Click here to close
Hello! We notice that you are using Internet Explorer, which is not supported by Xenbase and may cause the site to display incorrectly.
We suggest using a current version of Chrome,
FireFox, or Safari.
ROMK expression remains unaltered in a mouse model of familial hyperkalemic hypertension caused by the CUL3Δ403-459 mutation.
Murthy M, Kurz T, O'Shaughnessy KM.
???displayArticle.abstract???
Familial hyperkalemic hypertension (FHHt) is a rare inherited form of salt-dependent hypertension caused by mutations in proteins that regulate the renal Na(+)-Cl(-) cotransporter NCC Mutations in four genes have been reported to cause FHHt including CUL3 (Cullin3) that encodes a component of a RING E3 ligase. Cullin-3 binds to WNK kinase-bound KLHL3 (the substrate recognition subunit of the ubiquitin ligase complex) to promote ubiquitination and proteasomal degradation of WNK kinases. Deletion of exon 9 from CUL3 (affecting residues 403-459, CUL3(Δ403-459)) causes a severe form of FHHt (PHA2E) that is recapitulated closely in a knock-in mouse model. The loss of functionality of CUL3(Δ403-459) and secondary accumulation of WNK kinases causes substantial NCC activation. This accounts for the hypertension in FHHt but the origin of the hyperkalemia is less clear. Hence, we explored the impact of CUL3(Δ403-459) on expression of the distal secretory K channel, ROMK, both in vitro and in vivo. We found that expressing wild-type but not the CUL3(Δ403-459) mutant form of CUL3 prevented the suppression of ROMK currents by WNK4 expressed in Xenopus oocytes. The mutant CUL3 protein was also unable to affect ROMK-EGFP protein expression at the surface of mouse M-1 cortical collecting duct (CCD) cells. The effects of CUL3 on ROMK expression in both oocytes and M-1 CCD cells was reduced by addition of the neddylation inhibitor, MLN4924. This confirms that neddylation is important for CUL3 activity. Nevertheless, in our knock-in mouse model expressing CUL3(Δ403-459) we could not show any alteration in ROMK expression by either western blotting whole kidney lysates or confocal microscopy of kidney sections. This suggests that the hyperkalemia in our knock-in mouse and human PHA2E subjects with the CUL3(Δ403-459) mutation is not caused by reduced ROMK expression in the distalnephron.
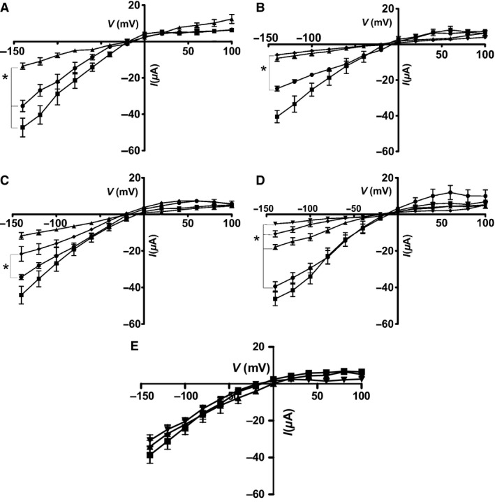
Figure 1. (A) The current–voltage (I–V) plot for voltage‐clamped Xenopus oocytes expressing Ba‐sensitive currents. ROMK expressed either alone (■), or ROMK with: WNK4 (▲) or WNK4 + KLHL3 WT (●). Mean ± sem (n = 6), *P < 1E−6 vs ROMK + WNK4. (B) The current–voltage (I–V) plot for voltage‐clamped Xenopus oocytes expressing Ba‐sensitive currents. ROMK expressed either alone (■), or ROMK with: WNK4 (▲) WNK4 + CUL3 WT (●), WNK4 + CUL3Δ403‐459 (♦). Mean ± sem (n = 6), *P < 1E−6 versus CUL3. (C) The current–voltage (I–V) plot for voltage‐clamped Xenopus oocytes (expressing Ba‐sensitive currents either ROMK alone (■), or ROMK with: WNK4 (▲), WNK4 + CUL3 WT + KLHL3 WT(●), WNK4 + CUL3 WT + KLHL3 WT + 1 μmol/L MLN 4924 (♦). Mean ± sem (n = 6), *P < 1E−6 versus absence of MLN 4924. (D) The current–voltage (I–V) plot for voltage‐clamped Xenopus oocytes expressing Ba‐sensitive currents. ROMK expressed either alone (■), or ROMK with: WNK4 (♦), WNK4 + CUL3 WT (●), WNK4 + CUL3Δ403‐459 (▲) or WNK4 + CUL3 WT + CUL3Δ403‐459 (▼). Mean ± sem (n = 6), *P < 1E−6 versus CUL3 alone. (E) The current–voltage (I–V) plot for voltage‐clamped Xenopus oocytes expressing Ba‐sensitive currents. ROMK expressed either alone (■), or with CUL3 WT + KLHL3 WT (▲),or CUL3Δ403‐459 + KLHL3 WT (▼). Mean ± sem (n = 5), No significant differences observed between the three different treatments.
Figure 2. (A) Effect of CUL3 on the WNK4 protein levels in the mouse M‐1 CCD cell line. Total protein lysates were blotted from M‐1 CCD cells transfected with ROMK alone (far left) or ROMK with the constructs indicated. Lane 5 (far right) is a control where WNK4 has not been transfected into the cells. Anti‐WNK4 antibody (residues 1221–1243 of human WNK4, S064B) detected a 150 KDa WNK4 band. β‐actin was the loading control. This is representative of Western blots replicated three times with cell lysates from three different passage numbers. (B) Quantification of Western blots showing WNK4 levels normalized to its β‐actin loading control. Error bars represent mean ± sem of Western blots (n = 3). *P < 0.0001 by one‐way ANOVA.
Figure 3. (A) Effect of CUL3 on the biotinylated ROMK‐EGFP levels in the M‐1 CCD cell line. Total protein lysates were blotted from M‐1 CCD cells transfected with ROMK‐EGFP alone or ROMK‐EGFP with constructs indicated. Anti‐KCNJ1 antibody detected a band at around 75 KDa for ROMK‐EGFP. This is representative Western blots replicated 3 times with cell lysates from three different passage numbers. (B) Quantification of Western blots showing ROMK levels in biotinylated cell lysates. Error bars represent mean ± sem of Western blots (n = 3). *P < 0.05.
Figure 4. (A) Effect of CUL3 on the biotinylated ROMK‐EGFP levels in the presence of WNK4 in a mouse cortical collecting duct cell line (M1 CCD). (A) Total protein lysates were blotted from M‐1 cells transfected with ROMK‐EGFP alone or ROMK‐EGFP with the constructs indicated. The last combination was also treated with 3.5 μmol/L MLN4924. Anti‐KCNJ1 antibody detected a band at around 75 KDa for ROMK‐EGFP. This is representative of Western blots replicated with three different passage numbers. (B) Quantification of Western blot showing ROMK levels in biotinylated cell lysates. Error bars represent mean ± sem of three Western blots. *P < 0.05 by one‐way ANOVA.
Figure 5. Immunostaining of ROMK (green) and AQP2 (red) in the cortex and apical immunostaining of ROMK (green) and total NKCC2 (red) in the medulla of CUL3Δ403‐459/+ kidney versus littermate controls CUL3+/+. These are representative pseudocolored average intensity z‐projections of immunofluorescent‐stained kidney sections (4 per genotype) and four independent immunostaining experiments, showing the distribution of total protein. Colocalization is in orange. Scale bar = 30 μm.
Figure 6.
ROMK levels in the CUL3Δ403‐459/+ versus CUL3+/+ mouse kidney. Total protein from whole mouse kidney lysates immunoblotted with anti‐KCNJ1 antibody detected a band at ~47 KDa in both the mouse and human kidney lysates (as positive control). β actin was the loading control. The individual densitometry of each lane is shown (the bar is the average).
Araki,
Generation and analysis of knock-in mice carrying pseudohypoaldosteronism type II-causing mutations in the cullin 3 gene.
2015, Pubmed
Araki,
Generation and analysis of knock-in mice carrying pseudohypoaldosteronism type II-causing mutations in the cullin 3 gene.
2015,
Pubmed Boyden,
Mutations in kelch-like 3 and cullin 3 cause hypertension and electrolyte abnormalities.
2012,
Pubmed Cope,
WNK1 affects surface expression of the ROMK potassium channel independent of WNK4.
2006,
Pubmed
,
Xenbase Delpire,
SPAK and OSR1: STE20 kinases involved in the regulation of ion homoeostasis and volume control in mammalian cells.
2008,
Pubmed Glover,
Detection of mutations in KLHL3 and CUL3 in families with FHHt (familial hyperkalaemic hypertension or Gordon's syndrome).
2014,
Pubmed Golbang,
A new kindred with pseudohypoaldosteronism type II and a novel mutation (564D>H) in the acidic motif of the WNK4 gene.
2005,
Pubmed
,
Xenbase Grimm,
SPAK isoforms and OSR1 regulate sodium-chloride co-transporters in a nephron-specific manner.
2012,
Pubmed Hadchouel,
Decreased ENaC expression compensates the increased NCC activity following inactivation of the kidney-specific isoform of WNK1 and prevents hypertension.
2010,
Pubmed Hardege,
Novel Insertion Mutation in KCNJ5 Channel Produces Constitutive Aldosterone Release From H295R Cells.
2015,
Pubmed
,
Xenbase Ibeawuchi,
Hypertension-causing Mutations in Cullin3 Protein Impair RhoA Protein Ubiquitination and Augment the Association with Substrate Adaptors.
2015,
Pubmed Kahle,
WNK4 regulates the balance between renal NaCl reabsorption and K+ secretion.
2003,
Pubmed
,
Xenbase Leng,
WNK3, a kinase related to genes mutated in hereditary hypertension with hyperkalaemia, regulates the K+ channel ROMK1 (Kir1.1).
2006,
Pubmed
,
Xenbase Lin,
Src-family protein tyrosine kinase phosphorylates WNK4 and modulates its inhibitory effect on KCNJ1 (ROMK).
2015,
Pubmed Louis-Dit-Picard,
KLHL3 mutations cause familial hyperkalemic hypertension by impairing ion transport in the distal nephron.
2012,
Pubmed McCormick,
Hyperkalemic hypertension-associated cullin 3 promotes WNK signaling by degrading KLHL3.
2014,
Pubmed
,
Xenbase Murthy,
ROMK expression remains unaltered in a mouse model of familial hyperkalemic hypertension caused by the CUL3Δ403-459 mutation.
2016,
Pubmed
,
Xenbase Murthy,
Role for germline mutations and a rare coding single nucleotide polymorphism within the KCNJ5 potassium channel in a large cohort of sporadic cases of primary aldosteronism.
2014,
Pubmed
,
Xenbase Osawa,
CUL3 gene analysis enables early intervention for pediatric pseudohypoaldosteronism type II in infancy.
2013,
Pubmed Richardson,
Activation of the thiazide-sensitive Na+-Cl- cotransporter by the WNK-regulated kinases SPAK and OSR1.
2008,
Pubmed Richardson,
Regulation of the NKCC2 ion cotransporter by SPAK-OSR1-dependent and -independent pathways.
2011,
Pubmed Schumacher,
Characterisation of the Cullin-3 mutation that causes a severe form of familial hypertension and hyperkalaemia.
2015,
Pubmed Tsuji,
A young child with pseudohypoaldosteronism type II by a mutation of Cullin 3.
2013,
Pubmed Vidal-Petiot,
WNK1-related Familial Hyperkalemic Hypertension results from an increased expression of L-WNK1 specifically in the distal nephron.
2013,
Pubmed Wang,
Regulation of large-conductance Ca2+-activated K+ channels by WNK4 kinase.
2013,
Pubmed Welling,
Roles and Regulation of Renal K Channels.
2016,
Pubmed