Click here to close
Hello! We notice that you are using Internet Explorer, which is not supported by Xenbase and may cause the site to display incorrectly.
We suggest using a current version of Chrome,
FireFox, or Safari.
???displayArticle.abstract???
Cryogenic storage of sperm from genetically altered Xenopus improves cost effectiveness and animal welfare associated with their use in research; currently it is routine for X. tropicalis but not reliable for X. laevis. Here we compare directly the three published protocols for Xenopus sperm freeze-thaw and determine whether sperm storage temperature, method of testes maceration and delays in the freezing protocols affect successful fertilisation and embryo development in X. laevis. We conclude that the protocol is robust and that the variability observed in fertilisation rates is due to differences between individuals. We show that the embryos made from the frozen-thawed sperm are normal and that the adults they develop into are reproductively indistinguishable from others in the colony. This opens the way for using cryopreserved sperm to distribute dominant genetically altered (GA) lines, potentially saving travel-induced stress to the male frogs, reducing their numbers used and making Xenopus experiments more cost effective.
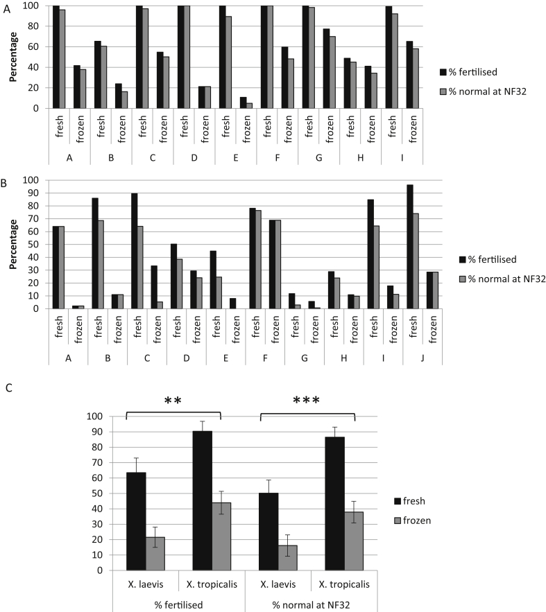
Fig. 1. Cryogenic preservation of X. laevis sperm is less effective and consistent than for X. tropicalis sperm. Testes from individual X. tropicalis (A) and X . laevis (B) were either used fresh or frozen and thawed using the Harland method to fertilise eggs from a single female of known good quality. A-I on the X-axis refers to sperm samples, each from a different male. The experiment was repeated using three female frogs, to eliminate this as a possible source of variability, data from a single female are shown. Eggs that divided were counted as fertilised, and morphologically normal embryos were counted at NF32. C) The mean values from the experiments above are shown for X. laevis and X. tropicalis ± SEM. There is a significant effect of the species on the percentage fertilisation (**: p = 0.002) and on the percentage of normal embryos at NF32 (***: p = 0.0003), whether fresh or frozen sperm was used.
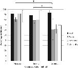
Fig. 2. The Mansour and Harland methods are the most effective for long-term cryopreservation of X. laevis sperm. Sperm from 3 separate male frogs was either tested fresh on eggs from two females of known good quality or was tested following cryopreservation by the methods shown. Sperm were recovered after 2 days, 3 months or 13 months and fertilisation rates were recorded. Means ± SEM are shown. There is no significant difference between the Mansour and Harland methods (p = 0.82). There is a significant difference between the Harland and Sargent methods (*: p = 0.04) and between the Mansour and Sargent methods (*: p = 0.03).
Fig. 3. Embryos from frozen sperm develop normally. A) Eggs were fertilised using sperm frozen by the methods shown and stored on LN2 for 3 months, the number of normal and abnormal embryos was scored at NF32, normal embryo percentages are expressed as a % of the surviving embryos at NF32. Means ± SEM are shown. B) Example of normal, left, and abnormal, right, embryos fertilised with cryopreserved sperm. C) Embryos produced using fresh or frozen sperm (Harland method) were fixed at NF32 and 12 of each analysed for the expression of the markers shown by in situ hybridisation. D) Once the embryos had developed to metamorphosis they were weighed. Means ± SEM are shown.
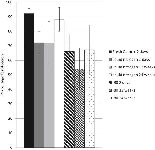
Fig. 4. There is no difference in sperm activity between cryopreserved sperm stored in liquid nitrogen and cryopreserved sperm stored at -80C. Eggs were fertilised using sperm frozen by the Harland method and stored on LN2 or at â80C for 2 days, 12 weeks or 24 weeks. Means ± SEM are shown. The storage method does not have an effect on the fertility (p = 0.08), and neither does the time stored (p = 0.45).
Abu-Daya,
Absence of heartbeat in the Xenopus tropicalis mutation muzak is caused by a nonsense mutation in cardiac myosin myh6.
2009, Pubmed,
Xenbase
Abu-Daya,
Absence of heartbeat in the Xenopus tropicalis mutation muzak is caused by a nonsense mutation in cardiac myosin myh6.
2009,
Pubmed
,
Xenbase Abu-Daya,
The secreted integrin ligand nephronectin is necessary for forelimb formation in Xenopus tropicalis.
2011,
Pubmed
,
Xenbase Acosta,
The serpin PN1 is a feedback regulator of FGF signaling in germ layer and primary axis formation.
2015,
Pubmed
,
Xenbase Agca,
Genome resource banking of biomedically important laboratory animals.
2012,
Pubmed Bath,
Simple and efficient in vitro fertilization with cryopreserved C57BL/6J mouse sperm.
2003,
Pubmed Bestman,
An in vivo screen to identify candidate neurogenic genes in the developing Xenopus visual system.
2015,
Pubmed
,
Xenbase Broadbent,
Wholemount in situ hybridization of Xenopus and zebrafish embryos.
1999,
Pubmed
,
Xenbase Carmichael,
Cryopreservation and in vitro fertilization at the zebrafish international resource center.
2009,
Pubmed Chen,
Reconstitution Of β-catenin degradation in Xenopus egg extract.
2014,
Pubmed
,
Xenbase Chung,
Sp8 regulates inner ear development.
2014,
Pubmed
,
Xenbase Davis,
Lost in transgenesis: a user's guide for genetically manipulating the mouse in cardiac research.
2012,
Pubmed Duncan,
Xenopus as a model organism for birth defects-Congenital heart disease and heterotaxy.
2016,
Pubmed
,
Xenbase Field,
Xenopus egg cytoplasm with intact actin.
2014,
Pubmed
,
Xenbase Gallagher,
Carboxy terminus of GATA4 transcription factor is required for its cardiogenic activity and interaction with CDK4.
2014,
Pubmed
,
Xenbase Guille,
Microinjection into Xenopus oocytes and embryos.
1999,
Pubmed
,
Xenbase Guo,
Efficient RNA/Cas9-mediated genome editing in Xenopus tropicalis.
2014,
Pubmed
,
Xenbase Harland,
Xenopus research: metamorphosed by genetics and genomics.
2011,
Pubmed
,
Xenbase Holt,
The significance of cooling rates and animal variability for boar sperm cryopreservation: insights from the cryomicroscope.
2005,
Pubmed Iwasaki,
The splicing factor PQBP1 regulates mesodermal and neural development through FGF signaling.
2014,
Pubmed
,
Xenbase Jang,
A thioredoxin fold protein Sh3bgr regulates Enah and is necessary for proper sarcomere formation.
2015,
Pubmed
,
Xenbase Kerney,
Regulatory elements of Xenopus col2a1 drive cartilaginous gene expression in transgenic frogs.
2010,
Pubmed
,
Xenbase Kroll,
Transgenic Xenopus embryos from sperm nuclear transplantations reveal FGF signaling requirements during gastrulation.
1996,
Pubmed
,
Xenbase Latinkić,
Distinct enhancers regulate skeletal and cardiac muscle-specific expression programs of the cardiac alpha-actin gene in Xenopus embryos.
2002,
Pubmed
,
Xenbase Lienkamp,
Using Xenopus to study genetic kidney diseases.
2016,
Pubmed
,
Xenbase Liu,
A highly effective TALEN-mediated approach for targeted gene disruption in Xenopus tropicalis and zebrafish.
2014,
Pubmed
,
Xenbase Mansour,
Optimization of the cryopreservation of African clawed frog (Xenopus laevis) sperm.
2009,
Pubmed
,
Xenbase Meza-Parral,
Amphibian diversity and threatened species in a severely transformed neotropical region in Mexico.
2015,
Pubmed Morrow,
Effects of freezing and activation on membrane quality and DNA damage in Xenopus tropicalis and Xenopus laevis spermatozoa.
2017,
Pubmed
,
Xenbase Muñoz,
Regeneration of Xenopus laevis spinal cord requires Sox2/3 expressing cells.
2015,
Pubmed
,
Xenbase Nakade,
Homeolog-specific targeted mutagenesis in Xenopus laevis using TALENs.
2015,
Pubmed
,
Xenbase Nakajima,
Comparison of TALEN scaffolds in Xenopus tropicalis.
2013,
Pubmed
,
Xenbase Nakajima,
Highly efficient gene knockout by injection of TALEN mRNAs into oocytes and host transfer in Xenopus laevis.
2015,
Pubmed
,
Xenbase Nakayama,
Cas9-based genome editing in Xenopus tropicalis.
2014,
Pubmed
,
Xenbase Park,
The MCM8-MCM9 complex promotes RAD51 recruitment at DNA damage sites to facilitate homologous recombination.
2013,
Pubmed
,
Xenbase Pearl,
Development of Xenopus resource centers: the National Xenopus Resource and the European Xenopus Resource Center.
2012,
Pubmed
,
Xenbase Pukazhenthi,
Applications of emerging technologies to the study and conservation of threatened and endangered species.
2006,
Pubmed Ratzan,
Generation of a Xenopus laevis F1 albino J strain by genome editing and oocyte host-transfer.
2017,
Pubmed
,
Xenbase Roznik,
Seasonal Ecology and Behavior of an Endangered Rainforest Frog (Litoria rheocola) Threatened by Disease.
2015,
Pubmed Sargent,
Cryopreservation of sperm of Xenopus laevis and Xenopus tropicalis.
2005,
Pubmed
,
Xenbase Shi,
Centrin-2 (Cetn2) mediated regulation of FGF/FGFR gene expression in Xenopus.
2015,
Pubmed
,
Xenbase Suzuki,
Identification of distal enhancers for Six2 expression in pronephros.
2015,
Pubmed
,
Xenbase Suzuki,
High efficiency TALENs enable F0 functional analysis by targeted gene disruption in Xenopus laevis embryos.
2013,
Pubmed
,
Xenbase Tholl,
Swimming of Xenopus laevis sperm exhibits multiple gears and its duration is extended by egg jelly constituents.
2011,
Pubmed
,
Xenbase Van Nieuwenhuysen,
TALEN-mediated apc mutation in Xenopus tropicalis phenocopies familial adenomatous polyposis.
2015,
Pubmed
,
Xenbase Wake,
Colloquium paper: are we in the midst of the sixth mass extinction? A view from the world of amphibians.
2008,
Pubmed Wallkamm,
Live imaging of Xwnt5A-ROR2 complexes.
2014,
Pubmed
,
Xenbase Wang,
Phosphorylation and arginine methylation mark histone H2A prior to deposition during Xenopus laevis development.
2014,
Pubmed
,
Xenbase Yan,
Microarray identification of novel genes downstream of Six1, a critical factor in cranial placode, somite, and kidney development.
2015,
Pubmed
,
Xenbase Zee,
Individual variability in post-thaw sperm survival in a captive koala population.
2009,
Pubmed