XB-ART-52367
Proc Natl Acad Sci U S A
2016 Sep 06;11336:10103-8. doi: 10.1073/pnas.1600770113.
Show Gene links
Show Anatomy links
Hedgehog-dependent E3-ligase Midline1 regulates ubiquitin-mediated proteasomal degradation of Pax6 during visual system development.
???displayArticle.abstract???
Pax6 is a key transcription factor involved in eye, brain, and pancreas development. Although pax6 is expressed in the whole prospective retinal field, subsequently its expression becomes restricted to the optic cup by reciprocal transcriptional repression of pax6 and pax2 However, it remains unclear how Pax6 protein is removed from the eyestalk territory on time. Here, we report that Mid1, a member of the RBCC/TRIM E3 ligase family, which was first identified in patients with the X-chromosome-linked Opitz BBB/G (OS) syndrome, interacts with Pax6. We found that the forming eyestalk is a major domain of mid1 expression, controlled by the morphogen Sonic hedgehog (Shh). Here, Mid1 regulates the ubiquitination and proteasomal degradation of Pax6 protein. Accordantly, when Mid1 levels are knocked down, Pax6 expression is expanded and eyes are enlarged. Our findings indicate that remaining or misaddressed Pax6 protein is cleared from the eyestalk region to properly set the border between the eyestalk territory and the retina via Mid1. Thus, we identified a posttranslational mechanism, regulated by Sonic hedgehog, which is important to suppress Pax6 activity and thus breaks pax6 autoregulation at defined steps during the formation of the visual system.
???displayArticle.pubmedLink??? 27555585
???displayArticle.pmcLink??? PMC5018744
???displayArticle.link??? Proc Natl Acad Sci U S A
Species referenced: Xenopus laevis
Genes referenced: adm bmp4 ctrl mid1 myc nog pax2 pax6 pou4f2 prox1 ptch1 rho shh vax1 vsx1
???displayArticle.morpholinos??? mid1 MO2 mid1 MO3 pax2 MO1 pax6 MO2
???attribute.lit??? ???displayArticles.show???
|
|
Fig. 1. Mid1 is expressed in cells of the forming optic stalk and induced on shh RNA injection. (A) mid1 mRNA expression was assessed by Wmish on Xenopus laevis embryos at different NF stages. (aâd) Lateral view, (aâ²) cranial view, and (bâ²âdâ²) lateral view. Twenty-micrometer gelatin/albumin sections at the level of the tadpoleâs head (d1âd3), heart (c1), neural tube (c2), and pronephric anlage (c3). cg, cement gland; ec, endocardium; ed, eye disk; ev, eye vesicle; hd, hindbrain; he, heart; hf, heart field; kt, kidney tubules; mb, midbrain; mc, myocardium; op, olfactory placode; os, optic stalk; ov, otic vesicle; pnt, pronephric tubule; pos, presumptive os; sm, somites. (c4âc7) mid1 expression in eye stalk region in serial sections. (B) Injections were done into one cell of two-cell stage embryos. (aâdâ²) Synthetic shh-RNA (500 pg) was injected and Wmish against mid1, pax2, pax6, and ptc1 was performed as indicated. (eâfâ²) pax2-mo (2.5 pmol) was injected, and expression of mid1 and pax6 was monitored. Shown are transversal sections of the eye at the level of the lens. (gâgâ²) pax6-mo (2.5 pmol) was injected, and pax2 was monitored. Shown are lateral views of the head region and a transversal section of the head region at the level of the optic vesicles (gâ²). (hâhâ²) pax2 RNA (100 pg) was injected and expression of pax6 was analyzed. |
|
|
Fig. S1. (A) aâf, Lateral view of the head region; g, ventral view of the head region; bâ²âgâ², sections at the level of the forming eye stalk as indicated by the red dashed lines. Though pax2, vax1, and mid1 are clearly expressed within the forming eye stalk, their pattern of expression in this part is not identical and appears to follow a proximodistal axis with mid1 more distally, pax2 centrally, and vax1 proximally located. (B) a, dorsal view; aâ², anterior view; a1, transversal section as indicated in a. The misexpression of shh upon the microinjection of synthetic 500 pg shh RNA induced the expression of ptc1 strongly at the open neural tube stage (NF stage 15) within the sensorial layer of the ectoderm (a1â²) and this induction of ptc1 is maintained though less intense at tadpole stage (see also Fig. 1 B, dâdâ²). (C) a and b, anterior view. Misexpression of pax2 upon the microinjection of synthetic 100 pg pax2 RNA repressed the expression of pax6 already at the open neural tube stage (NF stage 15) and this suppression of pax6 is maintained at tadpole stage (see also Fig. 1 B, hâhâ²). |
|
|
Fig. 2. Mid1 physically interacts with Pax6. (A) HeLa cells were transfected with pax6-flag alone or combined with myc-mid1 and analyzed by immunohistochemistry. Nuclei were stained with DAPI. Pictures are shown in false colors: green for Pax6, red for Mid1, blue for nuclei (Bottom). (B) HEK293 cells were transfected as in A. Cytosolic proteins were extracted with hypotonic buffer. Soluble nuclear proteins were extracted from the remaining fraction with high salt buffer. Blot shows Mid1 and Pax6 in the cytosolic (Cyt.) and nuclear (Nuc.) fractions, as well as the reprobes with antiâβ-tubulin or anti-topoisomerase 1 antibody to control purity. (C) Interaction of Mid1 with Pax6 was assessed by coimmunoprecipitation performed in HEK293. (Left) Eluted myc-tagged proteins after immunoprecipitation (upper blot) and precipitated Pax6 (lower blot, reprobed with anti-Pax6 antibody). (Right) Blots for the input proteins. (D) Interaction of Mid1 and Pax6 was verified by GST using purified GST-Pax6 or purified GST as a control and lysates of HEK293 cells transfected with myc-mid1. (Left) Eluted myc-tagged proteins after GST pull down (upper blot) and precipitated Pax6 (lower blot, reprobed with anti-Pax6 antibody). (Right) Input protein of the lysate. (E) Pax6-flag was expressed alone or together with myc-Mid1 in HEK293 cells in the presence or absence of the proteasome inhibitor lactacystin (Lac), the E1 activating enzyme inhibitor Pyr41, or the caspase inhibitor Z-VAD-FMK (Z-VAD) as indicated. For loading control, blots were reprobed with an anti-GAPDH antibody. |
|
|
Fig. S2. Mid1 reduces endogenous Pax6 protein. (A) Mid1 physically interacted with Pax6. HEK293 cells were transfected with GFP-pax6 + myc-mid1 or myc-mid1 alone. The left panels show eluted Pax6 protein after immunoprecipitation with an anti-Myc antibody (upper blot) and precipitated myc-Mid1 (lower blot, reprobe with anti-Myc antibody). The right panels show blots with the respective lysates for the input proteins. (B) Xenopus animal cap explants expressed Pax6 upon neuralization by microinjection of 400 μg synthetic RNA of the BMP4 inhibitor noggin. Approximately 30 animal cap explants were separated in each lane. Coinjection of Xenopus mid1 RNA (1 ng) led to a reduction of Pax6 protein abundance. The reduction of Pax6 protein levels was considerably stronger, when Mid1 protein was forced to enter the nucleus by the fusion of a nuclear localization signal (mid1nls). The mouse lens epithelial cell line αTN4-1 expresses pax6 endogenously. Transfection of mid1 and of mid1nls led to a reduction of endogenous Pax6 protein. Corresponding Western blots were quantified with the help of ImageJ and normalized against GAPDH. (C) Pax6 levels increased upon proteasome inhibition. αTN4-1 cells were grown in DMEM medium (10% FCS) and were treated with DMSO (â) or with MG132 (5 μM) (+). Pax6 levels increased upon MG132 treatment (+), as well as polyubiquitinated proteins. Anti-GAPDH was used as a loading control. Densitometry was performed using ImageJ (right graph). |
|
|
Fig. 3. Mid1 induces ubiquitination and reduces the abundance of Pax6 protein. (A) Blots show levels of Pax6, Mid1, and β-tubulin in HEK293 cells after cotransfection on pax6-flag expression plasmid and either EV or myc-mid1 at different time points (min) on cycloheximide block of protein synthesis. Diagram shows the quantified values of Pax6 protein relative to β-tubulin levels in Western blot. Amounts of Pax6 protein before the cycloheximide treatment are designated as 1 (100%). (B) In vivo ubiquitination of Pax6 was analyzed by transfection of HEK293 cells with plasmids coding for pax6-flag, myc-mid1, and his-ubiquitin as indicated and anti-his Western blot of proteins eluted after an anti-flag-IP (Left). Input of the proteins was verified by Western blot of the corresponding lysates with anti-Myc and anti-Pax6 antibodies, respectively (Right). |
|
|
Fig. 4. Mid1 loss of function interferes with eye development. (A and B) 2.5 pmol of mid1-mo1 was injected into one cell at the two-cell stage and analyzed by Wmish at NF stage 38. (Upper) Lateral views of head region of noninjected (a; NIS) or injected side (aâ²; IS), dorsal view (aâ²). (B) Analysis of retinal stratification on mid1 suppression in transversal sections at the level of the lens using probes against pax6, brn3.0, vsx1, prox1, and rhodopsin. For better comparison, all images are oriented with the lens to the left. (C) Lateral view (a and b) of NF stage 38 embryos injected with mid1-mo2 into one cell at the two-cell stage and 10Ã enlarged view of the eye region of aâ² and bâ² (Lower). All mid1-mo2âinjected embryos showed an increase in eye size (n = 212 mid1-mo2 and n = 126 ctrl-moâinjected embryos). The graph shows the mean values for 25 embryos (c; **P = 0.001). Analysis of cell proliferation of mid1-mo2âinjected embryos. The number of phospho-histone H3 (pH3) positive cells were counted and compared. (d; ctrl-mo: six embryos, mean 14.4 pH3+ cells per section; mid1-mo2: eight embryos, mean 27.2 pH3+ cells per section; ***P = 0.0006). (D) Pax6 immunoreactivity in cryosections on mid1-mo1 injection. The number of Pax6-positive cells per sections within the retinal region was counted for both sides of two embryos, and the area of the total retina was estimated. The numbers of Pax6-positive cells from sections of three mid1-mo1âinjected embryos were counted (c; *P = 0.03); the numbers of Pax6-positive cells relative to the area of the retina is shown in the right diagram (d). The value for the noninjected side was set to 1. |
|
|
Fig. S3. (A) a1âa4 show a series of transversal sections at the level of the eye of the mid1 injected tadpole (NF stage 38) shown in Fig. 1 A, a. (B) Rescue of the mid1 knockdown eye phenotype. Lateral view of NF stage 38 embryos injected with mid1-mo2 (1.25 pmol) along with synthetic human mid1 RNA (1â2 ng) into one cell of a 2-cell stage embryo. The lower panel shows a 10Ã enlarged view of the respective eye region. Considering the eye to be an oblate spheroid, the mean radius was estimated by measuring the drawn distances and total volume was calculated. The graph shows the mean values for 20 embryos. The specificity of the pax2 and pax6 morpholino had been tested already by rescue experiments in refs. 53 and 54, respectively. |
|
|
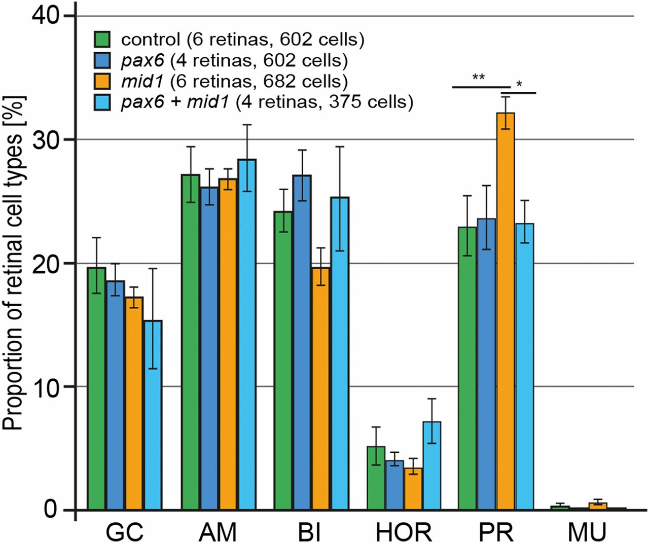
Fig. 5. Targeted overexpression of mid1 affects fate of retinal precursor cells, which can be reversed by pax6 coexpression. Cell fate analysis at stage 41 following overexpression of the indicated constructs by in vivo lipofection at the neurula stage. GFP was used as a tracer to visualize transfected cells. The error bars represent SEM. AM, amacrine cells; BI, bipolar cells; GC, ganglion cells; HOR, horizontal cells; MU, Müller cells; PR, photoreceptor cells. |
|
|
Fig. S4. Human and Xenopus mid1/Mid1 affects fate of retinal precursor cells similarly. (A) Schematic of the retina showing the different cellular layers and retinal cell types. The picture on the right illustrates a clone of GFP-positive cells following lipofection. Cell types are identified according to their position in the layers and their morphology. (B) Human or Xenopus mid1 expression plasmids together with GFP or GFP plasmid alone were lipofected into the area of the eye prospective retinal field at NF stage 17. At NF stage 41, cryosections were done, and the fluorescent cells in the central retina were counted. The different cell types were identified according to their morphology. The diagram shows the percentages of the different cell types for GFP-lipofected embryos (green, n = 40), human Mid1 (light blue, n = 24), and Xenopus mid1 (dark blue, n = 17); error bars represent SEM. AM, amacrine cells; BI, bipolar cells; GC, ganglion cells; HOR, horizontal cells; MU, Müller cells; PR, photoreceptor cells. |
|
|
prox1 (prospero homeobox 1 ) gene expression in the sectioned eye of X. laevis embryo, assayed via in-situ hybridization, NF stage 42. |
References [+] :
Aranda-Orgillés,
The Opitz syndrome gene product MID1 assembles a microtubule-associated ribonucleoprotein complex.
2008, Pubmed
Aranda-Orgillés, The Opitz syndrome gene product MID1 assembles a microtubule-associated ribonucleoprotein complex. 2008, Pubmed
Ashery-Padan, Pax6 lights-up the way for eye development. 2001, Pubmed
Ashery-Padan, Pax6 activity in the lens primordium is required for lens formation and for correct placement of a single retina in the eye. 2000, Pubmed
Berti, Mig12, a novel Opitz syndrome gene product partner, is expressed in the embryonic ventral midline and co-operates with Mid1 to bundle and stabilize microtubules. 2004, Pubmed
Chow, Pax6 induces ectopic eyes in a vertebrate. 1999, Pubmed , Xenbase
Cvekl, Lens development and crystallin gene expression: many roles for Pax-6. 1996, Pubmed
Davis, Pax6 dosage requirements in iris and ciliary body differentiation. 2009, Pubmed
Davis-Silberman, Genetic dissection of Pax6 dosage requirements in the developing mouse eye. 2005, Pubmed
de Chevigny, miR-7a regulation of Pax6 controls spatial origin of forebrain dopaminergic neurons. 2012, Pubmed
Du, MID1 catalyzes the ubiquitination of protein phosphatase 2A and mutations within its Bbox1 domain disrupt polyubiquitination of alpha4 but not of PP2Ac. 2014, Pubmed
Farhy, Pax6 is required for normal cell-cycle exit and the differentiation kinetics of retinal progenitor cells. 2013, Pubmed
Glaser, Genomic structure, evolutionary conservation and aniridia mutations in the human PAX6 gene. 1992, Pubmed
Glaser, PAX6 gene dosage effect in a family with congenital cataracts, aniridia, anophthalmia and central nervous system defects. 1994, Pubmed
Gosmain, Glucagon gene expression in the endocrine pancreas: the role of the transcription factor Pax6 in α-cell differentiation, glucagon biosynthesis and secretion. 2011, Pubmed
Granata, The Opitz syndrome gene MID1 is essential for establishing asymmetric gene expression in Hensen's node. 2003, Pubmed
Grindley, Disruption of PAX6 function in mice homozygous for the Pax6Sey-1Neu mutation produces abnormalities in the early development and regionalization of the diencephalon. 1997, Pubmed
Grindley, The role of Pax-6 in eye and nasal development. 1995, Pubmed
Halder, Induction of ectopic eyes by targeted expression of the eyeless gene in Drosophila. 1995, Pubmed
Hallonet, Vax1, a novel homeobox-containing gene, directs development of the basal forebrain and visual system. 1999, Pubmed , Xenbase
Hirsch, Xenopus Pax-6 and retinal development. 1997, Pubmed , Xenbase
Hsieh, Dynamic Pax6 expression during the neurogenic cell cycle influences proliferation and cell fate choices of retinal progenitors. 2009, Pubmed
Kim, Phosphorylation and transactivation of Pax6 by homeodomain-interacting protein kinase 2. 2006, Pubmed
Kleinjan, Conserved elements in Pax6 intron 7 involved in (auto)regulation and alternative transcription. 2004, Pubmed
Klimova, Stage-dependent requirement of neuroretinal Pax6 for lens and retina development. 2014, Pubmed
Koenig, En2, Pax2/5 and Tcf-4 transcription factors cooperate in patterning the Xenopus brain. 2010, Pubmed , Xenbase
Macdonald, Midline signalling is required for Pax gene regulation and patterning of the eyes. 1995, Pubmed
Manuel, Overexpression of Pax6 results in microphthalmia, retinal dysplasia and defective retinal ganglion cell axon guidance. 2008, Pubmed
Marquardt, Pax6 is required for the multipotent state of retinal progenitor cells. 2001, Pubmed
Metikala, Suppression of vascular network formation by chronic hypoxia and prolyl-hydroxylase 2 (phd2) deficiency during vertebrate development. 2016, Pubmed , Xenbase
Mikkola, Phosphorylation of the transactivation domain of Pax6 by extracellular signal-regulated kinase and p38 mitogen-activated protein kinase. 1999, Pubmed
Ohnuma, Lipofection strategy for the study of Xenopus retinal development. 2002, Pubmed , Xenbase
Opitz, G syndrome (hypertelorism with esophageal abnormality and hypospadias, or hypospadias-dysphagia, or "Opitz-Frias" or "Opitz-G" syndrome)--perspective in 1987 and bibliography. 1987, Pubmed
Oron-Karni, Dual requirement for Pax6 in retinal progenitor cells. 2008, Pubmed
Perron, The genetic sequence of retinal development in the ciliary margin of the Xenopus eye. 1998, Pubmed , Xenbase
Pinson, Embryonic expression of the human MID1 gene and its mutations in Opitz syndrome. 2004, Pubmed
Plaza, Quail Pax-6 (Pax-QNR) mRNAs are expressed from two promoters used differentially during retina development and neuronal differentiation. 1995, Pubmed
Poot, Identifying human disease genes through cross-species gene mapping of evolutionary conserved processes. 2011, Pubmed
Quaderi, Opitz G/BBB syndrome, a defect of midline development, is due to mutations in a new RING finger gene on Xp22. 1997, Pubmed
Reinhardt, Sox2, Tlx, Gli3, and Her9 converge on Rx2 to define retinal stem cells in vivo. 2015, Pubmed
Schedl, Influence of PAX6 gene dosage on development: overexpression causes severe eye abnormalities. 1996, Pubmed
Schwarz, Spatial specification of mammalian eye territories by reciprocal transcriptional repression of Pax2 and Pax6. 2000, Pubmed
Schweiger, The Opitz syndrome gene product, MID1, associates with microtubules. 1999, Pubmed
Schweiger, The E3 ubiquitin ligase MID1 catalyzes ubiquitination and cleavage of Fu. 2014, Pubmed
Shaham, Pax6: a multi-level regulator of ocular development. 2012, Pubmed
Suzuki, MID1 and MID2 are required for Xenopus neural tube closure through the regulation of microtubule organization. 2010, Pubmed , Xenbase
Thélie, Prdm12 specifies V1 interneurons through cross-repressive interactions with Dbx1 and Nkx6 genes in Xenopus. 2015, Pubmed , Xenbase
Toy, Effects of homeobox genes on the differentiation of photoreceptor and nonphotoreceptor neurons. 2002, Pubmed
Trockenbacher, MID1, mutated in Opitz syndrome, encodes an ubiquitin ligase that targets phosphatase 2A for degradation. 2001, Pubmed
Tuoc, Trim11 modulates the function of neurogenic transcription factor Pax6 through ubiquitin-proteosome system. 2008, Pubmed
Walther, Pax-6, a murine paired box gene, is expressed in the developing CNS. 1991, Pubmed
Xu, The proliferation and expansion of retinal stem cells require functional Pax6. 2007, Pubmed
Yan, Sumoylation activates the transcriptional activity of Pax-6, an important transcription factor for eye and brain development. 2010, Pubmed
Zaghloul, Changes in Rx1 and Pax6 activity at eye field stages differentially alter the production of amacrine neurotransmitter subtypes in Xenopus. 2007, Pubmed , Xenbase
Zaki, Penetrance of eye defects in mice heterozygous for mutation of Gli3 is enhanced by heterozygous mutation of Pax6. 2006, Pubmed
