XB-ART-54653
Differentiation
2018 Jan 01;100:46-56. doi: 10.1016/j.diff.2018.02.004.
Show Gene links
Show Anatomy links
Transcriptome analysis identifies genes involved in sex determination and development of Xenopus laevis gonads.
???displayArticle.abstract???
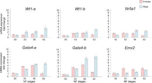
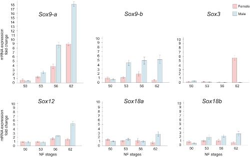
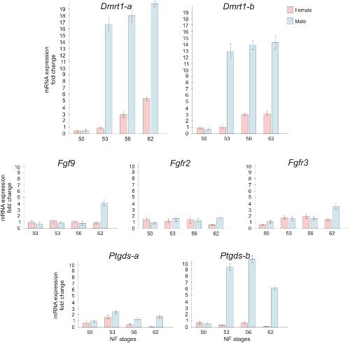
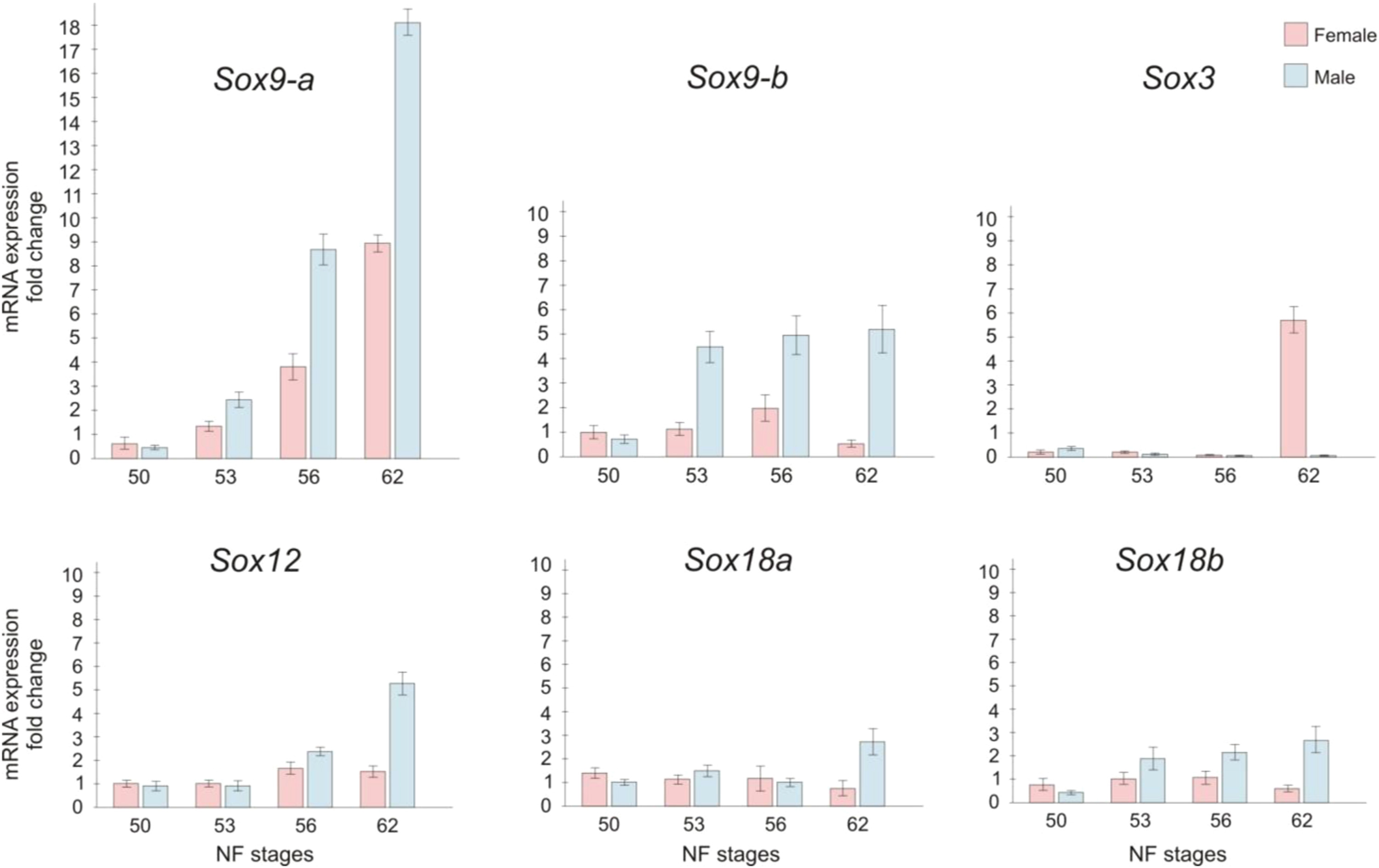
Development of the gonads is a complex process, which starts with a period of undifferentiated, bipotential gonads. During this period the expression of sex-determining genes is initiated. Sex determination is a process triggering differentiation of the gonads into the testis or ovary. Sex determination period is followed by sexual differentiation, i.e. appearance of the first testis- and ovary-specific features. In Xenopus laevis W-linked DM-domain gene (DM-W) had been described as a master determinant of the gonadal female sex. However, the data on the expression and function of other genes participating in gonad development in X. laevis, and in anurans, in general, are very limited. We applied microarray technique to analyze the expression pattern of a subset of X. laevis genes previously identified to be involved in gonad development in several vertebrate species. We also analyzed the localization and the expression level of proteins encoded by these genes in developing X. laevis gonads. These analyses pointed to the set of genes differentially expressed in developing testes and ovaries. Gata4, Sox9, Dmrt1, Amh, Fgf9, Ptgds, Pdgf, Fshr, and Cyp17a1 expression was upregulated in developing testes, while DM-W, Fst, Foxl2, and Cyp19a1 were upregulated in developing ovaries. We discuss the possible roles of these genes in development of X. laevis gonads.
???displayArticle.pubmedLink??? 29518581
???displayArticle.link??? Differentiation
Species referenced: Xenopus laevis
Genes referenced: amh ar bmp4 ctnnb1 cyp17a1 cyp19a1 dhh dm-w dmrt1 emx2 fgf9 fgfr2 fgfr3 foxl2 fshr fst gata4 hsd3b1 inhba inhbb inhbc nr5a1 pdgfa pdgfra ptch1 ptgds rspo1 sf1 sox12 sox18 sox3 sox9 srd5a1 star wnt4 wt1
GO keywords: sex determination
???displayArticle.antibodies??? Ctnnb1 Ab14 Rspo1 Ab2 Sox9 Ab2 Wnt4 Ab1
???attribute.lit??? ???displayArticles.show???
