Click here to close
Hello! We notice that you are using Internet Explorer, which is not supported by Xenbase and may cause the site to display incorrectly.
We suggest using a current version of Chrome,
FireFox, or Safari.
Novel Molecule Exhibiting Selective Affinity for GABAA Receptor Subtypes.
Borghese CM, Herman M, Snell LD, Lawrence KJ, Lee HY, Backos DS, Vanderlinden LA, Harris RA, Roberto M, Hoffman PL, Tabakoff B.
???displayArticle.abstract???
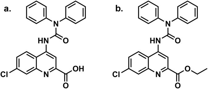
Aminoquinoline derivatives were evaluated against a panel of receptors/channels/transporters in radioligand binding experiments. One of these derivatives (DCUK-OEt) displayed micromolar affinity for brain γ-aminobutyric acid type A (GABAA) receptors. DCUK-OEt was shown to be a positive allosteric modulator (PAM) of GABA currents with α1β2γ2, α1β3γ2, α5β3γ2 and α1β3δ GABAA receptors, while having no significant PAM effect on αβ receptors or α1β1γ2, α1β2γ1, α4β3γ2 or α4β3δ receptors. DCUK-OEt modulation of α1β2γ2 GABAA receptors was not blocked by flumazenil. The subunit requirements for DCUK-OEt actions distinguished DCUK-OEt from other currently known modulators of GABA function (e.g., anesthetics, neurosteroids or ethanol). Simulated docking of DCUK-OEt at the GABAA receptor suggested that its binding site may be at the α + β- subunit interface. In slices of the central amygdala, DCUK-OEt acted primarily on extrasynaptic GABAA receptors containing the α1 subunit and generated increases in extrasynaptic "tonic" current with no significant effect on phasic responses to GABA. DCUK-OEt is a novel chemical structure acting as a PAM at particular GABAA receptors. Given that neurons in the central amygdala responding to DCUK-OEt were recently identified as relevant for alcohol dependence, DCUK-OEt should be further evaluated for the treatment of alcoholism.
Figure 2. DCUK effect on GABA responses. (a) Effect of DCUK compounds on submaximal (EC10) GABA responses of α1β2γ2 GABAA receptors (nâ=â4â5 at each concentration of DCUK compound). (b) Effect of DCUK-OEt on submaximal (EC10) GABA responses of α1β3δ GABAA receptors (nâ=â5â6 at each concentration of DCUK-OEt). (c) Effect of DCUK-OEt (0.3âµM) and escalating GABA concentrations applied to α1β2γ2 and α1β3δ GABAA receptors (nâ=â9 each). GABA concentrations used: 3 and 1âµM for α1β2γ2 and α1β3δ, respectively (~EC10); 30âµM (~EC60); 3âmM (~EC100). (d) DCUK-OEt (0.3 μM) effect in the absence and presence of 20 μM flumazenil (Flu) (nâ=â5 for each condition). Data represent meanâ±âSEM. **pâ<â0.01 compared to α1β2γ2 (one-way ANOVA and post-hoc contrasts).
Figure 3. Predicted docking of DCUK-OEt and DCUKA within extracellular domain interfaces of GABAA receptor subunits. The α subunit is shaded in green, β in cyan and γ in yellow. (a) Extracellular (top down) view of the pentameric GABAA receptor. The interfaces illustrated are αâ+âβ- (alternative site), and αâ+âγ- (benzodiazepine site). (b) DCUK-OEt and (c) DCUKA within the alternative site (αâ+âβ-). DCUK-OEt is represented by orange sticks and DCUKA is represented by pink sticks. (d) DCUKA and (e) DCUK-OEt within the benzodiazepine site (αâ+âγ-). Dashed lines indicate predicted non-bond interactions (greenâ=âH-bonds, orangeâ=âelectrostatic or Ï-cation/anion, magentaâ=âÏ-Ï, purpleâ=âÏ-Ï, pinkâ=âhydrophobic).
Figure 4. DCUK-OEt potentiates tonic currents in medialCeA neurons. (a and b) Focal application of DCUK-OEt (0.5âµM) significantly increased the holding current in medialCeA neurons (*pâ<â0.05, paired t-test). (c) No change was evident in frequency, amplitude, rise and decay of mIPSPs with focal application of DCUK-OEt. (d) Correlation of magnitude of increase in tonic current produced by 0.5âμM DCUK-OEt with reduction of current by subsequent application of 100 μM gabazine. To demonstrate that changes in holding current were due to increases in tonic signaling, the GABAA receptor antagonist gabazine (GBZ) (100âμM) was focally applied following DCUK-OEt application. For all graphs, nâ=â11 cells.
Baumann,
Individual properties of the two functional agonist sites in GABA(A) receptors.
2003, Pubmed,
Xenbase
Baumann,
Individual properties of the two functional agonist sites in GABA(A) receptors.
2003,
Pubmed
,
Xenbase Baur,
On high- and low-affinity agonist sites in GABAA receptors.
2003,
Pubmed
,
Xenbase Belelli,
The influence of subunit composition on the interaction of neurosteroids with GABA(A) receptors.
2002,
Pubmed
,
Xenbase Belelli,
The interaction of the general anesthetic etomidate with the gamma-aminobutyric acid type A receptor is influenced by a single amino acid.
1997,
Pubmed
,
Xenbase Besnard,
Automated design of ligands to polypharmacological profiles.
2012,
Pubmed Bianchi,
Neurosteroids shift partial agonist activation of GABA(A) receptor channels from low- to high-efficacy gating patterns.
2003,
Pubmed Borghese,
The delta subunit of gamma-aminobutyric acid type A receptors does not confer sensitivity to low concentrations of ethanol.
2006,
Pubmed
,
Xenbase Borghese,
GABA(A) receptor transmembrane amino acids are critical for alcohol action: disulfide cross-linking and alkyl methanethiosulfonate labeling reveal relative location of binding sites.
2014,
Pubmed
,
Xenbase Brickley,
Extrasynaptic GABA(A) receptors: their function in the CNS and implications for disease.
2012,
Pubmed Carver,
Neurosteroid interactions with synaptic and extrasynaptic GABA(A) receptors: regulation of subunit plasticity, phasic and tonic inhibition, and neuronal network excitability.
2013,
Pubmed Cheng,
Relationship between the inhibition constant (K1) and the concentration of inhibitor which causes 50 per cent inhibition (I50) of an enzymatic reaction.
1973,
Pubmed de Guglielmo,
Recruitment of a Neuronal Ensemble in the Central Nucleus of the Amygdala Is Required for Alcohol Dependence.
2016,
Pubmed Desai,
Gamma-amino butyric acid type A receptor mutations at beta2N265 alter etomidate efficacy while preserving basal and agonist-dependent activity.
2009,
Pubmed
,
Xenbase Esmaeili,
GABAA receptors containing gamma1 subunits contribute to inhibitory transmission in the central amygdala.
2009,
Pubmed Eswar,
Protein structure modeling with MODELLER.
2008,
Pubmed Farrant,
Variations on an inhibitory theme: phasic and tonic activation of GABA(A) receptors.
2005,
Pubmed Feig,
Performance comparison of generalized born and Poisson methods in the calculation of electrostatic solvation energies for protein structures.
2004,
Pubmed Feng,
Etomidate produces similar allosteric modulation in α1β3δ and α1β3γ2L GABA(A) receptors.
2014,
Pubmed
,
Xenbase Forman,
Clinical and molecular pharmacology of etomidate.
2011,
Pubmed Fujimura,
Differential expression of GABA(A) receptor subunits in the distinct nuclei of the rat amygdala.
2005,
Pubmed Glykys,
The main source of ambient GABA responsible for tonic inhibition in the mouse hippocampus.
2007,
Pubmed Glykys,
A new naturally occurring GABA(A) receptor subunit partnership with high sensitivity to ethanol.
2007,
Pubmed Haefely,
Antagonists of benzodiazepines: functional aspects.
1983,
Pubmed Hanchar,
Alcohol effects on gamma-aminobutyric acid type A receptors: are extrasynaptic receptors the answer?
2004,
Pubmed Herman,
The addicted brain: understanding the neurophysiological mechanisms of addictive disorders.
2015,
Pubmed Herman,
Novel subunit-specific tonic GABA currents and differential effects of ethanol in the central amygdala of CRF receptor-1 reporter mice.
2013,
Pubmed Hörtnagl,
Patterns of mRNA and protein expression for 12 GABAA receptor subunits in the mouse brain.
2013,
Pubmed Jin,
Expression of specific ionotropic glutamate and GABA-A receptor subunits is decreased in central amygdala of alcoholics.
2014,
Pubmed Jones-Davis,
Structural determinants of benzodiazepine allosteric regulation of GABA(A) receptor currents.
2005,
Pubmed Koska,
Fully automated molecular mechanics based induced fit protein-ligand docking method.
2008,
Pubmed Li,
Identification of a GABAA receptor anesthetic binding site at subunit interfaces by photolabeling with an etomidate analog.
2006,
Pubmed Liu,
Etomidate uniquely modulates the desensitization of recombinant α1β3δ GABA(A) receptors.
2015,
Pubmed Lovinger,
Tonic for what ails us? high-affinity GABAA receptors and alcohol.
2007,
Pubmed Majewska,
Interaction of ethanol with the GABAA receptor in the rat brain: possible involvement of endogenous steroids.
1988,
Pubmed McCracken,
A transmembrane amino acid in the GABAA receptor β2 subunit critical for the actions of alcohols and anesthetics.
2010,
Pubmed
,
Xenbase McKernan,
Photoaffinity labeling of the benzodiazepine binding site of alpha1beta3gamma2 gamma-aminobutyric acidA receptors with flunitrazepam identifies a subset of ligands that interact directly with His102 of the alpha subunit and predicts orientation of these within the benzodiazepine pharmacophore.
1998,
Pubmed Mennerick,
Selective antagonism of 5alpha-reduced neurosteroid effects at GABA(A) receptors.
2004,
Pubmed
,
Xenbase Mihic,
Anaesthetic concentrations of alcohols potentiate GABAA receptor-mediated currents: lack of subunit specificity.
1994,
Pubmed
,
Xenbase Mihic,
Sites of alcohol and volatile anaesthetic action on GABA(A) and glycine receptors.
1997,
Pubmed
,
Xenbase Milenkovic,
The parvalbumin-positive interneurons in the mouse dentate gyrus express GABAA receptor subunits α1, β2, and δ along their extrasynaptic cell membrane.
2013,
Pubmed Miller,
Crystal structure of a human GABAA receptor.
2014,
Pubmed Newell,
Functional consequences of the loss of high affinity agonist binding to gamma-aminobutyric acid type A receptors. Implications for receptor desensitization.
2002,
Pubmed
,
Xenbase Nusser,
Immunocytochemical localization of the alpha 1 and beta 2/3 subunits of the GABAA receptor in relation to specific GABAergic synapses in the dentate gyrus.
1995,
Pubmed Olsen,
Analysis of γ-aminobutyric acid (GABA) type A receptor subtypes using isosteric and allosteric ligands.
2014,
Pubmed Olsen,
GABA(A) receptors as molecular targets of general anesthetics: identification of binding sites provides clues to allosteric modulation.
2011,
Pubmed Olsen,
GABA A receptors: subtypes provide diversity of function and pharmacology.
2009,
Pubmed Pirker,
GABA(A) receptors: immunocytochemical distribution of 13 subunits in the adult rat brain.
2000,
Pubmed Ramerstorfer,
The GABAA receptor alpha+beta- interface: a novel target for subtype selective drugs.
2011,
Pubmed
,
Xenbase Richter,
Diazepam-bound GABAA receptor models identify new benzodiazepine binding-site ligands.
2012,
Pubmed Rudolph,
Beyond classical benzodiazepines: novel therapeutic potential of GABAA receptor subtypes.
2011,
Pubmed Sanna,
Differential subunit dependence of the actions of the general anesthetics alphaxalone and etomidate at gamma-aminobutyric acid type A receptors expressed in Xenopus laevis oocytes.
1997,
Pubmed
,
Xenbase Sieghart,
A novel GABA(A) receptor pharmacology: drugs interacting with the α(+) β(-) interface.
2012,
Pubmed Sigel,
Structure, function, and modulation of GABA(A) receptors.
2012,
Pubmed Skolnick,
Anxioselective anxiolytics: on a quest for the Holy Grail.
2012,
Pubmed Smith,
Deduction of amino acid residues in the GABA(A) receptor alpha subunits photoaffinity labeled with the benzodiazepine flunitrazepam.
2000,
Pubmed Snell,
Novel structure having antagonist actions at both the glycine site of the N-methyl-D-aspartate receptor and neuronal voltage-sensitive sodium channels: biochemical, electrophysiological, and behavioral characterization.
2000,
Pubmed
,
Xenbase Stewart,
Mutations at beta N265 in γ-aminobutyric acid type A receptors alter both binding affinity and efficacy of potent anesthetics.
2014,
Pubmed
,
Xenbase Tabakoff,
A novel substituted aminoquinoline selectively targets voltage-sensitive sodium channel isoforms and NMDA receptor subtypes and alleviates chronic inflammatory and neuropathic pain.
2016,
Pubmed Thompson,
Barbiturate interactions at the human GABAA receptor: dependence on receptor subunit combination.
1996,
Pubmed
,
Xenbase Ueno,
Bicuculline and gabazine are allosteric inhibitors of channel opening of the GABAA receptor.
1997,
Pubmed Verleye,
Effects of etifoxine on ligand binding to GABA(A) receptors in rodents.
2002,
Pubmed Wang,
Inhibition of neuronal Na+ channels by the novel antiepileptic compound DCUKA: identification of the diphenylureido moiety as an inactivation modifier.
2002,
Pubmed Wilcox,
CoMFA-based prediction of agonist affinities at recombinant wild type versus serine to alanine point mutated D2 dopamine receptors.
2000,
Pubmed Wingrove,
The modulatory action of loreclezole at the gamma-aminobutyric acid type A receptor is determined by a single amino acid in the beta 2 and beta 3 subunit.
1994,
Pubmed
,
Xenbase Wu,
Detailed analysis of grid-based molecular docking: A case study of CDOCKER-A CHARMm-based MD docking algorithm.
2003,
Pubmed