XB-ART-53677
Elife
2017 May 12;6. doi: 10.7554/eLife.24630.
Show Gene links
Show Anatomy links
A selectivity filter at the intracellular end of the acid-sensing ion channel pore.
Lynagh T, Flood E, Boiteux C, Wulf M, Komnatnyy VV, Colding JM, Allen TW, Pless SA.
???displayArticle.abstract???
Increased extracellular proton concentrations during neurotransmission are converted to excitatory sodium influx by acid-sensing ion channels (ASICs). 10-fold sodium/potassium selectivity in ASICs has long been attributed to a central constriction in the channel pore, but experimental verification is lacking due to the sensitivity of this structure to conventional manipulations. Here, we explored the basis for ion selectivity by incorporating unnatural amino acids into the channel, engineering channel stoichiometry and performing free energy simulations. We observed no preference for sodium at the "GAS belt" in the central constriction. Instead, we identified a band of glutamate and aspartate side chains at the lower end of the pore that enables preferential sodium conduction.
???displayArticle.pubmedLink??? 28498103
???displayArticle.pmcLink??? PMC5449180
???displayArticle.link??? Elife
???displayArticle.grants??? [+]
Species referenced: Xenopus
Genes referenced: asic1 dtl gnas gss mt-tr trna
???attribute.lit??? ???displayArticles.show???
|
|
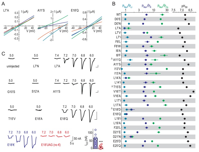
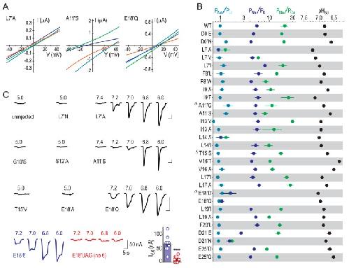
Figure 1. Amide-ester substitution to probe contribution of G10â to Na+ conduction.(A) A11âα substitution. (B) Successful incorporation of lactic acid (âα') into position A11â, indicated by large proton-gated currents (pH 6.0) at oocytes injected with A11âUAG mRNA and tRNA-α (Mean ± SEM, n = 6) but not with A11âUAG mRNA and tRNA without α (n = 7). ***p=0.001 (Studentâs t-test). (C) A11âα channels (pH50 = 6.7 ± 0.03, n = 5) respond to increasing proton concentrations much like WT channels (pH50 = 6.8 ± 0.02, n = 4; p=0.07, unpaired t-test). (D) Single channel Na+ currents (scale bars: x, 50 ms; y, 2 pA) and mean current amplitude at different voltages (± SEM, n = 5â8). (E) Relative permeability ratios at WT and A11âα channels (mean ± SEM, n = 4â9; see Figure 1âfigure supplement 1.).DOI: http://dx.doi.org/10.7554/eLife.24630.002Figure 1âfigure supplement 1. Numbering scheme for M2 residues.(A) Referring to molecular determinants of function in the ENaC/DEG family with amino acid numbers of various channels makes comparisons confusing. E.g. it is not immediately clear that ENaC α subunit (species not reported) S589 (Waldmann et al., 1995) and rat ENaC (rENaC) α subunit S589 (Kellenberger et al., 1999a) mutations, both of which alter ion selectivity in those studies, actually refer to adjacent positions (GSS and GSS, respectively). Similarly, it is not immediately clear that A443 in mouse ASIC1a (mASIC1a) (Carattino and Della Vecchia, 2012), A444 in human ASIC1a (hASIC1a) (Yang et al., 2009) and G530 in rENaC β, (Kellenberger et al., 1999b) each of which determine ion permeability to some extent, actually occupy the equivalent position. To avoid such confusion, we have adopted a new numbering system, based on various functional data, recent structural data and the comparison of a diverse range of subunits from the family (similar to the numbering systems for pore-lining residues in Cys-loop receptors or S4 charges in voltage-gated ion channels). According to this analysis, the equivalent residues, D434 that contributes to ion permeation in hASIC1a (Yang and Palmer, 2014), D433 whose side chain is oriented into the top of the channel pore of chick ASIC1 (Baconguis et al., 2014), and D431 that contributes to Ca2+ permeability in HyNaC2 (Dürrnagel et al., 2012), are simply referred to as D0â. mASIC1a A443, hASIC1a A444 and rENaC β G530 (described above), are equivalent and now referred to as A11â, A11â and G11â, respectively. The amino acid sequence alignment (Edgar, 2004) in (A) details the prime numbering system. Yellow highlighting indicates residues whose mutation is reported to alter channel function in at least two family members, as follows. 0â: lamprey ASIC1 D433N alters gating (Li et al., 2011a); hASIC1a D434N decreases ion conduction (Yang and Palmer, 2014); hydra HyNaC D431C decreases Ca2+ permeability (Dürrnagel et al., 2012). 4â: lamprey ASIC1 Q437C is water-accessible (Li et al., 2011b); chick ASIC1 Q437A slows desensitization (Baconguis et al., 2014). 7â: hASIC1a L440A decreases Na+/K+ selectivity (Yang et al., 2009); lamprey ASIC1 L440C is water-accessible (Li et al., 2011b); mASIC1a L439A decreases Na+/K+ selectivity (present study). 10â: rENaC β G529S decreases Na+/K+ selectivity (Kellenberger et al., 1999b); mENaC α G587C decreases Na+/K+ selectivity (Sheng et al., 2000). 11â: ENaC α S589I alters gating and Na+ conduction (species not reported [Waldmann et al., 1995]); hASIC1a A444G decreases Na+/K+ selectivity (Yang et al., 2009). 12â: C. elegans MEC-4 S455F decreases function (Hong and Driscoll, 1994); rENaC α S589C/D decreases Na+/K+ selectivity (Kellenberger et al., 1999a). 15â: C. elegans MEC-4 T458I decreases function (Waldmann et al., 1995); ENaC α S593I alters gating (species not reported (Waldmann et al., 1995); mASIC1a T447V prevents functional expression (Figure 4âfigure supplement 1). 18â: C. elegans MEC-4 E461K decreases function (Hong and Driscoll, 1994); mENaC α E595C decreases Na+/K+ selectivity (Sheng et al., 2001); mASIC1a E450D/Q decreases Na+/K+ selectivity (present study). (B) Left, voltage ramps at rest and during activation of currents by pH 6.0 (dashed line) in different extracellular cations (indicated by color) at oocytes injected with WT mRNA, A11âUAG mRNA + tRNA-α, or A11âUAG mRNA + tRNA (the latter as a measure of non-specific incorporation). Right, current-voltage relationships of proton-gated current, where ramp during rest has been subtracted.DOI: http://dx.doi.org/10.7554/eLife.24630.003 |
|
|
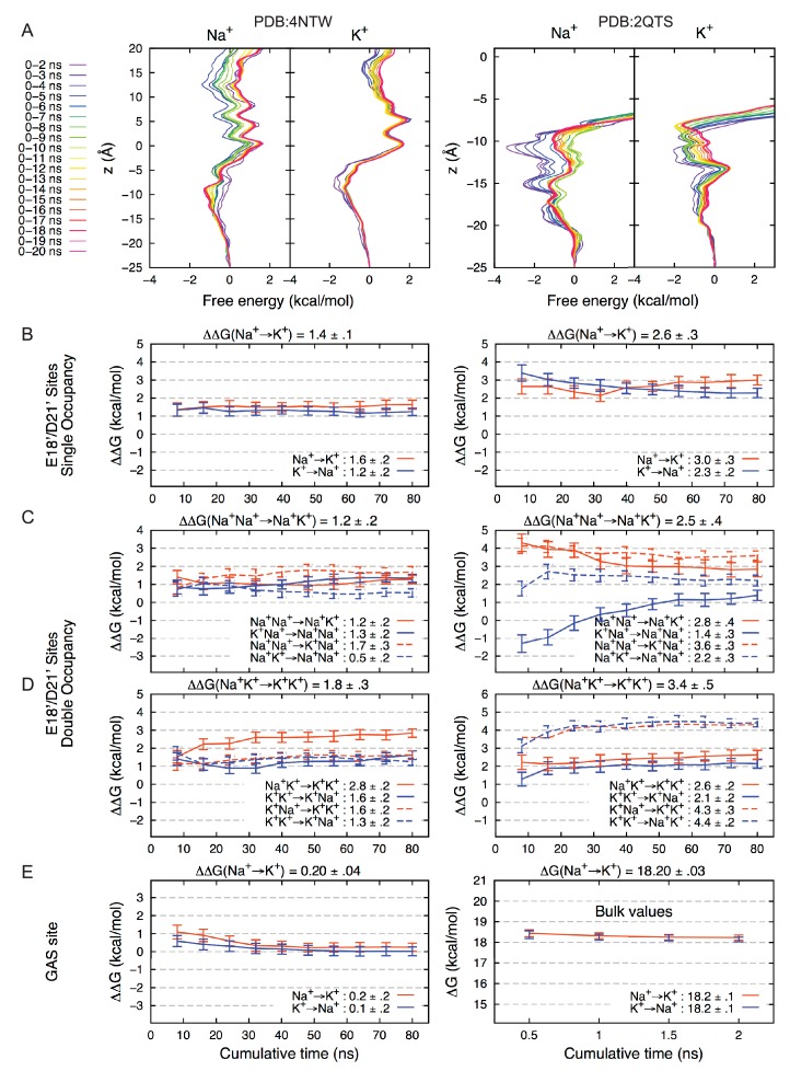
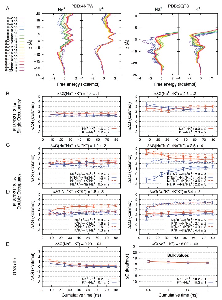
Figure 2. Free energy simulations with PDB:4NTW.(A) MD simulation system for PDB:4NTW (gray) embedded in a lipid bilayer (cyan) in NaCl solution (water, red and white sticks; Na+ and Cl-, orange and yellow balls). (B) Snapshots from simulation (left) and single ion-free energy profiles (right) for Na+ or K+ permeating the chick ASIC1 pore. See Figure 2—figure supplement 1 for convergence analysis. Insets show hydrated Na+ in the GAS belt (left) and two Na+ ions or K+ ions at the level of E18’ and D21’ (lower). (C) Distribution of ion occupancies in sites formed by E18’ and D21’ in 4NTW. Single ion occupancy is favored for Na+ and K+, but double ion occupancy occurs more frequently for Na+ (left graph). For the doubly occupied site (right graph), binding to E18’ dominates (‘1 carboxylate’), but with increased probability of tight binding to both E18’ and D21’ (‘2 carboxylates’) for Na+. Insets: representative double Na+ ion complexes.DOI: http://dx.doi.org/10.7554/eLife.24630.004Figure 2—figure supplement 1. Convergence of Free Energy Calculations. (A) Convergence of Umbrella Sampling free energy profiles for PDBs 4NTW (left graphs) and 2QTS (right graphs). Convergence to within 1 kcal/mol was achieved within 6 ns for Na+ and 3 ns for K+.(4NTW), and 6 ns for Na+ and 7 ns for K+ (2QTS). Convergence of lateral sampling of ions was observed in the channel (not shown). (B) FEP binding free energy difference △△G for Na+→K+ (with results for K+→Na+ negated) for the site formed by E18’/D21’ occupied by a single ion in 4NTW (left) and 2QTS (right). Results for transformations Na+Na+→ Na+K+ are shown in (C), while transformations Na+ K+ → K+ K+ are shown in (D). Mean values from independent transformations are shown above each panel, with values for complete transformation Na+Na+→ K+K+ being the sum of individual transformations Na+Na+→K+Na+ and Na+K+→K+K+: 3.0 ± 0.4 for 4NTW and 5.9 ± 0.6 for 4NTW. 2QTS displays higher selectivity due to increased involvement of carboxylates in the narrower pore. Results for the 4NTW GAS site (E; left), reveal near-zero preference for Na+, with bulk values on the right, in agreement with experiment (18.2 kcal/mol). (Friedman and Krishnan, 1973a).DOI: http://dx.doi.org/10.7554/eLife.24630.005 |
|
|
Figure 2—figure supplement 2. Ion coordination analysis.First shell coordination of Na+ and K+ by oxygen atoms from water and protein (backbone and side chains) in the ASIC pore; offset relative to bulk coordination numbers for clarity (5.8 and 7.0 for Na+ and K+, respectively). Positions of key residues are indicated with gray dashed lines. Based on the positions of the first minima in the radial distribution functions of oxygen atoms, cutoffs of 3.2 and 3.6 Å were applied to Na+ and K+, respectively. (A) Free simulation of 4NTW. (B) Free simulation of 2QTS. (C) Umbrella sampling simulations for 4NTW, generally consistent with free simulations in (A). (D) Umbrella sampling simulations of 2QTS, consistent with results in (B).DOI: http://dx.doi.org/10.7554/eLife.24630.006 |
|
|
Figure 3. Free energy profiles from Umbrella Sampling of PDB:2QTS.(A) ASIC PDBs compared with voltage-gated Na+ channel NavAb (PDB:3RVY). Two opposing helices shown, with NavAb inverted for comparison. Selected leucine/isoleucine (black), serine/threonine (blue) and glutamate (red) side chains shown as spheres. (B) Snapshot of E18’ and D21’ creating multiple ion/carboxylate complex (left) and single ion free energy profiles (right) for Na+ and K+ in the lower pore of the presumed closed conformation PDB:2QTS (see Figure 2—figure supplement 1 for convergence). (C) Distribution of single and double ion occupancy in 2QTS. Double ion occupancy dominates, usually involving multiple side chains. In this case, states are defined by the radial distribution function g(r) for ion-ion distance (right), revealing: two ions in a tightly shared complex with multiple carboxylates (2 tight); a two ion complex involving neighboring carboxylates that do not share single ions (2 loose); and the remainder involving ion binding to distant groups on opposing subunits (2 disperse). Snapshots below illustrate each configuration.DOI: http://dx.doi.org/10.7554/eLife.24630.007 |
|
|
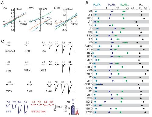
Figure 4. E18â plays a direct role in selective Na+ conduction.(A) Relative permeability ratios for WT and mutant ASIC1a channels (mean ± SEM; n = 3â6). Î: G10âA/S, A11âV/F, S12âG/A/C/T, T15âV and E18âA channels were non-functional (see Figure 4âfigure supplement 1). (B) E18â and â¬18â side chains, proton-gated currents (pH 6.0) in extracellular NaCl, and current-voltage relationship in extracellular NaCl (orange) or KCl (blue; mean ± SEM, n = 3â4). Specific ⬠incorporation illustrated in Figure 4âfigure supplement 1. (C) Example and mean (± SEM, n = 5â6) single channel Na+ currents. (D) Relative permeability ratios for concatemeric channels carrying no mutations (WT-WT-WT) or one, two or three L7´A,S12âA or E18âQ mutations (mean ± SEM, n = 3â6). Î: Concatemeric channels containing three L7âA- and three S12âA-mutated subunits non-functional (see Figure 4âfigure supplement 2).DOI: http://dx.doi.org/10.7554/eLife.24630.008Figure 4âfigure supplement 1. Experimental identification of determinants of ion selectivity.(A) Example recordings of proton-gated current during voltage ramps in extracellular NaCl (orange), KCl (blue), CsCl (green) or LiCl (teal) at oocytes expressing selected mutant ASIC1a mRNA. (B) Mean (± SEM, n = 4â9) relative permeability ratios calculated after experiments depicted in (A) and half-maximal effective proton concentration values (âpH50â) from experiments depicted in (C). Î: At oocytes injected with G10âA/S, A11âV/F, S12âG/A/C/T, T15âV and E18âA mRNA, pH 5.0 elicited currents no greater than at uninjected oocytes, as evident in (C). (C) Example recordings of current responses to increased proton concentrations at uninjected oocytes or oocytes expressing selected ASIC1a mutants (scale bars: x, 10 s; y, 1 μA, except for E18â⬠and E18âUAG (no â¬) as indicated). âE18ââ¬â describes oocytes injected with E18âUAG mRNA + tRNA-â¬. âE18âUAG (no â¬)â describes oocytes injected with E18âUAG mRNA + tRNA, which allows only for non-specific incorporation of endogenous amino acids to this position and thus serves as a control for specific incorporation. Graph shows mean pH 6.0-gated current amplitude for both groups (***p<0.001, Studentâs t test).DOI: http://dx.doi.org/10.7554/eLife.24630.009 |
|
|
Figure 4—figure supplement 2. Design and biochemical validation of concatemeric ASICs.(A) Cartoon illustrating three linked subunits, ‘a-c’ in a concatemeric channel. Lettering below shows nucleotide and protein sequence, containing: untranslated nucleotide sequence, restriction sites and peptide linkers (black); and ASIC1a sequence (blue). (B) Primer pairs used to generate fragments a-c for subsequent ligation into concatemeric constructs, including: nucleotide spacers and untranslated sequence (grey); restriction sites (orange); peptide linker (black); and ASIC1a sequence (blue). (C) Western blot, detecting ASIC1a amongst denatured total cell-surface protein from oocytes injected with indicated ASIC1a mRNAs. ‘WT’, regular ASIC1a; ‘WT-WT-WT’, concatenated wild-type subunits; ‘SA-WT-WT’, one of the three 1/3 S12’A concatemeric permutations tested (shown in Figure 4D), etc. The main band of protein from oocytes injected with regular ASIC1a mRNA is ~70 kDa, corresponding to single ASIC1a subunits. For protein from oocytes injected with concatemeric ASIC1a mRNA, the main band is ~210 kDa, corresponding to three covalently linked subunits in a concatemer. (D) Maximum current amplitude (‘I (μA)”) activated by pH 5.0 at oocytes injected with regular WT ASIC1a mRNA (‘WT’), concatemeric WT mRNA (‘WT-WT-WT’), concatemeric mutant mRNA, or nothing (‘uninjected’). Columns, mean current amplitude; circles, individual data points. Current amplitude at 3/3 L7’A-mutant and at 3/3 S12’A-mutant-injected oocytes was not discernable from uninjected oocyte.DOI: http://dx.doi.org/10.7554/eLife.24630.010 |
|
|
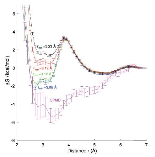
Appendix 1—figure 1. Free energy profiles for Na+ - carboxylate binding with different pair parameters, compared to CPMD quantum mechanical calculations.Estimated dissociation constants (KD) for each MD model are: CHARMM27 (rmin = 3.06 Å) 0.6 ± 0.2 M; CHARMM27* (rmin = 3.12 Å) 0.9 ± 0.2 M, CHARMM27* NBFIX (rmin = 3.19 Å) 1.8 ± 0.2 M; and CHARMM27* NBFIX (rmin = 3.23 Å) 1.8 ± 0.3 M; to be compared with experimental values discussed in the Appendix.DOI: http://dx.doi.org/10.7554/eLife.24630.011 |
|
|
Appendix 1—figure 2. Estimates of free energy and coordination results for modified CHARMM27* NBFIX (Na+-carboxylate rmin = 3.19 Å and K+-carboxylate rmin = 3.52 Å), using post-simulation adjustment for the LJ parameter (see Appendix text).(A) Umbrella Sampling for Na+ and K+ crossing the pore of 4NTW. A preference of ~0.5 kcal/mol for Na+ over K+ remains around E18’ and D21’ (B) Umbrella Sampling for Na+ and K+ crossing the pore of 2QTS. Na+ binding and preference of ~1 kcal/mol can be observed around D21’. Values deep in the channel (above −10 Å) are considered unreliable in this closed pore. (C) Adjusted analysis of ion occupancies for 4NTW. Double ion occupancies are reduced by these more repulsive ion parameters, but remain more common for Na+ than for K+, (D) Adjusted analysis of ion occupancies for 2QTS. Double ion occupancy is favoured both for Na+ and K+, but Na+ ions prefer tight clusters, as seen with the unmodified parameter.DOI: http://dx.doi.org/10.7554/eLife.24630.012 |
|
|
Appendix 1—figure 3. Estimated Na+→K+free energy perturbations for PDBs 4NTW (left graphs) and 2QTS (right graphs) with modified ion parameters.Results in panels A, B and C are as in Figure 2—figure supplement 1B,C and D, respectively, but with change in ion-carboxylate parameters to that of Marinelli et al. (2014), with rmin = 3.19 Å for Na+ and rmin = 3.52 Å for K+, instead of the usual mixing rules for CHARMM27*.DOI: http://dx.doi.org/10.7554/eLife.24630.013 |
|
|
Figure 1—figure supplement 1. Numbering scheme for M2 residues.(A) Referring to molecular determinants of function in the ENaC/DEG family with amino acid numbers of various channels makes comparisons confusing. E.g. it is not immediately clear that ENaC α subunit (species not reported) S589 (Waldmann et al., 1995) and rat ENaC (rENaC) α subunit S589 (Kellenberger et al., 1999a) mutations, both of which alter ion selectivity in those studies, actually refer to adjacent positions (GSS and GSS, respectively). Similarly, it is not immediately clear that A443 in mouse ASIC1a (mASIC1a) (Carattino and Della Vecchia, 2012), A444 in human ASIC1a (hASIC1a) (Yang et al., 2009) and G530 in rENaC β, (Kellenberger et al., 1999b) each of which determine ion permeability to some extent, actually occupy the equivalent position. To avoid such confusion, we have adopted a new numbering system, based on various functional data, recent structural data and the comparison of a diverse range of subunits from the family (similar to the numbering systems for pore-lining residues in Cys-loop receptors or S4 charges in voltage-gated ion channels). According to this analysis, the equivalent residues, D434 that contributes to ion permeation in hASIC1a (Yang and Palmer, 2014), D433 whose side chain is oriented into the top of the channel pore of chick ASIC1 (Baconguis et al., 2014), and D431 that contributes to Ca2+ permeability in HyNaC2 (Dürrnagel et al., 2012), are simply referred to as D0’. mASIC1a A443, hASIC1a A444 and rENaC β G530 (described above), are equivalent and now referred to as A11’, A11’ and G11’, respectively. The amino acid sequence alignment (Edgar, 2004) in (A) details the prime numbering system. Yellow highlighting indicates residues whose mutation is reported to alter channel function in at least two family members, as follows. 0’: lamprey ASIC1 D433N alters gating (Li et al., 2011a); hASIC1a D434N decreases ion conduction (Yang and Palmer, 2014); hydra HyNaC D431C decreases Ca2+ permeability (Dürrnagel et al., 2012). 4’: lamprey ASIC1 Q437C is water-accessible (Li et al., 2011b); chick ASIC1 Q437A slows desensitization (Baconguis et al., 2014). 7’: hASIC1a L440A decreases Na+/K+ selectivity (Yang et al., 2009); lamprey ASIC1 L440C is water-accessible (Li et al., 2011b); mASIC1a L439A decreases Na+/K+ selectivity (present study). 10’: rENaC β G529S decreases Na+/K+ selectivity (Kellenberger et al., 1999b); mENaC α G587C decreases Na+/K+ selectivity (Sheng et al., 2000). 11’: ENaC α S589I alters gating and Na+ conduction (species not reported [Waldmann et al., 1995]); hASIC1a A444G decreases Na+/K+ selectivity (Yang et al., 2009). 12’: C. elegans MEC-4 S455F decreases function (Hong and Driscoll, 1994); rENaC α S589C/D decreases Na+/K+ selectivity (Kellenberger et al., 1999a). 15’: C. elegans MEC-4 T458I decreases function (Waldmann et al., 1995); ENaC α S593I alters gating (species not reported (Waldmann et al., 1995); mASIC1a T447V prevents functional expression (Figure 4—figure supplement 1). 18’: C. elegans MEC-4 E461K decreases function (Hong and Driscoll, 1994); mENaC α E595C decreases Na+/K+ selectivity (Sheng et al., 2001); mASIC1a E450D/Q decreases Na+/K+ selectivity (present study). (B) Left, voltage ramps at rest and during activation of currents by pH 6.0 (dashed line) in different extracellular cations (indicated by color) at oocytes injected with WT mRNA, A11’UAG mRNA + tRNA-α, or A11’UAG mRNA + tRNA (the latter as a measure of non-specific incorporation). Right, current-voltage relationships of proton-gated current, where ramp during rest has been subtracted.DOI: http://dx.doi.org/10.7554/eLife.24630.003 |
|
|
Figure 2—figure supplement 1. Convergence of Free Energy Calculations. (A) Convergence of Umbrella Sampling free energy profiles for PDBs 4NTW (left graphs) and 2QTS (right graphs). Convergence to within 1 kcal/mol was achieved within 6 ns for Na+ and 3 ns for K+.(4NTW), and 6 ns for Na+ and 7 ns for K+ (2QTS). Convergence of lateral sampling of ions was observed in the channel (not shown). (B) FEP binding free energy difference △△G for Na+→K+ (with results for K+→Na+ negated) for the site formed by E18’/D21’ occupied by a single ion in 4NTW (left) and 2QTS (right). Results for transformations Na+Na+→ Na+K+ are shown in (C), while transformations Na+ K+ → K+ K+ are shown in (D). Mean values from independent transformations are shown above each panel, with values for complete transformation Na+Na+→ K+K+ being the sum of individual transformations Na+Na+→K+Na+ and Na+K+→K+K+: 3.0 ± 0.4 for 4NTW and 5.9 ± 0.6 for 4NTW. 2QTS displays higher selectivity due to increased involvement of carboxylates in the narrower pore. Results for the 4NTW GAS site (E; left), reveal near-zero preference for Na+, with bulk values on the right, in agreement with experiment (18.2 kcal/mol). (Friedman and Krishnan, 1973a).DOI: http://dx.doi.org/10.7554/eLife.24630.005 |
|
|
Figure 4—figure supplement 1. Experimental identification of determinants of ion selectivity.(A) Example recordings of proton-gated current during voltage ramps in extracellular NaCl (orange), KCl (blue), CsCl (green) or LiCl (teal) at oocytes expressing selected mutant ASIC1a mRNA. (B) Mean (± SEM, n = 4–9) relative permeability ratios calculated after experiments depicted in (A) and half-maximal effective proton concentration values (‘pH50’) from experiments depicted in (C). Δ: At oocytes injected with G10’A/S, A11’V/F, S12’G/A/C/T, T15’V and E18’A mRNA, pH 5.0 elicited currents no greater than at uninjected oocytes, as evident in (C). (C) Example recordings of current responses to increased proton concentrations at uninjected oocytes or oocytes expressing selected ASIC1a mutants (scale bars: x, 10 s; y, 1 μA, except for E18’€ and E18’UAG (no €) as indicated). ‘E18’€” describes oocytes injected with E18’UAG mRNA + tRNA-€. ‘E18’UAG (no €)” describes oocytes injected with E18’UAG mRNA + tRNA, which allows only for non-specific incorporation of endogenous amino acids to this position and thus serves as a control for specific incorporation. Graph shows mean pH 6.0-gated current amplitude for both groups (***p<0.001, Student’s t test).DOI: http://dx.doi.org/10.7554/eLife.24630.009 |
References [+] :
Allen,
Molecular dynamics - potential of mean force calculations as a tool for understanding ion permeation and selectivity in narrow channels.
2006, Pubmed
Allen, Molecular dynamics - potential of mean force calculations as a tool for understanding ion permeation and selectivity in narrow channels. 2006, Pubmed
Annapureddy, Molecular mechanism of specific ion interactions between alkali cations and acetate anion in aqueous solution: a molecular dynamics study. 2012, Pubmed
Baconguis, Structural plasticity and dynamic selectivity of acid-sensing ion channel-spider toxin complexes. 2012, Pubmed
Baconguis, X-ray structure of acid-sensing ion channel 1-snake toxin complex reveals open state of a Na(+)-selective channel. 2014, Pubmed
Baron, Pharmacology of acid-sensing ion channels - Physiological and therapeutical perspectives. 2015, Pubmed
Bernèche, Energetics of ion conduction through the K+ channel. 2001, Pubmed
Boiteux, Ion conduction and conformational flexibility of a bacterial voltage-gated sodium channel. 2014, Pubmed
Brooks, CHARMM: the biomolecular simulation program. 2009, Pubmed
Car, Unified approach for molecular dynamics and density-functional theory. 1985, Pubmed
Carattino, Contribution of residues in second transmembrane domain of ASIC1a protein to ion selectivity. 2012, Pubmed , Xenbase
Cashin, Chemical-scale studies on the role of a conserved aspartate in preorganizing the agonist binding site of the nicotinic acetylcholine receptor. 2007, Pubmed , Xenbase
Dahan, A fluorophore attached to nicotinic acetylcholine receptor beta M2 detects productive binding of agonist to the alpha delta site. 2004, Pubmed , Xenbase
Davis, Deuterium magnetic resonance study of the gel and liquid crystalline phases of dipalmitoyl phosphatidylcholine. 1979, Pubmed
Dougherty, In vivo incorporation of non-canonical amino acids by using the chemical aminoacylation strategy: a broadly applicable mechanistic tool. 2014, Pubmed , Xenbase
Du, Protons are a neurotransmitter that regulates synaptic plasticity in the lateral amygdala. 2014, Pubmed
Dürrnagel, High Ca(2+) permeability of a peptide-gated DEG/ENaC from Hydra. 2012, Pubmed , Xenbase
Edgar, MUSCLE: multiple sequence alignment with high accuracy and high throughput. 2004, Pubmed
Gründer, Identification of a highly conserved sequence at the N-terminus of the epithelial Na+ channel alpha subunit involved in gating. 1999, Pubmed , Xenbase
Gründer, Biophysical properties of acid-sensing ion channels (ASICs). 2015, Pubmed
Hattori, Molecular mechanism of ATP binding and ion channel activation in P2X receptors. 2012, Pubmed
Hille, The permeability of the sodium channel to metal cations in myelinated nerve. 1972, Pubmed
Hong, A transmembrane domain of the putative channel subunit MEC-4 influences mechanotransduction and neurodegeneration in C. elegans. 1994, Pubmed , Xenbase
Hoover, Canonical dynamics: Equilibrium phase-space distributions. 1985, Pubmed
Humphrey, VMD: visual molecular dynamics. 1996, Pubmed
Iskrenova-Tchoukova, Metal cation complexation with natural organic matter in aqueous solutions: molecular dynamics simulations and potentials of mean force. 2010, Pubmed
Jasti, Structure of acid-sensing ion channel 1 at 1.9 A resolution and low pH. 2007, Pubmed
Jing, Three distinct motifs within the C-terminus of acid-sensing ion channel 1a regulate its surface trafficking. 2013, Pubmed
Kellenberger, On the molecular basis of ion permeation in the epithelial Na+ channel. 1999, Pubmed , Xenbase
Kellenberger, A single point mutation in the pore region of the epithelial Na+ channel changes ion selectivity by modifying molecular sieving. 1999, Pubmed , Xenbase
Kellenberger, Epithelial sodium channel/degenerin family of ion channels: a variety of functions for a shared structure. 2002, Pubmed
Kellenberger, Permeability properties of ENaC selectivity filter mutants. 2001, Pubmed , Xenbase
Klauda, Update of the CHARMM all-atom additive force field for lipids: validation on six lipid types. 2010, Pubmed
Kreple, Acid-sensing ion channels contribute to synaptic transmission and inhibit cocaine-evoked plasticity. 2014, Pubmed
Langloh, Charged residues in the M2 region of alpha-hENaC play a role in channel conductance. 2000, Pubmed , Xenbase
Li, Outlines of the pore in open and closed conformations describe the gating mechanism of ASIC1. 2011, Pubmed , Xenbase
Li, Asp433 in the closing gate of ASIC1 determines stability of the open state without changing properties of the selectivity filter or Ca2+ block. 2011, Pubmed , Xenbase
Lu, Probing ion permeation and gating in a K+ channel with backbone mutations in the selectivity filter. 2001, Pubmed , Xenbase
Mackerell, Extending the treatment of backbone energetics in protein force fields: limitations of gas-phase quantum mechanics in reproducing protein conformational distributions in molecular dynamics simulations. 2004, Pubmed
MacKerell, All-atom empirical potential for molecular modeling and dynamics studies of proteins. 1998, Pubmed
Mansoor, X-ray structures define human P2X(3) receptor gating cycle and antagonist action. 2016, Pubmed
Marinelli, Sodium recognition by the Na+/Ca2+ exchanger in the outward-facing conformation. 2014, Pubmed
Noskov, Control of ion selectivity in LeuT: two Na+ binding sites with two different mechanisms. 2008, Pubmed
Noskov, Control of ion selectivity in potassium channels by electrostatic and dynamic properties of carbonyl ligands. 2004, Pubmed
Nowak, In vivo incorporation of unnatural amino acids into ion channels in Xenopus oocyte expression system. 1998, Pubmed , Xenbase
Payandeh, The crystal structure of a voltage-gated sodium channel. 2011, Pubmed
Petersen, Thermal phase transitions in deuterated lecithin bilayers. 1975, Pubmed
Pfister, A gating mutation in the internal pore of ASIC1a. 2006, Pubmed , Xenbase
Phillips, Scalable molecular dynamics with NAMD. 2005, Pubmed
Pidoplichko, ASIC1a activation enhances inhibition in the basolateral amygdala and reduces anxiety. 2014, Pubmed
Pless, Contributions of counter-charge in a potassium channel voltage-sensor domain. 2011, Pubmed , Xenbase
Roux, Exploring the ion selectivity properties of a large number of simplified binding site models. 2010, Pubmed
Sheng, Characterization of the selectivity filter of the epithelial sodium channel. 2000, Pubmed , Xenbase
Sheng, Second transmembrane domains of ENaC subunits contribute to ion permeation and selectivity. 2001, Pubmed , Xenbase
Snyder, A pore segment in DEG/ENaC Na(+) channels. 1999, Pubmed
Venable, Simulations of anionic lipid membranes: development of interaction-specific ion parameters and validation using NMR data. 2013, Pubmed
Voilley, Nonsteroid anti-inflammatory drugs inhibit both the activity and the inflammation-induced expression of acid-sensing ion channels in nociceptors. 2001, Pubmed
Waldmann, Functional degenerin-containing chimeras identify residues essential for amiloride-sensitive Na+ channel function. 1995, Pubmed
Waldmann, A proton-gated cation channel involved in acid-sensing. 1997, Pubmed , Xenbase
Wemmie, The acid-activated ion channel ASIC contributes to synaptic plasticity, learning, and memory. 2002, Pubmed
Wu, Two di-leucine motifs regulate trafficking and function of mouse ASIC2a. 2016, Pubmed
Xiong, Neuroprotection in ischemia: blocking calcium-permeable acid-sensing ion channels. 2004, Pubmed
Yang, Ion conduction and selectivity in acid-sensing ion channel 1. 2014, Pubmed , Xenbase
Yang, Inherent dynamics of the acid-sensing ion channel 1 correlates with the gating mechanism. 2009, Pubmed
Ziemann, The amygdala is a chemosensor that detects carbon dioxide and acidosis to elicit fear behavior. 2009, Pubmed
