Click here to close
Hello! We notice that you are using Internet Explorer, which is not supported by Xenbase and may cause the site to display incorrectly.
We suggest using a current version of Chrome,
FireFox, or Safari.
Fig. 1. Assessment for [ srd5 family] gene expression intensity in a Nieuwkoop and Faber stage 34 embryo split in three parts (1: head; 2: middle section; and 3: tail). Example embryos showing A) no staining; B) light staining in head, middle section, and tail region; C) medium staining in head and middle section, and light staining in tail region; D) strong staining in head, middle section, and tail region.
Fig. 2. Localization of 5α-reductase type 1, 2, 3 (srd5α1, srd5α2, srd5α3) and 5β-reductase (srd5β) mRNA l localized by in situ hybridization at Nieuwkoop and Faber stage 34 with and without inhibition to 100 μM finasteride (FIN), 100 μM ursodeoxycholic acid (UA), or 100 μM chenodeoxycholic acid (CA).
Fig. 3.
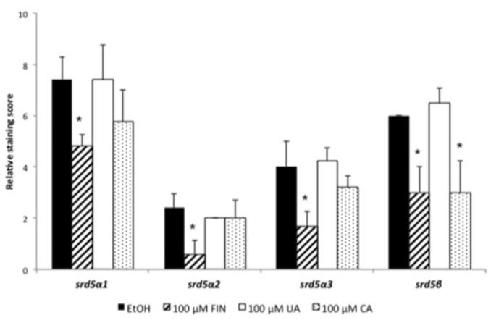
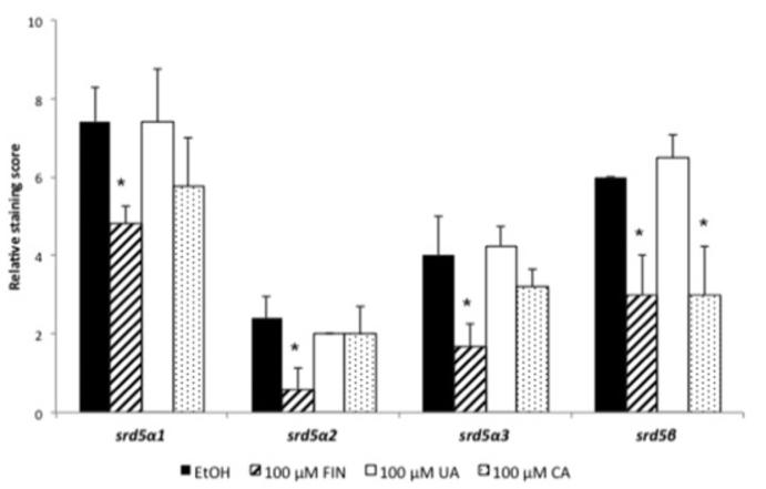
Relative gene expression observed by whole mount in situ hybridization of 5α-reductase type 1, 2, 3 (srd5α1, srd5α2, srd5α3) and 5β-reductase (srd5β) expressed as a relative staining score of each embryo (n = 5). Nieuwkoop and Faber stage 34 embryos were exposed to finasteride (FIN), ursodeoxycholic acid (UA), or chenodeoxycholic acid (CA). Significant differences are marked with * (p < 0.05) and analyzed by ANOVA.
Fig. 5. Gene expression of 5-alpha reductase type 1, 2, 3 (srd5α1, srd5α2, srd5α3) and 5-beta reductase (srd5β) during S. tropicalis early development at blastula and neurula in Nieuwkoop and Faber (NF) stages 7 through 21 localized by whole mount in situ hybridization. Legend: ac: archencephalon; nc: notochord; nt: neural tube.
Fig. 6. Gene expression of 5-alpha reductase type 1, 2, 3 (srd5α1, srd5α2, srd5α3) and 5-beta reductase (srd5β) during S. tropicalis early development in early and late tailbud Nieuwkoop and Faber (NF) stages 25 through 41 and early tadpole stage NF 46 localized by whole mount in situ hybridization. Legend: b: brain; c: cloaca; ev: ear vesicle; fb: forebrain; g: gills; ha: heart anlage; h: heart; hg: hind gut; i: intestine; k: kidney; l: liver; mb: midbrain; ov: otic vesicle; pk: pronephric kidney; pp.: pharyngeal pouch; s: stomach; sc: spinal cord; vp: visceral pouch; y: yolky endoderm.