|
Figure 1. Effect of Na+ and HCO3− replacement on currents mediated by WT or Q913X mutants in Xenopus oocytes. (A) Representative current-voltage (I–V) relationship from a H2O-injected oocyte as it was sequentially exposed to ‘Na (0 HCO3)’, ‘Na, HCO3’, and ‘(0 Na) HCO3’ solutions. (B–H) Equivalent data from oocytes expressing WT, Q913R, Q913C, Q913E, Q913K, Q913L, or Q913S. |
|
Figure 2. Membrane conductance (Gm) of oocytes expressing WT or Q913X mutants ±NaHCO3. Bar chart shows the average Gm values, measured between −20 mV and +20 mV, calculated from a larger set of I-V relationships such as those shown in Fig. 1. ‘*’denotes statistical significance between bars according to a paired one-tailed t-test (P < 0.006, accounting for Bonferroni correction for eight comparisons). ‘ns’ demotes no significance between bars by the same analysis. |
|
Figure 3. Effect of DIDS on currents mediated by WT or Q913X mutants in Xenopus oocytes. (A) Representative current-voltage (I–V) relationship from a H2O-injected oocyte as it was sequentially exposed to ‘Na (0 HCO3)’, ‘Na, HCO3’, and ‘Na, HCO3, +200 µM DIDS’ solutions. (B–H) Equivalent data from oocytes expressing WT, Q913R, Q913C, Q913E, Q913K, Q913L, or Q913S. |
|
Figure 4. Membrane conductance (Gm) of oocytes expressing WT or Q913X mutants ± DIDS. (A) Bar chart shows the average Gm values, measured between −20 mV and + 20 mV, calculated from a larger set of I-V relationships such as those shown in Fig. 3. ‘*’ denotes statistical significance between bars according to a paired one-tailed t-test (P < 0.006, accounting for Bonferroni correction for eight comparisons). ‘ns’ demotes no significance between bars by the same analysis. (B) Reversal potential of the DIDS-sensitive transport process as reported by the intersection of the I-V plots ± DIDS in data such as that in Fig. 3. ‘a’ denotes that all groups were statistically indistinguishable by ANOVA with post hoc Tukey analysis, 95% confidence limit. |
|
Figure 5. Functional expression of WT or Q913X mutants in Xenopus oocytes. (A) HCO3−-dependent Gm defined as Gm in ‘Na, HCO3’ solution less the Gm in ‘Na (0 HCO3)’ solution, pooled from Figs 2 and 4A. Groups that do not share the same annotated letter are deemed significantly different by ANOVA with post hoc Tukey analysis, 95% confident limit. (B) A representative anti-EGFP western blot of isolated membrane (biotinylated) fractions from Xenopus oocytes injected with H2O, or cRNA encoding WT or a Q913X mutant. (C) Bar chart of average EGFP intensity signal from western blot of biotinylated fractions of Q913X-expressing oocytes (black bars), such as that in Fig. 5B, normalized to the signal from WT-expressing oocytes from each blot. Data are plotted alongside a similarly normalized version of the data presented in Fig. 5A (gray bars). ‘ns’ denotes no significance between bars (P > 0.007, accounting for Bonferroni correction for seven comparisons). |
|
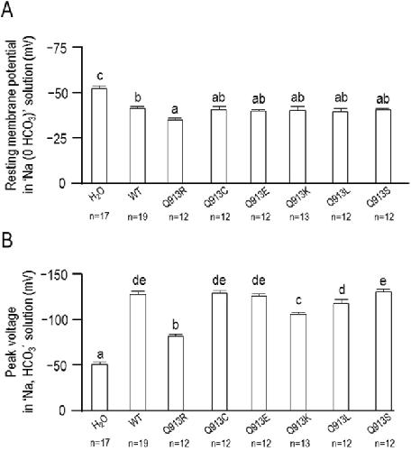
Figure 6. Membrane potential (Vm) of oocytes expressing WT or Q913X mutants. (A) Average Vm of cells bathed in ‘Na (0 HCO3)’ solution. (B) Average of the most negative values of Vm achieved upon exposure of cells to ‘Na, HCO3’ solution. Within each panel, groups that do not share the same annotated letter are deemed significantly different by ANOVA with post hoc Tukey analysis, 95% confident limit. |
|
Figure 7. Effect of Cl− replacement on currents mediated by WT or Q913X mutants in Xenopus oocytes in the absence of HCO3−. (A) Representative current-voltage (I–V) relationship from a H2O-injected oocyte as it was sequentially exposed to ‘Na (0 HCO3)’ solution containing either 113 mM Cl− or 13 mM Cl−. (B–H) Equivalent data from oocytes expressing WT, Q913R, Q913C, Q913E, Q913K, Q913L, or Q913S. |
|
Figure 8. Cl−-sensitivity of the membrane current (I) of oocytes expressing WT or Q913X mutants. Bar chart shows the average decrease in current, measured at +120 mV, upon lowering of extracellular Cl− from 113 mM to 13 mM calculated from a larger set of I-V relationships such as those shown in Fig. 7. Groups that do not share the same annotated letter are deemed significantly different by ANOVA with post hoc Tukey analysis, 95% confident limit. |
|
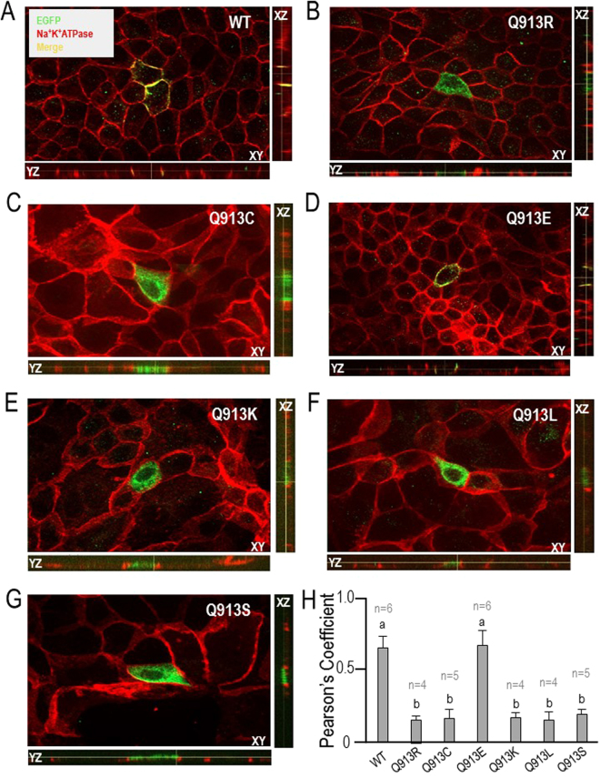
Figure 9. Distribution of WT or Q913X mutant NBCe1-A-EGFP in polarised MDCK−II Cells. (A) Representative WT transfected cells showing the distribution of NBCe1-EGFP and Na+-K+ ATPase in the XY, XZ, and YZ plane as disclosed by an anti-EGFP primary antibody following by an Alexa-488 conjugated secondary antibody (green) and anti-Na+-K+ ATPase followed by an Alexa-594 conjugated secondary antibody (red). (B–G) Equivalent representative from cells transfected with Q913R, Q913C, Q913E, Q913K, Q913L, and Q913S. (H) Bar chart showing the average Pearson’s coefficient values for co-incidence of EGFP immunoreactivity with Na+-K+ ATPase immunoreactivity. Groups that do not share the same annotated letter are deemed significantly different by ANOVA with post hoc Tukey analysis, 95% confident limit. |
|
Figure 10. Homology model of the transmembrane domain of NBCe1. (A) Side view, of an NBCe1 homology model, based on the crystal structure of AE1 (PDB ID: 4YZF) showing the relative positions of the gating domain (yellow; H4, TM13, and TM14 are colored darker yellow to provide contrast), anion translocating core domain (white), putative substrate interacting domain (green), Gln913 (purple), Arg811 (red), Thr910 (cyan), and Asp555 (magenta). The gating domain is composed of six transmembrane spans (TM5-7, TM12-14) and a hydrophilic helix (H4) in the structured intracellular loop between TM12 and TM13. (B) View of the intracellular face of the same model. (C) Closer view of putative hydrogen bonds (green dotted-lines) between Arg881, Thr910, and Gln913. |