|
Fig. 1. Expression profiles of all hoxa genes by RNA-seq.
Graphs were retrieved from the expression profile database
(http://genomics.crick.ac.uk/apps/profiles/), during the first 66 hours post fertilization (hpf) (A and B) or 20 hpf (C). Numbers indicate the PG of the hoxa genes. Red lines are drawn at the 200,000, 100,000, 50,000, and 10,000 transcripts per embryo to determine the order of accumulation (shown in Table 1). The colored regions mark Gaussian process 95% confidence intervals for each gene in (C), which show that genes reached certain numbers of transcripts simultaneously, or the precise order cannot be determined. |
|
Fig. 2 Expression analyses of housekeeping genes prps1 and dicer1 by qPCR.
Primer pairs amplifying spliced transcripts (ee, mature RNA) or pre-spliced (de novo)
transcripts (ei, precursor RNA) were used. Copy numbers per reaction were calculated and normalized taking the highest amount as 1. RT(-) are control qPCR trials for each primer sets using RNA as templates (represented in black). The timing of midblastula transition (MBT) is indicated. |
|
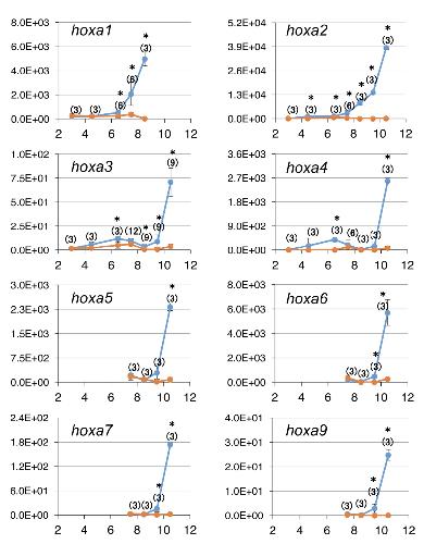
Fig. 3. Expression analyses of hox genes by qPCR. [part 1]
Primer pairs amplifying pre-spliced (de novo) transcripts for each gene were used for qPCR. Average copy numbers per reaction and SD (bars) are shown for RT+ (blue) and RT- (orange) samples. The x-axis represents hpf. Numbers in parentheses are the number of trials, asterisks indicate significant difference between RT+ and RT- samples of the same stage. |
|
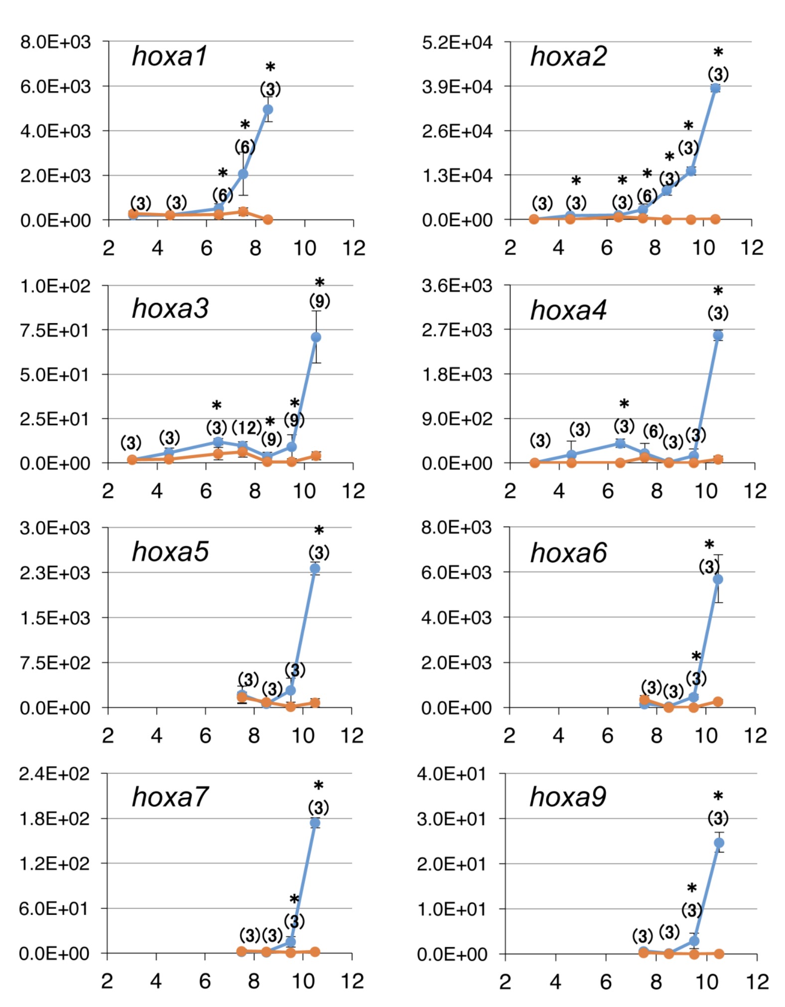
Fig. 3. Expression analyses of hox genes by qPCR. [part 2]
Primer pairs amplifying pre-spliced (de novo) transcripts for each gene were used for qPCR. Average copy numbers per reaction and SD (bars) are shown for RT+ (blue) and RT- (orange) samples. The x-axis represents hpf. Numbers in parentheses are the number of trials, asterisks indicate significant difference between RT+ and RT- samples of the same stage. |
|
Fig. 3. Expression analyses of hox genes by qPCR. [part 3]
Primer pairs amplifying pre-spliced (de novo) transcripts for each gene were used for qPCR. Average copy numbers per reaction and SD (bars) are shown for RT+ (blue) and RT- (orange) samples. The x-axis represents hpf. Numbers in parentheses are the number of trials, asterisks indicate significant difference between RT+ and RT- samples of the same stage. |
|
Fig. 4. Epigenetic and Pol II marks on the Hox clusters.
(A) HoxA. H3K4me3 marks were first prominent on hoxa1 and hoxa2 at stage 10.5 (magenta box). These marks are later at stage 16 found on a wide region of the cluster (blue). Pol II (RNAPII) marks were prominent on the entire hoxa region at stage12 onward (yellow), and the levels are higher on hoxa1 and hoxa2 than the others at stage 12. (B) HoxB. H3K4me3 marks was prominent on hoxb2 to hoxb9 from early stages (stages 8-10.5) onward (blue), but at stage 12, those on hoxb1 were relatively higher than the others, which may correspond to the qPCR results (see Table 2). RNAPII marks were apparent on all hoxb genes from stage 12 with no distinct order (yellow), inconsistent with the qPCR data. (C) HoxC. H3K4me3 marks were first conspicuous on hoxc13 at early stages (magenta). The marks covered all hoxc genes between stage 12 and stage 16 (blue), inconsistent with the difference of initiation timing between hoxc3 and hoxc6. Salient RNAPII marks were on hoxc3 to 10 (yellow), earlier than hoxc11 to 13 (green). RNAPII marks appeared to be relatively higher on hoxc6 than hoxc3 at stage 12, supporting the qPCR data. (D) HoxD. H3K4me3 marks were prominent on hoxd1 (magenta), but almost no marks were on hoxd3 to hoxd13 at any stages. Increase of RNAPII binding on the HoxD cluster may be divided into three parts, hoxd1 at stages 10.5 and 12 (green), followed by hoxd3 to 8 (blue), then hoxd9 to 13 (yellow), corresponding to the qPCR data of hoxd1 and hoxd3. The ordinate represents mapped sequence read counts (see Experimental Procedures). Gene models for primary transcripts were shown on the top of panels. |
|
Fig. S1. Expression profiles of hoxb, hoxc, and hoxd genes by RNA-seq. [A B C]
Expression profiles all hoxb (A-C), hoxc (D-F), and hoxd (G-I) genes retrieved from the expression profile database (http://genomics.crick.ac.uk/apps/profiles/). PG numbers are indicated. Red lines are drawn at the 200,000, 100,000, 50,000, and 10,000 transcripts per embryo (shown in Table 1). The colored regions mark Gaussian process 95% confidence intervals for each gene in (C), (F) and (I), which show that genes reached certain numbers of transcripts simultaneously, or the precise order cannot be determined. |
|
Fig. S1. Expression profiles of hoxb, hoxc, and hoxd genes by RNA-seq. [D E F}
Expression profiles all hoxb (A-C), hoxc (D-F), and hoxd (G-I) genes retrieved from the expression profile database (http://genomics.crick.ac.uk/apps/profiles/). PG numbers are indicated. Red lines are drawn at the 200,000, 100,000, 50,000, and 10,000 transcripts per embryo (shown in Table 1). The colored regions mark Gaussian process 95% confidence intervals for each gene in (C), (F) and (I), which show that genes reached certain numbers of transcripts simultaneously, or the precise order cannot be determined. |
|
Fig. S1. Expression profiles of hoxb, hoxc, and hoxd genes by RNA-seq. [G H I]
Expression profiles all hoxb (A-C), hoxc (D-F), and hoxd (G-I) genes retrieved from the expression profile database (http://genomics.crick.ac.uk/apps/profiles/). PG numbers are indicated. Red lines are drawn at the 200,000, 100,000, 50,000, and 10,000 transcripts per embryo (shown in Table 1). The colored regions mark Gaussian process 95% confidence intervals for each gene in (C), (F) and (I), which show that genes reached certain numbers of transcripts simultaneously, or the precise order cannot be determined. |
|
Fig. S2. Expression profiles of two housekeeping genes, prps1 and dicer1.
Expression profiles of two housekeeping genes, prps1 and dicer1, by RNA-seq (A)
(Owens et al., 2016) and by qPCR (B) are shown. ee, mature RNA. ei, precursor RNA.
The RNA-seq data was retrieved from http://genomics.crick.ac.uk/apps/profiles/. qPCR for all primer sets were performed with RT- samples (represented in black) to detect traces of contaminated genomic DNA. The copy numbers of pre-spliced prps1 (ei) (magenta) were also low, but reached to about 20000 transcripts per reaction at 18.5 hpf. The amount of total RNA extracted per embryo was not different among stages, and the same amount of RNA was used per qPCR reaction. Therefore, the expression profiles of prps1 and dicer1 from RNA-seq and qPCR (ee) are directly comparable. |
|
Fig. S3. Expression analyses of hox genes by qPCR. [part 1]
RT-qPCR was performed for 11 hox genes, and the sample sizes are shown in parentheses, between 3 and 12 replicates, and copy numbers per reaction are shown for RT+ (blue) and RT- (orange) samples. The x-axis represents hpf. |
|
Fig. S3. Expression analyses of hox genes by qPCR. [part 2]
RT-qPCR was performed for 11 hox genes, and the sample sizes are shown in parentheses, between 3 and 12 replicates, and copy numbers per reaction are shown for RT+ (blue) and RT- (orange) samples. The x-axis represents hpf. |
|
Fig. S3. Expression analyses of hox genes by qPCR. [part 3]
RT-qPCR was performed for 11 hox genes, and the sample sizes are shown in parentheses, between 3 and 12 replicates, and copy numbers per reaction are shown for RT+ (blue) and RT- (orange) samples. The x-axis represents hpf. |
|
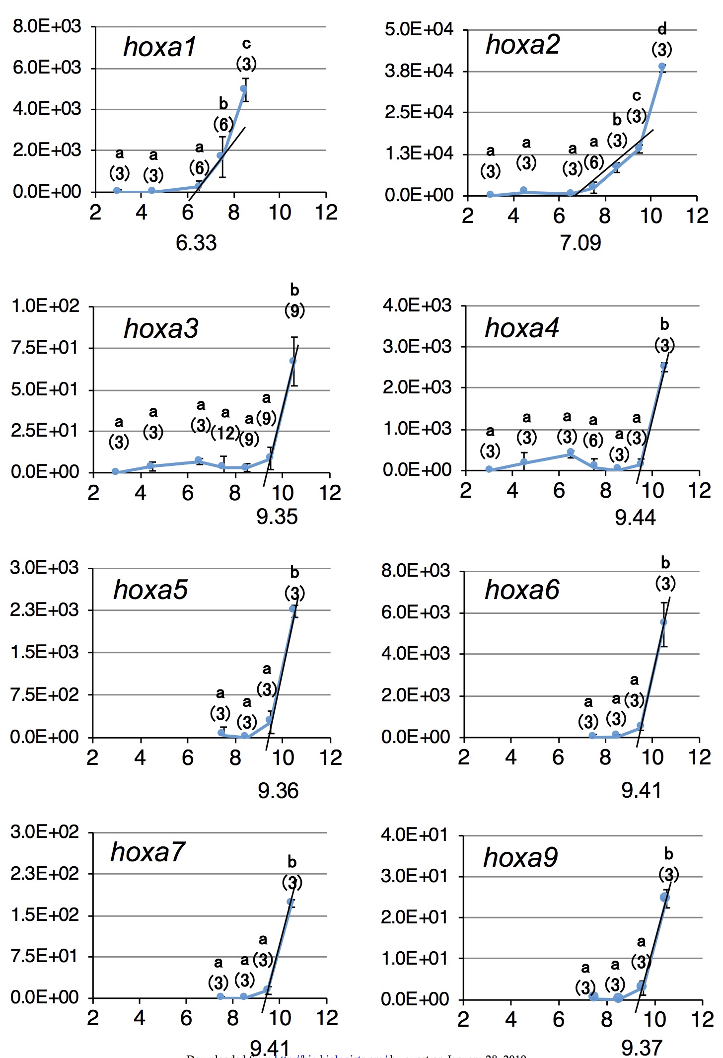
Fig. S4. Expression analyses of hox genes by qPCR. [part 1]
Using the same data sets of qPCR as Fig. 3 or Fig. S3, the numbers of de novo synthesized transcripts were calculated. The data was analyzed using the Tukey-Kramer test and compared. Significant differences among data points are indicated in lowercase alphabets (for example, b represents significantly different from a, while no significant difference was detected between the same alphabets). Two consecutive data points which show significant differences were connected and the intercept to the x-axis (time) was calculated as the onset of active transcription, except for hoxc3, where three points (10, 11.5, and 12.5 hpf) were used for the calculation (see Experimental
Procedures). |
|
Fig. S4. Expression analyses of hox genes by qPCR. [part2]
Using the same data sets of qPCR as Fig. 3 or Fig. S3, the numbers of de novo synthesized transcripts were calculated. The data was analyzed using the Tukey-Kramer test and compared. Significant differences among data points are indicated in lowercase alphabets (for example, b represents significantly different from a, while no significant difference was detected between the same alphabets). Two consecutive data points which show significant differences were connected and the intercept to the x-axis (time) was calculated as the onset of active transcription, except for hoxc3, where three points (10, 11.5, and 12.5 hpf) were used for the calculation (see Experimental
Procedures). |
|
Fig. S4. Expression analyses of hox genes by qPCR. [part3]
Using the same data sets of qPCR as Fig. 3 or Fig. S3, the numbers of de novo synthesized transcripts were calculated. The data was analyzed using the Tukey-Kramer test and compared. Significant differences among data points are indicated in lowercase alphabets (for example, b represents significantly different from a, while no significant difference was detected between the same alphabets). Two consecutive data points which show significant differences were connected and the intercept to the x-axis (time) was calculated as the onset of active transcription, except for hoxc3, where three points (10, 11.5, and 12.5 hpf) were used for the calculation (see Experimental
Procedures). |
|
Fig. S5. Simulation of hypothetical genes expressed in the order of temporal collinearity.
Simulation of the time course of de novo expression of two or three hox genes 1 (magenta), 2 (blue), and 3 (yellow) in two tissues (X and Y, left and middle panels) and in the whole embryo (the sum of tissues X and Y, right panels) are depicted, assuming genes start expression in the order according to the temporal collinearity hypothesis, from gene 1 to 3 (anterior to posterior), and expression starts in tissue X earlier than tissue Y. x-axis, time (t); y-axis, the number of transcripts (normalized by the highest value as 1); vertical arrows in left and middle panels, the late expression in tissue X or Y compared to the other; oblique arrows in the right-most panel, the start point of cumulative expression (thick lines); solid horizontal lines, a detectable number of transcripts; dashed horizontal lines, detection limits; asterisks, the crossing point of transcript number between genes.
(A) Simple monotonous increment of de novo transcripts in all genes. The anterior
gene 1 always reaches a detectable number (horizontal lines) earlier than the posterior gene 2. (B) Non-monotonous increment of de novo transcripts in tissue Y. In tissue Y, the order to reach a higher number (a) is reversed after the crossing point (asterisks) than a low number (b). This is the same in a whole embryo (c vs d). (C) Different timing of initial transcription of three genes in tissues X and Y. The three genes in tissue Y start to be transcribed between the start of expression of gene 1 and 2 in tissue X. In the whole embryo, the order that gene transcripts reach a high number (e) or a lower number (f) are the same, matching the order of genes. |