XB-ART-51474
PLoS One
2015 Jan 01;1010:e0139504. doi: 10.1371/journal.pone.0139504.
Show Gene links
Show Anatomy links
Antisense Oligonucleotide-Mediated Transcript Knockdown in Zebrafish.
Pauli A, Montague TG, Lennox KA, Behlke MA, Schier AF.
???displayArticle.abstract???
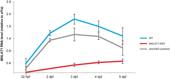
Antisense oligonucleotides (ASOs) are synthetic, single-strand RNA-DNA hybrids that induce catalytic degradation of complementary cellular RNAs via RNase H. ASOs are widely used as gene knockdown reagents in tissue culture and in Xenopus and mouse model systems. To test their effectiveness in zebrafish, we targeted 20 developmental genes and compared the morphological changes with mutant and morpholino (MO)-induced phenotypes. ASO-mediated transcript knockdown reproduced the published loss-of-function phenotypes for oep, chordin, dnd, ctnnb2, bmp7a, alk8, smad2 and smad5 in a dosage-sensitive manner. ASOs knocked down both maternal and zygotic transcripts, as well as the long noncoding RNA (lncRNA) MALAT1. ASOs were only effective within a narrow concentration range and were toxic at higher concentrations. Despite this drawback, quantitation of knockdown efficiency and the ability to degrade lncRNAs make ASOs a useful knockdown reagent in zebrafish.
???displayArticle.pubmedLink??? 26436892
???displayArticle.pmcLink??? PMC4593562
???displayArticle.link??? PLoS One
???displayArticle.grants??? [+]
R01 GM056211 NIGMS NIH HHS , R01 HD076708 NICHD NIH HHS , T32 GM007598 NIGMS NIH HHS , K99 HD076935 NICHD NIH HHS
Species referenced: Xenopus
Genes referenced: acvr1 bmp1 chrd dnd1 eef1a2 pnhd smad2 tp53 wnt11 wnt5b
???attribute.lit??? ???displayArticles.show???
References [+] :
Bauer,
The type I serine/threonine kinase receptor Alk8/Lost-a-fin is required for Bmp2b/7 signal transduction during dorsoventral patterning of the zebrafish embryo.
2001, Pubmed
Bauer, The type I serine/threonine kinase receptor Alk8/Lost-a-fin is required for Bmp2b/7 signal transduction during dorsoventral patterning of the zebrafish embryo. 2001, Pubmed
Bellipanni, Essential and opposing roles of zebrafish beta-catenins in the formation of dorsal axial structures and neurectoderm. 2006, Pubmed
Bennett, RNA targeting therapeutics: molecular mechanisms of antisense oligonucleotides as a therapeutic platform. 2010, Pubmed
Bernard, A long nuclear-retained non-coding RNA regulates synaptogenesis by modulating gene expression. 2010, Pubmed
Chng, ELABELA: a hormone essential for heart development signals via the apelin receptor. 2013, Pubmed
Choi, Target protectors reveal dampening and balancing of Nodal agonist and antagonist by miR-430. 2007, Pubmed
Ciruna, Production of maternal-zygotic mutant zebrafish by germ-line replacement. 2002, Pubmed
Cong, Multiplex genome engineering using CRISPR/Cas systems. 2013, Pubmed
Connors, The role of tolloid/mini fin in dorsoventral pattern formation of the zebrafish embryo. 1999, Pubmed
Dick, Essential role of Bmp7 (snailhouse) and its prodomain in dorsoventral patterning of the zebrafish embryo. 2000, Pubmed
Dimitrova, LincRNA-p21 activates p21 in cis to promote Polycomb target gene expression and to enforce the G1/S checkpoint. 2014, Pubmed
Draper, Inhibition of zebrafish fgf8 pre-mRNA splicing with morpholino oligos: a quantifiable method for gene knockdown. 2001, Pubmed , Xenbase
Dubrulle, Response to Nodal morphogen gradient is determined by the kinetics of target gene induction. 2015, Pubmed
Eisen, Controlling morpholino experiments: don't stop making antisense. 2008, Pubmed , Xenbase
Eißmann, Loss of the abundant nuclear non-coding RNA MALAT1 is compatible with life and development. 2012, Pubmed
Fish, miR-126 regulates angiogenic signaling and vascular integrity. 2008, Pubmed
Fisher, Patterning the zebrafish axial skeleton requires early chordin function. 1999, Pubmed
Gagnon, Efficient mutagenesis by Cas9 protein-mediated oligonucleotide insertion and large-scale assessment of single-guide RNAs. 2014, Pubmed
Gritsman, The EGF-CFC protein one-eyed pinhead is essential for nodal signaling. 1999, Pubmed , Xenbase
Halpern, Induction of muscle pioneers and floor plate is distinguished by the zebrafish no tail mutation. 1993, Pubmed
Hammerschmidt, dino and mercedes, two genes regulating dorsal development in the zebrafish embryo. 1996, Pubmed
Heasman, A functional test for maternally inherited cadherin in Xenopus shows its importance in cell adhesion at the blastula stage. 1994, Pubmed , Xenbase
Heisenberg, Silberblick/Wnt11 mediates convergent extension movements during zebrafish gastrulation. 2000, Pubmed
Hild, The smad5 mutation somitabun blocks Bmp2b signaling during early dorsoventral patterning of the zebrafish embryo. 1999, Pubmed
Hofacker, Vienna RNA secondary structure server. 2003, Pubmed
Hwang, Efficient genome editing in zebrafish using a CRISPR-Cas system. 2013, Pubmed
Ideue, Efficient oligonucleotide-mediated degradation of nuclear noncoding RNAs in mammalian cultured cells. 2009, Pubmed , Xenbase
Kelly, The use of RNAi technologies for gene knockdown in zebrafish. 2011, Pubmed
Kishimoto, The molecular nature of zebrafish swirl: BMP2 function is essential during early dorsoventral patterning. 1997, Pubmed
Kok, Reverse genetic screening reveals poor correlation between morpholino-induced and mutant phenotypes in zebrafish. 2015, Pubmed
Kordasiewicz, Sustained therapeutic reversal of Huntington's disease by transient repression of huntingtin synthesis. 2012, Pubmed
Kurreck, Antisense technologies. Improvement through novel chemical modifications. 2003, Pubmed
Lamason, SLC24A5, a putative cation exchanger, affects pigmentation in zebrafish and humans. 2005, Pubmed
Langheinrich, Zebrafish as a model organism for the identification and characterization of drugs and genes affecting p53 signaling. 2002, Pubmed
Lele, Morpholino phenocopies of the swirl, snailhouse, somitabun, minifin, silberblick, and pipetail mutations. 2001, Pubmed
Levin, A review of the issues in the pharmacokinetics and toxicology of phosphorothioate antisense oligonucleotides. 1999, Pubmed
Lister, nacre encodes a zebrafish microphthalmia-related protein that regulates neural-crest-derived pigment cell fate. 1999, Pubmed
Lorenz, Nucleocytoplasmic shuttling: a novel in vivo property of antisense phosphorothioate oligodeoxynucleotides. 2000, Pubmed
Mali, RNA-guided human genome engineering via Cas9. 2013, Pubmed
Martínez-Barberá, Cloning and expression of three members of the zebrafish Bmp family: Bmp2a, Bmp2b and Bmp4. 1997, Pubmed , Xenbase
Meng, Towards a therapy for Angelman syndrome by targeting a long non-coding RNA. 2015, Pubmed
Mintzer, Lost-a-fin encodes a type I BMP receptor, Alk8, acting maternally and zygotically in dorsoventral pattern formation. 2001, Pubmed
Mir, How the mother can help: studying maternal Wnt signaling by anti-sense-mediated depletion of maternal mRNAs and the host transfer technique. 2008, Pubmed , Xenbase
Nakagawa, Malat1 is not an essential component of nuclear speckles in mice. 2012, Pubmed
Nasevicius, Effective targeted gene 'knockdown' in zebrafish. 2000, Pubmed
Nguyen, Ventral and lateral regions of the zebrafish gastrula, including the neural crest progenitors, are established by a bmp2b/swirl pathway of genes. 1998, Pubmed , Xenbase
Pan, Identifying accessible sites in RNA: the first step in designing antisense reagents. 2006, Pubmed
Pauli, Toddler: an embryonic signal that promotes cell movement via Apelin receptors. 2014, Pubmed
Peek, Design of active small interfering RNAs. 2007, Pubmed
Prakash, An overview of sugar-modified oligonucleotides for antisense therapeutics. 2011, Pubmed
Prasanth, Regulating gene expression through RNA nuclear retention. 2005, Pubmed
Prober, Hypocretin/orexin overexpression induces an insomnia-like phenotype in zebrafish. 2006, Pubmed
Rauch, Wnt5 is required for tail formation in the zebrafish embryo. 1997, Pubmed
Rossi, Genetic compensation induced by deleterious mutations but not gene knockdowns. 2015, Pubmed
Schier, The one-eyed pinhead gene functions in mesoderm and endoderm formation in zebrafish and interacts with no tail. 1997, Pubmed
Schmid, Equivalent genetic roles for bmp7/snailhouse and bmp2b/swirl in dorsoventral pattern formation. 2000, Pubmed
Schulte-Merker, The zebrafish organizer requires chordino. 1997, Pubmed , Xenbase
Schulte-Merker, Out with the old, in with the new: reassessing morpholino knockdowns in light of genome editing technology. 2014, Pubmed
Summerton, Morpholino antisense oligomers: the case for an RNase H-independent structural type. 1999, Pubmed
Torpey, Function of maternal cytokeratin in Xenopus development. 1992, Pubmed , Xenbase
van Impel, Divergence of zebrafish and mouse lymphatic cell fate specification pathways. 2014, Pubmed
Vickers, Efficient reduction of target RNAs by small interfering RNA and RNase H-dependent antisense agents. A comparative analysis. 2003, Pubmed
Wang, The endothelial-specific microRNA miR-126 governs vascular integrity and angiogenesis. 2008, Pubmed
Watanabe, Spot pattern of leopard Danio is caused by mutation in the zebrafish connexin41.8 gene. 2006, Pubmed
Weidinger, dead end, a novel vertebrate germ plasm component, is required for zebrafish primordial germ cell migration and survival. 2003, Pubmed , Xenbase
Wheeler, Targeting nuclear RNA for in vivo correction of myotonic dystrophy. 2012, Pubmed
Zhang, Positional cloning identifies zebrafish one-eyed pinhead as a permissive EGF-related ligand required during gastrulation. 1998, Pubmed
Zhang, The lncRNA Malat1 is dispensable for mouse development but its transcription plays a cis-regulatory role in the adult. 2012, Pubmed
Zhang, The role of maternal VegT in establishing the primary germ layers in Xenopus embryos. 1998, Pubmed , Xenbase
