Click here to close
Hello! We notice that you are using Internet Explorer, which is not supported by Xenbase and may cause the site to display incorrectly.
We suggest using a current version of Chrome,
FireFox, or Safari.
???displayArticle.abstract???
Large insert genomic DNA libraries are useful resources for genomic studies. Although the genome of Xenopus tropicalis stands as the amphibian reference genome because it benefitted from large-scale sequencing studies, physical mapping resources such as BAC libraries are lagging behind. Here we present the construction and characterization of a BAC library that covers the whole X. tropicalis genome. We prepared this BAC library from the genomic DNA of X. tropicalis females of the Adiopodoume strain. We characterized BAC clones by screening for specific loci, by chromosomal localization using FISH and by systematic BAC end sequencing. The median insert size is about 110kbp and the library coverage is around six genome equivalents. We obtained a total of 163,787 BAC end sequences with mate pairs for 77,711 BAC clones. We mapped all BAC end sequences to the reference X. tropicalis genome assembly to enable the identification of BAC clones covering specific loci. Overall, this BAC library resource complements the knowledge of the X. tropicalis genome and should further promote its use as a reference genome for developmental biology studies and amphibian comparative genomics.
Fig. 1. Evaluation of XTHR BAC insert sizes. (A) Picture of a pulsed-field gel electrophoresis gel on 56 randomly selected BAC clones. Each BAC DNA was digested using NotI before PFGE. M: bacteriophage Lambda DNA concatemers used as molecular weight markers (Bio-Rad). Note the released vector fragment band at the bottom of the gel. (B) Bar-plot representation of 55 BAC insert sizes, sorted by size. Each bar represents the BAC insert size as determined from the gels shown in panel A. The error bar represents 10% of measurement uncertainty. Each bar corresponds to a BAC clone. (C) Frequency distribution of insert sizes determined by the mapping of XTHR BAC end sequences on X. tropicalis genome sequence version 9.
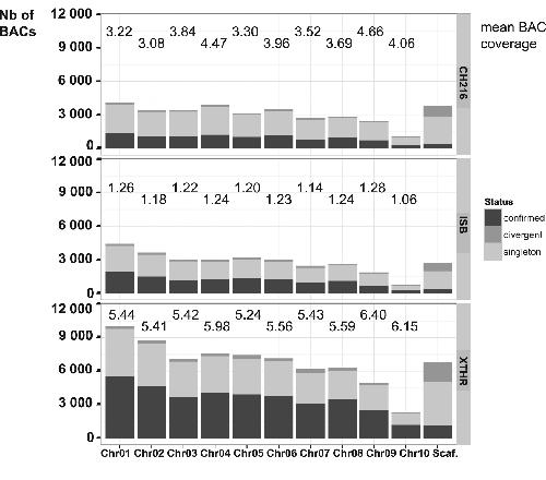
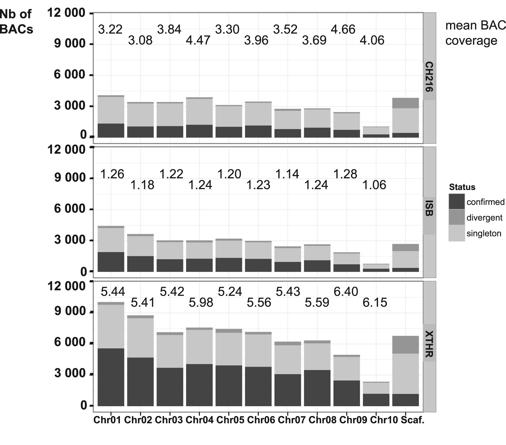
Fig. 2. Evaluation of BAC coverage. This bar plot represents the number of BAC clones mapped to each chromosome either from both ends (confirmed) or from only one end (singleton). Divergent BACs are those for which both ends map to different chromosomes or scaffolds. The numbers indicated above each bar represent the mean BAC coverage of the given chromosome. The results for all scaffolds that are unanchored to the chromosome map are also shown (Scaf.).
Fig. 3. Example of BAC coverage at the HOXB locus. This screenshot illustrates the BAC coverage on a 1 Mbp locus containing the HOXB cluster. Only confirmed BACs are displayed.
Fig. 4. Mapping of selected BAC clones using FISH on metaphase chromosomes. Ten BACs were selected from the short arm region on chromosome 2, and one from chromosome 6 were mapped on metaphase chromosomes as described in Section 2. Chromosomes were counterstained using DAPI.
Fig. 5. Sequence comparison between one XTHR BAC and the X. tropicalis reference genome. The BAC ALN0AAA10M06 containing a portion of the cnpy3 gene was aligned against the reference genome assembly version 7.1. The BAC sequence is represented on the top and the reference genome on the bottom. The plot displays the percentage of identity, gaps in the assembly are visible as area with less than 70% of similarity. The red band corresponds to sequence segments aligned with more than 70% similarity. (For interpretation of the references to color in this figure legend, the reader is referred to the web version of this article.)