Click here to close Hello! We notice that you are using Internet Explorer, which is not supported by Xenbase and may cause the site to display incorrectly. We suggest using a current version of Chrome, FireFox, or Safari.
XB-ART-55331
Nat Commun 2016 May 26;7:11701. doi: 10.1038/ncomms11701.
Show Gene links Show Anatomy links

Dynamic heterogeneity and non-Gaussian statistics for acetylcholine receptors on live cell membrane.

He W, Song H, Su Y, Geng L, Ackerson BJ, Peng HB, Tong P.


???displayArticle.abstract???
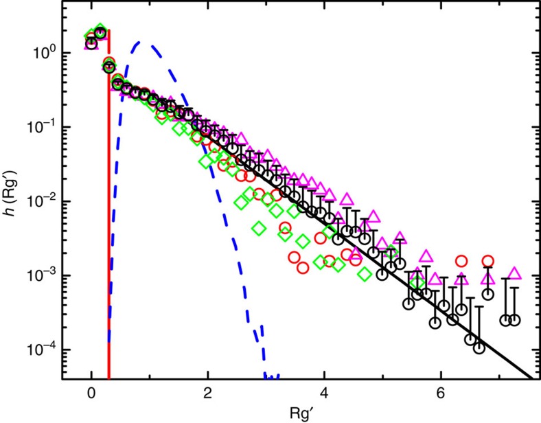
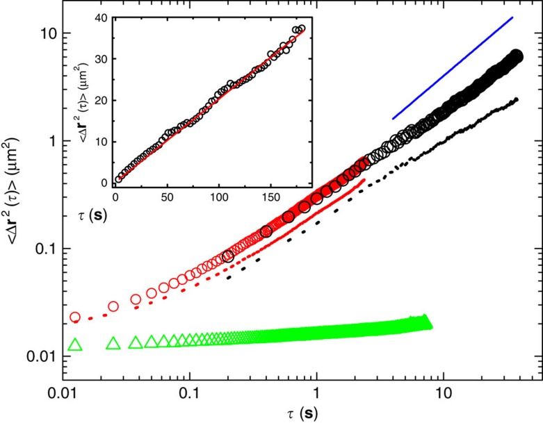
The Brownian motion of molecules at thermal equilibrium usually has a finite correlation time and will eventually be randomized after a long delay time, so that their displacement follows the Gaussian statistics. This is true even when the molecules have experienced a complex environment with a finite correlation time. Here, we report that the lateral motion of the acetylcholine receptors on live muscle cell membranes does not follow the Gaussian statistics for normal Brownian diffusion. From a careful analysis of a large volume of the protein trajectories obtained over a wide range of sampling rates and long durations, we find that the normalized histogram of the protein displacements shows an exponential tail, which is robust and universal for cells under different conditions. The experiment indicates that the observed non-Gaussian statistics and dynamic heterogeneity are inherently linked to the slow-active remodelling of the underlying cortical actin network.

???displayArticle.pubmedLink??? 27226072
???displayArticle.pmcLink??? PMC4894960
???displayArticle.link??? Nat Commun


Genes referenced: pdf


???attribute.lit??? ???displayArticles.show???
References [+] :
Alcor, Single-particle tracking methods for the study of membrane receptors dynamics. 2009, Pubmed