Click here to close
Hello! We notice that you are using Internet Explorer, which is not supported by Xenbase and may cause the site to display incorrectly.
We suggest using a current version of Chrome,
FireFox, or Safari.
???displayArticle.abstract???
The Cape platanna, Xenopus gilli, an endangered frog, hybridizes with the African clawed frog, X. laevis, in South Africa. Estimates of the extent of gene flow between these species range from pervasive to rare. Efforts have been made in the last 30 years to minimize hybridization between these two species in the west population of X. gilli, but not the east populations. To further explore the impact of hybridization and the efforts to minimize it, we examined molecular variation in one mitochondrial and 13 nuclear genes in genetic samples collected recently (2013) and also over two decades ago (1994). Despite the presence of F 1 hybrids, none of the genomic regions we surveyed had evidence of gene flow between these species, indicating a lack of extensive introgression. Additionally we found no significant effect of sampling time on genetic diversity of populations of each species. Thus, we speculate that F 1 hybrids have low fitness and are not backcrossing with the parental species to an appreciable degree. Within X. gilli, evidence for gene flow was recovered between eastern and western populations, a finding that has implications for conservation management of this species and its threatened habitat.
Figure 1. Sampling locations. For each species, numbers indicate the sum of number of individuals from each locality sampled in 1994 and 2013. An inset indicates the study area in southern Africa and altitude in meters is indicate on the scale. The map was made using the R package Marmap81 using topographic data from the National Oceanic and Atmospheric Administration, USA.
Figure 2. Evolutionary models considered for X. gilli sequence data from east and west populations included (a) population division without subsequent gene flow, (b) separation followed by ongoing gene flow, and (c) separation followed by secondary contact after a period of no gene flow. Model parameters include the population polymorphism parameter θ, which is assumed to be constant in the ancestral and both descendant populations, the time of speciation T, the amount of migration m, and the time of secondary contact τ.
Figure 3. Representative gene trees that collectively provide no evidence of genetic exchange between X. gilli and X. laevis. The phylogeny on the left illustrates divergence between 16S rDNA mitochondrial sequences in the east and west populations of X. gilli, and with one shared sequence (indicated with an arrow) that occurred on both sides of False Bay. The nuclear phylogenies in the center and right provide examples of no shared alleles and shared alleles between the east and west X. gilli populations, respectively. Gene name acronyms are described in the Materials and Methods section. These and other phylogenies are depicted with sample labels in Fig. S1.
Figure 4. (a) Structure analyses for 10 loci, which had sequence data for all populations. (b) Likelihood for each value of K.
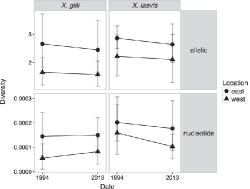
Figure 5. Genetic diversity statistics including rarefied estimates of allelic diversity (top panels) and nucleotide diversity (π) weighted by length of sequence; bottom panels). For allelic diversity, the analysis considered the same 10 loci as were analyzed by the STRUCTURE analysis (see Materials and Methods). Allelic diversity for X. laevis did not include PRMT6 locus because this locus only had four alleles for the west 1994 population.
Altschul,
Basic local alignment search tool.
1990, Pubmed
Altschul,
Basic local alignment search tool.
1990,
Pubmed Arnold,
Adaptation by introgression.
2009,
Pubmed Becquet,
Learning about modes of speciation by computational approaches.
2009,
Pubmed Becquet,
A new approach to estimate parameters of speciation models with application to apes.
2007,
Pubmed Bewick,
The pipid root.
2012,
Pubmed
,
Xenbase Bewick,
Evolution of the closely related, sex-related genes DM-W and DMRT1 in African clawed frogs (Xenopus).
2011,
Pubmed
,
Xenbase Blair,
Hybridization and invasion: an experimental test with diffuse knapweed (Centaurea diffusa Lam.).
2012,
Pubmed Bowes,
Xenbase: gene expression and improved integration.
2010,
Pubmed
,
Xenbase Caballero,
Allelic diversity and its implications for the rate of adaptation.
2013,
Pubmed Colliard,
Strong reproductive barriers in a narrow hybrid zone of West-Mediterranean green toads (Bufo viridis subgroup) with Plio-Pleistocene divergence.
2010,
Pubmed Conlon,
Evidence from peptidomic analysis of skin secretions that allopatric populations of Xenopus gilli (Anura:Pipidae) constitute distinct lineages.
2015,
Pubmed
,
Xenbase Davey,
Genome-wide genetic marker discovery and genotyping using next-generation sequencing.
2011,
Pubmed Drummond,
Bayesian phylogenetics with BEAUti and the BEAST 1.7.
2012,
Pubmed Dufresnes,
Timeframe of speciation inferred from secondary contact zones in the European tree frog radiation (Hyla arborea group).
2015,
Pubmed Evanno,
Detecting the number of clusters of individuals using the software STRUCTURE: a simulation study.
2005,
Pubmed Evans,
Comparative molecular phylogeography of two Xenopus species, X. gilli and X. laevis, in the south-western Cape Province, South Africa.
1997,
Pubmed
,
Xenbase Evans,
Genetics, Morphology, Advertisement Calls, and Historical Records Distinguish Six New Polyploid Species of African Clawed Frog (Xenopus, Pipidae) from West and Central Africa.
2015,
Pubmed
,
Xenbase Evans,
Genome evolution and speciation genetics of clawed frogs (Xenopus and Silurana).
2008,
Pubmed
,
Xenbase Evans,
A mitochondrial DNA phylogeny of African clawed frogs: phylogeography and implications for polyploid evolution.
2004,
Pubmed
,
Xenbase Evans,
The Rift Valley is a major barrier to dispersal of African clawed frogs (Xenopus) in Ethiopia.
2011,
Pubmed
,
Xenbase Excoffier,
Arlequin suite ver 3.5: a new series of programs to perform population genetics analyses under Linux and Windows.
2010,
Pubmed Fitzpatrick,
Rapid fixation of non-native alleles revealed by genome-wide SNP analysis of hybrid tiger salamanders.
2009,
Pubmed Fogell,
Mind the gaps: investigating the cause of the current range disjunction in the Cape Platanna, Xenopus gilli (Anura: Pipidae).
2013,
Pubmed
,
Xenbase Furman,
Pan-African phylogeography of a model organism, the African clawed frog 'Xenopus laevis'.
2015,
Pubmed
,
Xenbase Greenbaum,
Allelic richness following population founding events--a stochastic modeling framework incorporating gene flow and genetic drift.
2014,
Pubmed Heled,
Bayesian inference of species trees from multilocus data.
2010,
Pubmed Jakobsson,
CLUMPP: a cluster matching and permutation program for dealing with label switching and multimodality in analysis of population structure.
2007,
Pubmed Katoh,
MAFFT multiple sequence alignment software version 7: improvements in performance and usability.
2013,
Pubmed Kier,
A global assessment of endemism and species richness across island and mainland regions.
2009,
Pubmed Malone,
Sterility and gene expression in hybrid males of Xenopus laevis and X. muelleri.
2007,
Pubmed
,
Xenbase Myers,
Biodiversity hotspots for conservation priorities.
2000,
Pubmed Pante,
marmap: A package for importing, plotting and analyzing bathymetric and topographic data in R.
2013,
Pubmed Paradis,
pegas: an R package for population genetics with an integrated-modular approach.
2010,
Pubmed Pritchard,
Inference of population structure using multilocus genotype data.
2000,
Pubmed Rieseberg,
Major ecological transitions in wild sunflowers facilitated by hybridization.
2003,
Pubmed Simonti,
The phenotypic legacy of admixture between modern humans and Neandertals.
2016,
Pubmed Stelkens,
The effect of hybrid transgression on environmental tolerance in experimental yeast crosses.
2014,
Pubmed Stephens,
A comparison of bayesian methods for haplotype reconstruction from population genotype data.
2003,
Pubmed Stephens,
Accounting for decay of linkage disequilibrium in haplotype inference and missing-data imputation.
2005,
Pubmed Stukenbrock,
The Role of Hybridization in the Evolution and Emergence of New Fungal Plant Pathogens.
2016,
Pubmed Vogt,
Competition and feeding ecology in two sympatric Xenopus species (Anura: Pipidae).
2017,
Pubmed
,
Xenbase Weiss,
Inference of population history using a likelihood approach.
1998,
Pubmed