Click here to close
Hello! We notice that you are using Internet Explorer, which is not supported by Xenbase and may cause the site to display incorrectly.
We suggest using a current version of Chrome,
FireFox, or Safari.
???displayArticle.abstract??? Thyroid hormones (THs) induce metamorphosis in amphibians, causing dynamic changes, whereas mammalian newborns undergo environmental transition from placenta to open air at birth. The similarity between amphibian metamorphosis and the mammalian perinatal periods has been repeatedly discussed. However, a corresponding developmental gene expression analysis has not yet been reported. In this study, we examined the developmental gene expression profiles in the brain and liver of Xenopus tropicalis during metamorphosis climax and compared them to the respective gene expression profiles of newborn rodents. Many upregulated genes identified in the tadpolebrain during metamorphosis are also upregulated in the rodent brain during the first three postnatal weeks when the TH surge occurs. The upregulation of some genes in the brain was inhibited in thyroid hormone receptor α (TRα) knockout tadpoles but not in TRβ-knockout tadpoles, implying that brain metamorphosis is mainly mediated by TRα. The expression of some genes was also increased in the liver during metamorphosis climax. Our data suggest that the rodent brain undergoes TH-dependent remodeling during the first three postnatal weeks as observed in X. tropicalis during the larva-to-adult metamorphosis.
25430089 A Grant-in-Aid for Scientific Research from the Ministry of Education, Culture, Sports, Science and Technology, Japan, 26440057 A Grant-in-Aid for Scientific Research from the Ministry of Education, Culture, Sports, Science and Technology, Japan
Figure 1
Developmental expression of neural tissueârelated genes in the X. tropicalis brain. qRTâPCR was conducted using total cellular brain RNA and geneâspecific primers (Supporting Information Table S2). The relative mRNA expression level of the indicated gene to EFâ1α mRNA is presented. Data are expressed as mean ± SD (biological replicate number = 5â7)
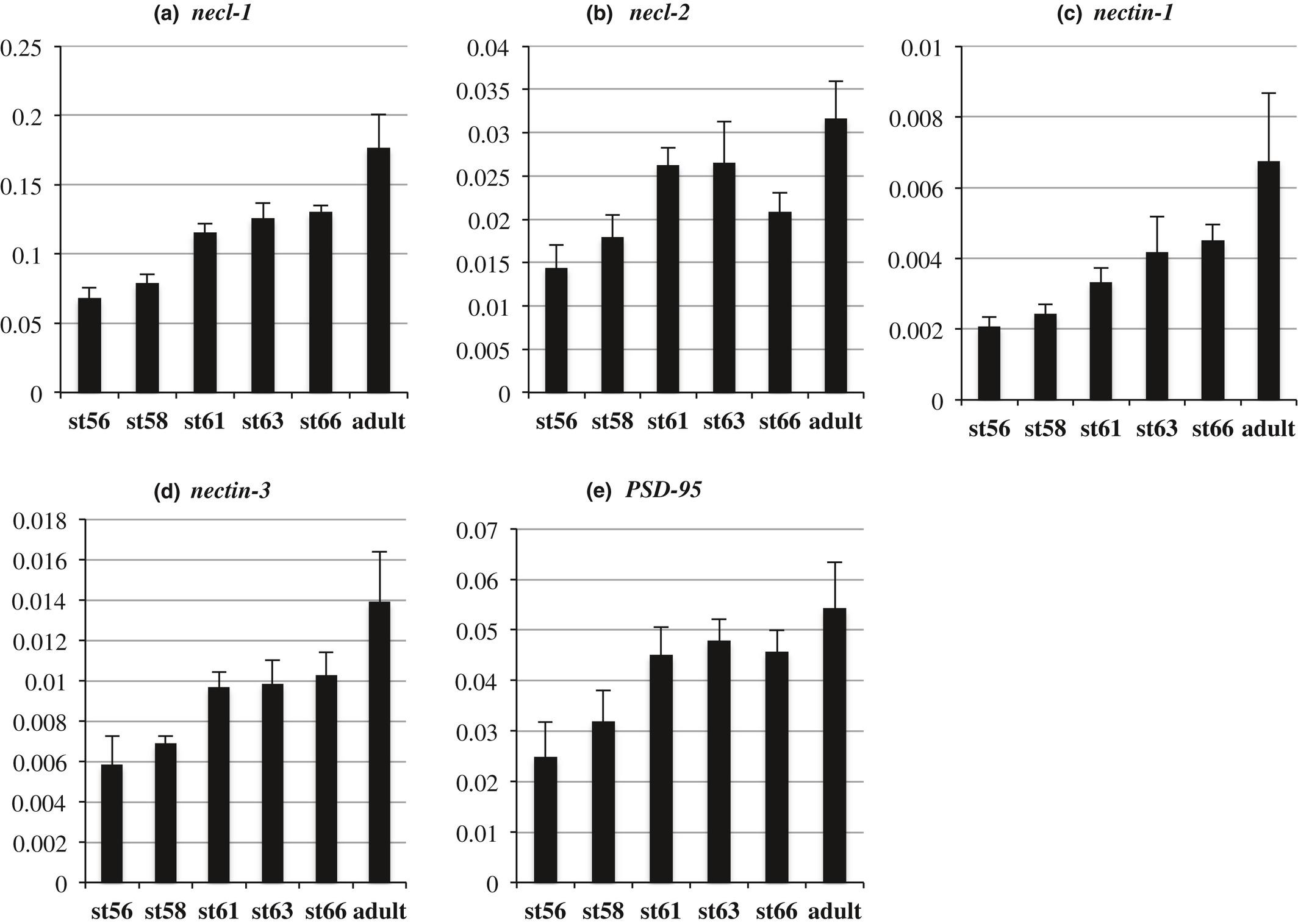
Figure 2
Developmental expression of synapseârelated genes in the X. tropicalis brain. qRTâPCR was conducted using total cellular brain RNA and geneâspecific primers (Supporting Information Table S2). The relative mRNA expression level of the indicated gene to EFâ1α mRNA is presented. Data are expressed as mean ± SD (biological replicate number = 5â7)
Figure 3
Expression of neural tissueârelated and synapseârelated genes in the brain of NF stage 61 wildâtype and TRâknockout tadpoles. Total cellular RNA was extracted from brains of NF stage 61 wildâtype, TRαâknockout, and TRβâknockout tadpoles, and qRTâPCR was conducted using geneâspecific primers (Supporting Information Table S2). The relative mRNA expression level of the indicated gene to EFâ1α mRNA is presented. Data are expressed as mean ± SD. Biological replicate numbers of wildâtype, TRαâknockout, and TRβâknockout brain samples are five, five, and four, respectively. Statistical significance by comparison of TRαâknockout tadpoles with wildâtype and TRβâknockout tadpoles were assessed using the Tukey's test. *p < 0.05, **p < 0.01
Figure 4
Developmental expression of albumin and urea cycle enzyme genes in liver of X. tropicalis. qRTâPCR was conducted using total cellular liver RNA and geneâspecific primers (Supporting Information Table S2). The relative mRNA expression level of the indicated gene to EFâ1α mRNA is represented. Data are expressed as mean ± SD (biological replicate number = 4â6)
Figure 5
Developmental expression of TRα and TRβ genes in the brain and liver of X. tropicalis. qRTâPCR was conducted using total cellular brain and liver RNAs and geneâspecific primers (Supporting Information Table S2). The relative mRNA expression level of the indicated gene to EFâ1α mRNA is presented. Data are expressed as mean ± SD. The biological replicate numbers are 5â7 (a, b) and 4â6 (c, d)
Supplementary Figure 1. Expression of neural tissue-related genes in the brains of stage-61 wild-type and
TR-knockout tadpoles. Total cellular RNA was extracted from brains of NF stage-61 wild-type, TRα knockout,
and TRβ knockout tadpoles, and qRT-PCR was conducted using gene-specific primers (Table S2 in Supporting
Information). The relative mRNA expression level of the indicated gene to EF-1α mRNA is presented. Data are
expressed as mean ± SD. Biological replicate numbers of wild-type, TRα-knockout, and TRβ-knockout brain
samples are five, five, and four, respectively.
Supplementary Figure 2. Developmental expression of albumin and urea cycle enzyme genes in liver
of R. catesbeiana. qRT-PCR was conducted using total cellular liver RNA and gene-specific primers (Table
S2 in Supporting Information). Tadpoles were staged according to the Nieukoop and Faber method. The
relative mRNA expression level of the indicated gene to EF-1α mRNA is represented.