Click here to close
Hello! We notice that you are using Internet Explorer, which is not supported by Xenbase and may cause the site to display incorrectly.
We suggest using a current version of Chrome,
FireFox, or Safari.
Drug Des Devel Ther
2018 Apr 30;12:1019-1031. doi: 10.2147/DDDT.S157104.
Show Gene links
Show Anatomy links
Symmetric dimeric adamantanes for exploring the structure of two viroporins: influenza virus M2 and hepatitis C virus p7.
Mandour YM, Breitinger U, Ma C, Wang J, Boeckler FM, Breitinger HG, Zlotos DP.
???displayArticle.abstract???
Background: Adamantane-based compounds have been identified to interfere with the ion-channel activity of viroporins and thereby inhibit viral infection. To better understand the difference in the inhibition mechanism of viroporins, we synthesized symmetric dimeric adamantane analogs of various alkyl-spacer lengths.
Methods: Symmetric dimeric adamantane derivatives were synthesized where two amantadine or rimantadine molecules were linked by various alkyl-spacers. The inhibitory activity of the compounds was studied on two viroporins: the influenza virus M2 protein, expressed in Xenopus oocytes, using the two-electrode voltage-clamp technique, and the hepatitis C virus (HCV) p7 channels for five different genotypes (1a, 1b, 2a, 3a, and 4a) expressed in HEK293 cells using whole-cell patch-clamp recording techniques.
Results: Upon testing on M2 protein, dimeric compounds showed significantly lower inhibitory activity relative to the monomeric amantadine. The lack of channel blockage of the dimeric amantadine and rimantadine analogs against M2 wild type and M2-S31N mutant was consistent with previously proposed drug-binding mechanisms and further confirmed that the pore-binding model is the pharmacologically relevant drug-binding model. On the other hand, these dimers showed similar potency to their respective monomeric analogs when tested on p7 protein in HCV genotypes 1a, 1b, and 4a while being 700-fold and 150-fold more potent than amantadine in genotypes 2a and 3a, respectively. An amino group appears to be important for inhibiting the ion-channel activity of p7 protein in genotype 2a, while its importance was minimal in all other genotypes.
Conclusion: Symmetric dimeric adamantanes can be considered a prospective class of p7 inhibitors that are able to address the differences in adamantane sensitivity among the various genotypes of HCV.
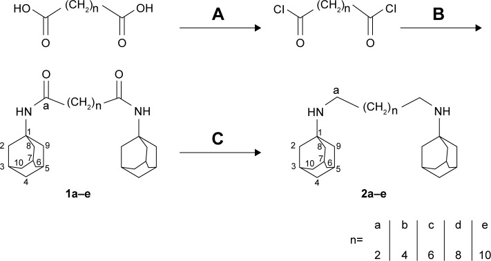
Figure 1. Synthetic scheme for the preparation of compounds 2a–e.Notes: Reaction conditions: (A) oxalyl chloride, catalytic dimethylformamide, CHCl3, 4 hours; (B) amantadine, triethylamine, CHCl3, 16 hours; (C) 1 M borane–tetrahydrofuran complex, reflux 9 hours.
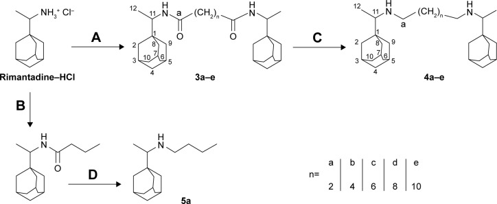
Figure 2. Synthetic scheme for the preparation of compounds 4a–e.Notes: Reaction conditions: (A) HO2C-(CH2)n-CO2H, 1-ethyl-3-(3-dimethylaminopropyl)carbodiimide HCl, hydroxybenzotriazole, diisopropylethylamine in THF, 16 hours; (B) butyric acid, 1-ethyl-3-(3-dimethylaminopropyl)carbodiimide HCl, hydroxybenzotriazole, diisopropylethylamine in THF, 16 hours; (C, D) borane–THF complex in dry THF, reflux 9 hours.Abbreviation: THF, tetrahydrofuran.
Figure 3. M2-inhibitory activities of dimeric adamantanes.Notes: Evaluation of inhibitory activity of dimeric adamantane compounds on wild-type (A) and S31N mutant (B) M2 proteins. M2 protein was expressed in Xenopus oocytes and the compounds’ inhibitory activity measured using the two-electrode voltage-clamp technique at 100 µM concentration.
Figure 4. Inhibition of the influenza M2 proton channel.Notes: (A) Structure of amantadine (gray) in complex with M2 wild-type protein, as determined by solid-state nuclear magnetic resonance (Protein Data Bank [PDB] 2KQT),31 with the water molecules seen in the high-resolution crystallographic structure (PDB 3LBW)30 superimposed (red spheres). (B) Inhibition of amantadine-resistant M2-S31N protein by an isoxazole drug (PDB 2LY0).36 The adamantane cage is shifted downward in the structure of the S31N-mutant form, due to the constricted pore size.
Figure 5. J6 p7 hexameric structure model 1 (A) and model 2 (B).Notes: Overlay of the docked poses of amantadine (gray) and compound 2a (magenta). Side-chain atoms of Leu20 are shown as sticks. (C) Sequence alignment of p7 protein in GT5a and the five GTs under study – 1a, 1b, 2a, 3a, and 4a – showing the position of Pro49 indicated by the red arrow.Abbreviation: GT, genotype.
Acharya,
Structure and mechanism of proton transport through the transmembrane tetrameric M2 protein bundle of the influenza A virus.
2010, Pubmed,
Xenbase
Acharya,
Structure and mechanism of proton transport through the transmembrane tetrameric M2 protein bundle of the influenza A virus.
2010,
Pubmed
,
Xenbase Breitinger,
Patch-Clamp Study of Hepatitis C p7 Channels Reveals Genotype-Specific Sensitivity to Inhibitors.
2016,
Pubmed Cady,
Structure of the amantadine binding site of influenza M2 proton channels in lipid bilayers.
2010,
Pubmed Chandler,
The p7 protein of hepatitis C virus forms structurally plastic, minimalist ion channels.
2012,
Pubmed Cook,
NMR studies of p7 protein from hepatitis C virus.
2010,
Pubmed Cook,
Three-dimensional structure and interaction studies of hepatitis C virus p7 in 1,2-dihexanoyl-sn-glycero-3-phosphocholine by solution nuclear magnetic resonance.
2013,
Pubmed DAVIES,
ANTIVIRAL ACTIVITY OF 1-ADAMANTANAMINE (AMANTADINE).
1964,
Pubmed Duque,
Exploring the size limit of templates for inhibitors of the M2 ion channel of influenza A virus.
2011,
Pubmed
,
Xenbase Farag,
The p7 viroporin of the hepatitis C virus contributes to liver inflammation by stimulating production of Interleukin-1β.
2017,
Pubmed Fischer,
Viral channel forming proteins - modeling the target.
2011,
Pubmed Foster,
Structure-guided design affirms inhibitors of hepatitis C virus p7 as a viable class of antivirals targeting virion release.
2014,
Pubmed Furuse,
Large-scale sequence analysis of M gene of influenza A viruses from different species: mechanisms for emergence and spread of amantadine resistance.
2009,
Pubmed Gonzalez,
Viroporins.
2003,
Pubmed Grambas,
Influence of amantadine resistance mutations on the pH regulatory function of the M2 protein of influenza A viruses.
1992,
Pubmed Griffin,
The p7 protein of hepatitis C virus forms an ion channel that is blocked by the antiviral drug, Amantadine.
2003,
Pubmed Griffin,
Genotype-dependent sensitivity of hepatitis C virus to inhibitors of the p7 ion channel.
2008,
Pubmed Helenius,
Unpacking the incoming influenza virus.
1992,
Pubmed Henkel,
Influenza virus M2 protein slows traffic along the secretory pathway. pH perturbation of acidified compartments affects early Golgi transport steps.
1998,
Pubmed Jones,
Development and validation of a genetic algorithm for flexible docking.
1997,
Pubmed Jones,
Molecular recognition of receptor sites using a genetic algorithm with a description of desolvation.
1995,
Pubmed Jones,
Hepatitis C virus p7 and NS2 proteins are essential for production of infectious virus.
2007,
Pubmed Li,
Expeditious Lead Optimization of Isoxazole-Containing Influenza A Virus M2-S31N Inhibitors Using the Suzuki-Miyaura Cross-Coupling Reaction.
2017,
Pubmed Li,
Discovery of Highly Potent Inhibitors Targeting the Predominant Drug-Resistant S31N Mutant of the Influenza A Virus M2 Proton Channel.
2016,
Pubmed Li,
Discovery of Potent Antivirals against Amantadine-Resistant Influenza A Viruses by Targeting the M2-S31N Proton Channel.
2016,
Pubmed Martin,
Nuclear transport of influenza virus ribonucleoproteins: the viral matrix protein (M1) promotes export and inhibits import.
1991,
Pubmed Montserret,
NMR structure and ion channel activity of the p7 protein from hepatitis C virus.
2010,
Pubmed OuYang,
Unusual architecture of the p7 channel from hepatitis C virus.
2013,
Pubmed OuYang,
The minimalist architectures of viroporins and their therapeutic implications.
2014,
Pubmed Patargias,
Protein-protein interactions: modeling the hepatitis C virus ion channel p7.
2006,
Pubmed Pielak,
Structural investigation of rimantadine inhibition of the AM2-BM2 chimera channel of influenza viruses.
2011,
Pubmed Pinto,
Influenza virus M2 protein has ion channel activity.
1992,
Pubmed
,
Xenbase Rey-Carrizo,
3-Azatetracyclo[5.2.1.1(5,8).0(1,5)]undecane derivatives: from wild-type inhibitors of the M2 ion channel of influenza A virus to derivatives with potent activity against the V27A mutant.
2013,
Pubmed
,
Xenbase Schnell,
Structure and mechanism of the M2 proton channel of influenza A virus.
2008,
Pubmed Scull,
The N-terminal Helical Region of the Hepatitis C Virus p7 Ion Channel Protein Is Critical for Infectious Virus Production.
2015,
Pubmed Sokolova,
Camphor-based symmetric diimines as inhibitors of influenza virus reproduction.
2014,
Pubmed Steinmann,
Hepatitis C virus p7 protein is crucial for assembly and release of infectious virions.
2007,
Pubmed Stouffer,
Structural basis for the function and inhibition of an influenza virus proton channel.
2008,
Pubmed Vincent,
Human immunodeficiency virus type 1 Vpu protein induces degradation of chimeric envelope glycoproteins bearing the cytoplasmic and anchor domains of CD4: role of the cytoplasmic domain in Vpu-induced degradation in the endoplasmic reticulum.
1993,
Pubmed Wang,
Recent progress in designing inhibitors that target the drug-resistant M2 proton channels from the influenza A viruses.
2015,
Pubmed Wang,
Viral proteins function as ion channels.
2011,
Pubmed Westerbeck,
A Coronavirus E Protein Is Present in Two Distinct Pools with Different Effects on Assembly and the Secretory Pathway.
2015,
Pubmed Wu,
Flipping in the pore: discovery of dual inhibitors that bind in different orientations to the wild-type versus the amantadine-resistant S31N mutant of the influenza A virus M2 proton channel.
2014,
Pubmed