Click here to close
Hello! We notice that you are using Internet Explorer, which is not supported by Xenbase and may cause the site to display incorrectly.
We suggest using a current version of Chrome,
FireFox, or Safari.
Sci Rep
2017 Feb 13;7:41791. doi: 10.1038/srep41791.
Show Gene links
Show Anatomy links
Dynamic properties of calcium-activated chloride currents in Xenopus laevis oocytes.
M De la Fuente I, Malaina I, Pérez-Samartín A, Boyano MD, Pérez-Yarza G, Bringas C, Villarroel Á, Fedetz M, Arellano R, Cortes JM, Martínez L.
???displayArticle.abstract???
Chloride is the most abundant permeable anion in the cell, and numerous studies in the last two decades highlight the great importance and broad physiological role of chloride currents mediated anion transport. They participate in a multiplicity of key processes, as for instance, the regulation of electrical excitability, apoptosis, cell cycle, epithelial secretion and neuronal excitability. In addition, dysfunction of Cl- channels is involved in a variety of human diseases such as epilepsy, osteoporosis and different cancer types. Historically, chloride channels have been of less interest than the cation channels. In fact, there seems to be practically no quantitative studies of the dynamics of chloride currents. Here, for the first time, we have quantitatively studied experimental calcium-activated chloride fluxes belonging to Xenopus laevis oocytes, and the main results show that the experimental Cl- currents present an informational structure characterized by highly organized data sequences, long-term memory properties and inherent "crossover" dynamics in which persistent correlations arise at short time intervals, while anti-persistent behaviors become dominant in long time intervals. Our work sheds some light on the understanding of the informational properties of ion currents, a key element to elucidate the physiological functional coupling with the integrative dynamics of metabolic processes.
Figure 1. Calcium-activated chloride currents in Xenopus laevis oocyte.Three prototype experimental Cl− currents obtained from the same cell at different conditions: (a) pH 5.0 (n10), (b) pH 7.0 (n11), (c) pH 9.0 (n12). Each chloride time series has 130,000 points (sampling interval 2 milliseconds), which correspond to a period of time of 260,000 milliseconds duration. The vertical axis (Φ) corresponds to the measures of currents in nanoampers (nA).
Figure 2. Ca2+-dependent Cl− current validation.(a) Xenopus oocyte held at either −60, −40, −20 or 0 mV. Reversal potential of oscillatory currents corresponded to a value close to −23 mV. (b) Oscillatory current reversal potential were dependent on external Cl− concentration, traces show currents in oocytes held at −30 mV or 0 mV in 3 different solutions containing 100%, 50% or 0% Cl−, reversal potential shifted toward more positive potentials as external Cl− concentration decreased. (c) Cytoplasmic injection of EGTA, a Ca2+ chelator, completely eliminated the oscillatory Cl− current.
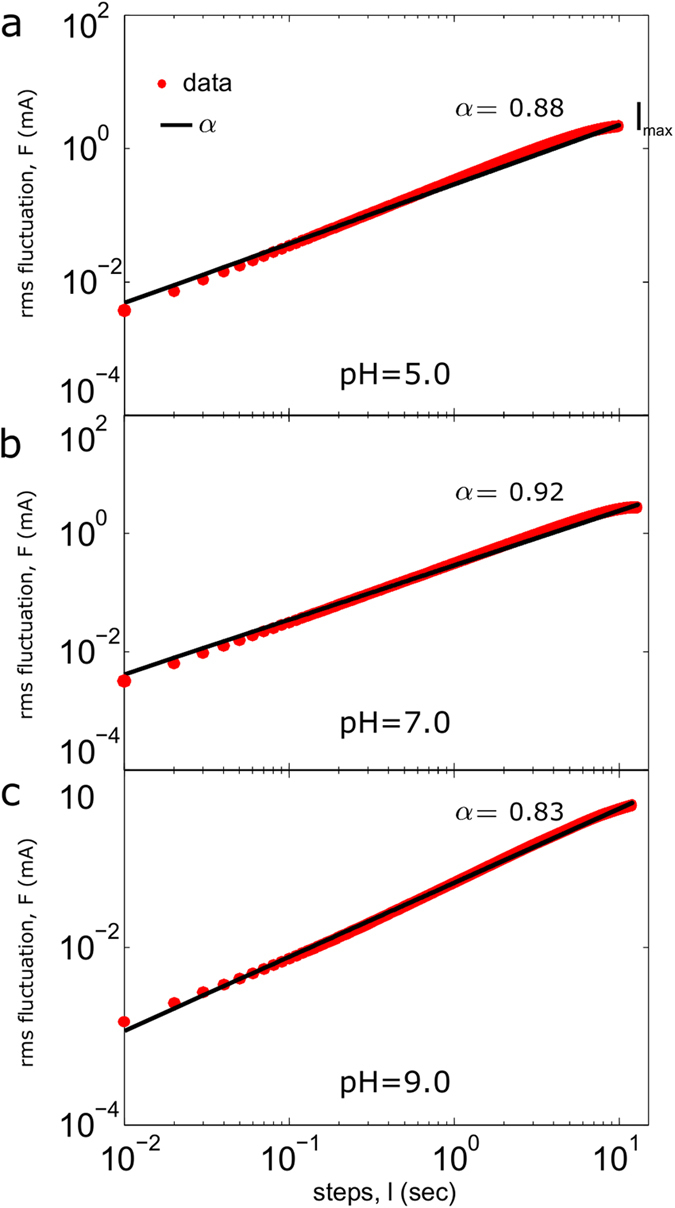
Figure 3. Root mean square fluctuation analysis applied to experiment 1 on a single window.Log-log plot of the rms fluctuation F versus l step. The red points depict the results of the original data for each value of l, while the black lines represent the regression lines. (a) α = 0.88 (n1), (b) α = 0.92 (n2) and (c) α = 0.83 (n3). Corresponding (respectively) R2 adjustment coefficients were 0.9915, 0.9921 and 0.9976. The high values of α and R2 indicate non-trivial long-term correlations for each chloride time series during 10, 13 and 12 seconds respectively.
Figure 4. Long-term correlations across different windows lengths.(a) Global average versus different values of lmax (varying from 1 to 24 seconds). (b) as a function of lmax (varying from 25 to 40 seconds). The error bars represent the standard deviation at each step. It can be observed that all Cl− time series change from positive to negative correlation near lmax = 28 seconds.
Figure 5. Hurst exponents obtained by the bdSWV analysis.(a) The slope of a log-log plot of the versus the window size for a bdWSV applied to an evoked chloride series (n13, experiment 5, pH = 5.0) gives H = 0.104, indicating the presence of long-term memory. (b) The slope of a log-log plot of the SD(n) versus the window size for a Dispersion Analysis applied to shuffled time series obtained by randomly permuting all the 130,000 time points for each Cl− time series (n13). After shuffling, H was close to 0.5, indicating the disappearance of the memory structure. (c) In red, Hurst exponent values of all the experimental chloride time series; in blue, 100 Hurst exponent values obtained from shuffled series.
Aon,
The scale-free dynamics of eukaryotic cells.
2008, Pubmed
Aon,
The scale-free dynamics of eukaryotic cells.
2008,
Pubmed Bader,
Voltage-activated and calcium-activated currents studied in solitary rod inner segments from the salamander retina.
1982,
Pubmed Bandeira,
Chaotic model and memory in single calcium-activated potassium channel kinetics.
2008,
Pubmed Barbour,
What can we learn from synaptic weight distributions?
2007,
Pubmed Bassingthwaighte,
Evaluation of the dispersional analysis method for fractal time series.
1995,
Pubmed Berg,
Ca2+-activated Cl- channels at a glance.
2012,
Pubmed
,
Xenbase Caccia,
Analyzing exact fractal time series: evaluating dispersional analysis and rescaled range methods.
1997,
Pubmed Cannon,
Evaluating scaled windowed variance methods for estimating the Hurst coefficient of time series.
1997,
Pubmed Cross,
Initiation of the activation potential by an increase in intracellular calcium in eggs of the frog, Rana pipiens.
1981,
Pubmed Dascal,
The use of Xenopus oocytes for the study of ion channels.
1987,
Pubmed
,
Xenbase De la Fuente,
Elements of the cellular metabolic structure.
2015,
Pubmed De la Fuente,
Attractor metabolic networks.
2013,
Pubmed Duan,
Phenomics of cardiac chloride channels.
2013,
Pubmed Duran,
Chloride channels: often enigmatic, rarely predictable.
2010,
Pubmed Eke,
Physiological time series: distinguishing fractal noises from motions.
2000,
Pubmed Endeman,
Chloride currents in cones modify feedback from horizontal cells to cones in goldfish retina.
2012,
Pubmed Frizzell,
Physiology of epithelial chloride and fluid secretion.
2012,
Pubmed Gao,
Multi-frequency complex network from time series for uncovering oil-water flow structure.
2015,
Pubmed Gao,
Multiscale limited penetrable horizontal visibility graph for analyzing nonlinear time series.
2016,
Pubmed Gonzalez-Silva,
Ca2+-activated Cl- channels of the ClCa family express in the cilia of a subset of rat olfactory sensory neurons.
2013,
Pubmed Hardstone,
Detrended fluctuation analysis: a scale-free view on neuronal oscillations.
2012,
Pubmed Hartzell,
Calcium-activated chloride channels.
2005,
Pubmed Hoffmann,
Functions of volume-sensitive and calcium-activated chloride channels.
2014,
Pubmed Hopfield,
Neural networks and physical systems with emergent collective computational abilities.
1982,
Pubmed Huang,
International Union of Basic and Clinical Pharmacology. LXXXV: calcium-activated chloride channels.
2012,
Pubmed
,
Xenbase Huang,
Calcium-activated chloride channels (CaCCs) regulate action potential and synaptic response in hippocampal neurons.
2012,
Pubmed Isomura,
Synaptically activated Cl- accumulation responsible for depolarizing GABAergic responses in mature hippocampal neurons.
2003,
Pubmed Jentsch,
Chloride channels: an emerging molecular picture.
1997,
Pubmed Jentsch,
Molecular structure and physiological function of chloride channels.
2002,
Pubmed Jentsch,
CLC chloride channels and transporters.
2005,
Pubmed Jentsch,
CLC chloride channels and transporters: from genes to protein structure, pathology and physiology.
2008,
Pubmed Kane Dickson,
Structure and insights into the function of a Ca(2+)-activated Cl(-) channel.
2014,
Pubmed Kim,
Cl- channels are expressed in human normal monocytes: a functional role in migration, adhesion and volume change.
2004,
Pubmed Kuner,
A genetically encoded ratiometric indicator for chloride: capturing chloride transients in cultured hippocampal neurons.
2000,
Pubmed Larsen,
On the encoding and decoding of calcium signals in hepatocytes.
2004,
Pubmed Li,
Regulation of ovarian cancer cell adhesion and invasion by chloride channels.
2009,
Pubmed Ludington,
Avalanche-like behavior in ciliary import.
2013,
Pubmed Mao,
Volume-activated chloride channels contribute to cell-cycle-dependent regulation of HeLa cell migration.
2009,
Pubmed Miledi,
A calcium-dependent transient outward current in Xenopus laevis oocytes.
1982,
Pubmed
,
Xenbase Nilius,
Amazing chloride channels: an overview.
2003,
Pubmed Okada,
Volume-sensitive chloride channels involved in apoptotic volume decrease and cell death.
2006,
Pubmed O'Rourke,
Mitochondrial ion channels.
2007,
Pubmed Peng,
Quantification of scaling exponents and crossover phenomena in nonstationary heartbeat time series.
1995,
Pubmed Peretti,
Chloride channels in cancer: Focus on chloride intracellular channel 1 and 4 (CLIC1 AND CLIC4) proteins in tumor development and as novel therapeutic targets.
2015,
Pubmed Pifferi,
Anoctamin 2/TMEM16B: a calcium-activated chloride channel in olfactory transduction.
2012,
Pubmed Planells-Cases,
Chloride channelopathies.
2009,
Pubmed Ponce-Coria,
Regulation of NKCC2 by a chloride-sensing mechanism involving the WNK3 and SPAK kinases.
2008,
Pubmed
,
Xenbase Prank,
Coding efficiency and information rates in transmembrane signaling.
2000,
Pubmed Ramanujan,
Scaling behavior in mitochondrial redox fluctuations.
2006,
Pubmed Stauber,
Chloride in vesicular trafficking and function.
2013,
Pubmed Suzuki,
Diversity of Cl(-) channels.
2006,
Pubmed Tang,
Physiology and pathophysiology of CLC-1: mechanisms of a chloride channel disease, myotonia.
2011,
Pubmed Tigyi,
A serum factor that activates the phosphatidylinositol phosphate signaling system in Xenopus oocytes.
1990,
Pubmed
,
Xenbase Varanda,
Hurst analysis applied to the study of single calcium-activated potassium channel kinetics.
2000,
Pubmed Verkman,
Chloride channels as drug targets.
2009,
Pubmed Voglis,
The role of synaptic ion channels in synaptic plasticity.
2006,
Pubmed Wawrzkiewicz,
On the simple random-walk models of ion-channel gate dynamics reflecting long-term memory.
2012,
Pubmed