2019,
Pubmed Szafranski,
Phenotypic expansion of TBX4 mutations to include acinar dysplasia of the lungs.
2016,
Pubmed Szenker-Ravi,
RSPO2 inhibition of RNF43 and ZNRF3 governs limb development independently of LGR4/5/6.
2018,
Pubmed
,
Xenbase Takeuchi,
Tbx5 and Tbx4 trigger limb initiation through activation of the Wnt/Fgf signaling cascade.
2003,
Pubmed Takeuchi,
Tbx5 and Tbx4 genes determine the wing/leg identity of limb buds.
1999,
Pubmed Vanĕk,
[Ischiopatellar dysplasia (Scott and Taor's syndrome of the small patella)].
1981,
Pubmed Vickerman,
Shox2 function couples neural, muscular and skeletal development in the proximal forelimb.
2011,
Pubmed