|
Figure1. Target sites for anti-TRα and anti-TRβ TALENs. (A) Schematic illustrations of X. tropicalis TRα and TRβ proteins. The amino acid identities in the DNA-binding domain (DBD) and the ligand-binding domain (LBD) are shown. A horizontal bar indicates the TALEN target site. (B) Comparison of the amino acid sequences of TRα and TRβ DBDs. The identical amino acids between TRα and TRβ are shaded. Horizontal bars indicate TALEN target sites. Zinc-binding amino acids are underlined. The DNA-binding amino acids are represented by a capital letter. (C) Comparison of nucleotide sequences of TALEN target sites in TRα and TRβ genes. Identical nucleotides between TRα and TRβ are shaded. Boxes indicate TALEN target sites. The bars below the nucleotide sequence show the frame of amino acid sequences. The amino acid sequences are indicated at the bottom.
Image from "Thyroid Hormone Receptor α– and β–Knockout Xenopus tropicalis Tadpoles Reveal Subtype-Specific Roles During Development ." Keisuke Nakajima, Ichiro Tazawa, Yoshio Yaoita Endocrinology, Volume 159, Issue 2, February 2018, Pages 733–743, https://doi.org/10.1210/en.2017-00601. Reprinted with permission from AAAS. |
|
Figure 2. Effect of TR and TR ablation on hind limb development. A total of 200 pg of TALEN-ELD/KKR mRNA mixture was injected into one side of two- or four-cell embryos with mCherry mRNA to modify TR or TR. Embryos that expressed mCherry on the left side or right side were separated under a fluorescence dissecting microscope and reared individually. Developmental stages 50 to 58 were determined based on the hind limb development of the control side. Stage was recorded every day. (A) Lateral view of the hind limb on the TALEN-ELD/KKR mRNA-injected (black arrowheads) and control (white arrowheads) sides. Scale bars, 1 mm. (B) The ratio of the length of the hind limb on the TALEN-ELD/KKR mRNA-injected side to that on the control side was calculated. Data are expressed as mean SE [n = 9 (TR) or 4 (TR)]. Significant differences between TR (open circle)- and TR (gray circle)-modified tadpoles were determined by performing a Student t test. *P < 0.05.
Image from "Thyroid Hormone Receptor and Knockout Xenopus tropicalis Tadpoles Reveal Subtype-Specific Roles During Development ." Keisuke Nakajima, Ichiro Tazawa, Yoshio Yaoita Endocrinology, Volume 159, Issue 2, February 2018, Pages 733743, https://doi.org/10.1210/en.2017-00601. Reprinted with permission from AAAS. |
|
Figure 3. Development of wild-type and TR-knockout tadpoles during climax of metamorphosis. Tadpoles were reared individually and stage was recorded every day. (A) The time in days to reach the indicated stage, from stage 62, for wild-type (filled circle), TR-knockout (open circle), and TR-knockout (gray square) tadpoles is plotted. Data are expressed as mean standard deviation. Significant differences between wild-type and TR-knockout tadpoles and between TR-knockout and TR-knockout tadpoles were determined by performing a Bonferroni test. *P < 0.005. (B) The sample number of each group. (C) Representative images of stage-65 wild-type (left) and TR-knockout (right) animals. This TR-knockout individual (22 days from stage 62) had an adult head and a pin-like tail, and ate worm as a wild-type froglet. Scale bars, 5 mm.
Image from "Thyroid Hormone Receptor and Knockout Xenopus tropicalis Tadpoles Reveal Subtype-Specific Roles During Development ." Keisuke Nakajima, Ichiro Tazawa, Yoshio Yaoita Endocrinology, Volume 159, Issue 2, February 2018, Pages 733743, https://doi.org/10.1210/en.2017-00601. Reprinted with permission from AAAS. |
|
Figure. 4. Head narrowing in wild-type and TR-knockout tadpoles during climax of metamorphosis. (A) Images depicting the heads of wild-type and TR-alpha and TR-beta knockout stage-61 tadpoles. White boxes in the left panel were enlarged and are shown in the right panel. Abbreviations: BO, bulbus olfactorius; NO, nervus olfactorius. Scale bars, 1 mm. (B) The ratio of the width at gill position [black arrow in the left panel of (A)] to the width at eye position [white arrow in the left panel of (A)] was calculated using enlarged images. Data are expressed as mean SE (n = 7). Statistical significance, by comparing to wild-type animals, was assessed using a Dunnett test. *P < 0.005.
Image from "Thyroid Hormone Receptor and Knockout Xenopus tropicalis Tadpoles Reveal Subtype-Specific Roles During Development ." Keisuke Nakajima, Ichiro Tazawa, Yoshio Yaoita Endocrinology, Volume 159, Issue 2, February 2018, Pages 733743, https://doi.org/10.1210/en.2017-00601. Reprinted with permission from AAAS. |
|
Figure 5. Histological analysis of wild-type and TR-knockout tadpole tails during climax of metamorphosis. (A) Schematic representation showing tail sampling. A tail was sectioned at one-sixth (anterior) the distance from the tail base and at the middle (posterior), as indicated by red arrows. (B) Overview and cross sections of wild-type, TRα-knockout, and TRβ-knockout stage-63 tadpole tails in the anterior and posterior regions. Histological images are representative of three individuals examined per panel. Sections were stained with hematoxylin and eosin. Abbreviations: M, muscle; NC, notochord; NS, notochord sheath; SC, spinal cord. Scale bars, 5 mm (overview) and 0.1 mm (anterior and posterior sections).
Image from "Thyroid Hormone Receptor α– and β–Knockout Xenopus tropicalis Tadpoles Reveal Subtype-Specific Roles During Development ." Keisuke Nakajima, Ichiro Tazawa, Yoshio Yaoita Endocrinology, Volume 159, Issue 2, February 2018, Pages 733–743, https://doi.org/10.1210/en.2017-00601. Reprinted with permission from AAAS. |
|
Figure 6. mRNA expression of genes encoding ECM-degrading enzymes in wild-type and TR-knockout tadpole tails during climax of metamorphosis. (A and G) Schematic representation showing sampling of the anterior (A) and posterior (G) tail parts. (B–F) Expression levels of (B) MMP2, (C) MMP9TH, (D) MMP13, (E) MMP14, and (F) FAPα in the anterior part of wild-type, TRα-knockout, and TRβ-knockout stage-63 tadpoles, as determined by RT-PCR. (H–L) Expression levels of (H) MMP2, (I) MMP9TH, (J) MMP13, (K) MMP14, and (L) FAPα in the posterior part of wild-type, TRα-knockout, and TRβ-knockout stage-63 tadpoles, as determined by RT-PCR. Data are expressed as mean ± SE (n = 3). Statistical significance was assessed by comparing to wild-type animals using the Dunnett test. *P < 0.05, **P < 0.005, ***P < 0.0005.
Image from "Thyroid Hormone Receptor α– and β–Knockout Xenopus tropicalis Tadpoles Reveal Subtype-Specific Roles During Development ." Keisuke Nakajima, Ichiro Tazawa, Yoshio Yaoita Endocrinology, Volume 159, Issue 2, February 2018, Pages 733–743, https://doi.org/10.1210/en.2017-00601. Reprinted with permission from AAAS. |
|
Figure 7. Effect of TRα and TRβ knockout on intestinal remodeling. (A) Comparison of the intestinal lengths of wild-type, TRα-knockout, and TRβ-knockout stage-63 and stage-65 tadpoles. Data are expressed as mean ± SE. Sample number is indicated in each column. Significant differences between the indicated groups were determined by performing a Bonferroni test. *P < 0.05. (B) Comparison of the intestinal lengths of the TRβ-knockout stage-65 tadpoles and wild-type froglets 14 to 17 and 15 to 18 days after stage 62, respectively. Data are expressed as mean ± SE. Sample number is indicated in each column. There was no significant difference based on a Student t test. (C–H) Cross sections of the intestine at the indicated stages. Intestinal fragments were cut 6 to 9 mm from the pylorus at the anterior part of the small intestine. Images are representative of three individuals examined per panel. (C–E) Wild-type (C) stage-63 and (D) stage-65 tadpoles and (E) froglets. (F) TRα-knockout stage-65 tadpole. (G and H) TRβ-knockout (G) stage-63 and (H) stage-65 tadpoles. Sections were stained with hematoxylin and eosin. The number of days from stage 62 are shown in parentheses. Scale bars, 0.1 mm. Image from "Thyroid Hormone Receptor α– and β–Knockout Xenopus tropicalis Tadpoles Reveal Subtype-Specific Roles During Development ." Keisuke Nakajima, Ichiro Tazawa, Yoshio Yaoita Endocrinology, Volume 159, Issue 2, February 2018, Pages 733–743, https://doi.org/10.1210/en.2017-00601. Reprinted with permission from AAAS. |
|
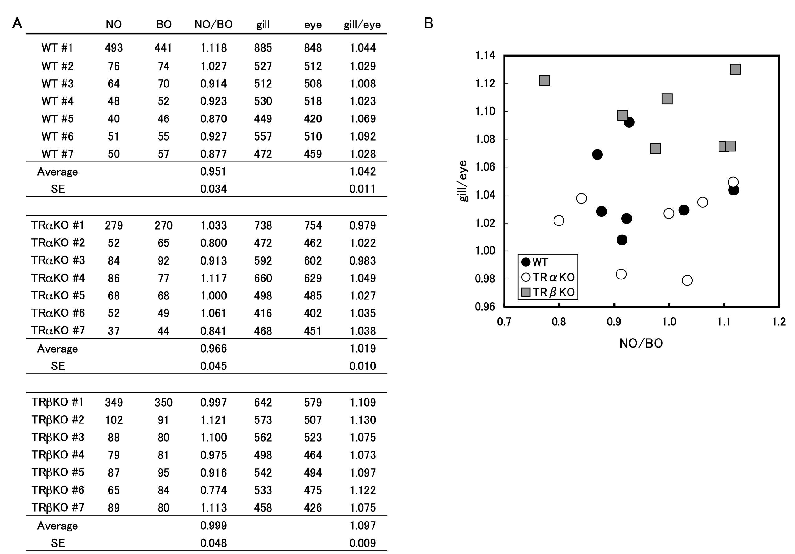
Supplemental Figure 1. TRβ-knockout tadpoles showed a delay of gill resorption. (A) The length of nervus olfactorius (NO), bulbus olfactorius diameter (BO), width at gill position (gill) and width at eye position (eye) were measured on the digital image. Data were represented by the pixel number. Note that the size values are pixel numbers of NO, BO and widths, and are reflected by the resolution of pictures. The ratios of NO/BO and gill/eye were also indicated. #1-#7 represent the individual tadpole. The picture of #1 tadpoles were used in the Fig. 3. (B) The relation of gill/eye to NO/BO in all individual. |