Click here to close
Hello! We notice that you are using Internet Explorer, which is not supported by Xenbase and may cause the site to display incorrectly.
We suggest using a current version of Chrome,
FireFox, or Safari.
???displayArticle.abstract???
Polymer flexibility and elasticity is enhanced by plasticizers. However, plasticizers are often not covalently bound to plastics and thus can leach from products into the environment. Much research effort has focused on their effects in mammalian species, but data on aquatic species are scarce. In this study, Western clawed frog (Silurana tropicalis) embryos were exposed to 1.3, 12.3, and 128.7mg/L monomethyl phthalate (MMP) until the juvenile stage (11weeks) and to 1.3mg/L MMP until the adult stage (51weeks). MMP decreased survival, hastened metamorphosis, and biased the sex ratio toward males (2M:1F) at the juvenile stage without altering the expression of a subset of thyroid hormone-, sex steroid-, cellular stress- or transcription regulation-related genes in the juvenile frog livers. At the adult stage, exposure to MMP did not have significant adverse health effects, except that females had larger interocular distance and the expression of the heat shock protein 70 was decreased by 60% in the adult liver. In conclusion, this study shows that MMP is unlikely to threaten amphibian populations as only concentrations four orders of magnitude higher than the reported environmental concentrations altered the animal physiology. This is the first complete investigation of the effects of phthalates in a frog species, encompassing the entire life cycle of the organisms.
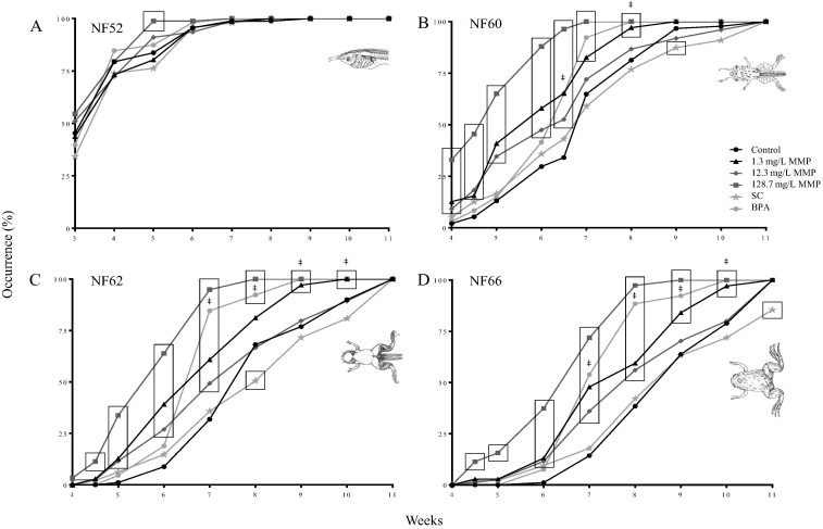
Fig. 1.
Effects of monomethyl phthalate on Western clawed frog metamorphosis. Metamorphosis starts by the occurrence of hind limbs (NF52; A), then the development of front limbs (NF60; B), a change in head width (NF62; C), and finally the regression of the tail (NF66; D). Data are expressed as percentage of animals that have reached each developmental stage. Each replicate contained 39–100 animals. Boxes indicate statistically significant differences between treatments and the control, while the symbol ‡ indicates statistically significant differences between the positive control and the solvent control. Data among the three MMP treatments were not statistically different. Legend: BPA: 3.0 mg/L bisphenol A as positive control, C: water-only control, MMP: monomethyl phthalate, and SC: solvent control for BPA (0.01% v/v DMSO). Stage drawings found on each figure panel are from Nieuwkoop and Faber (1994).
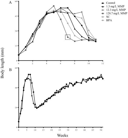
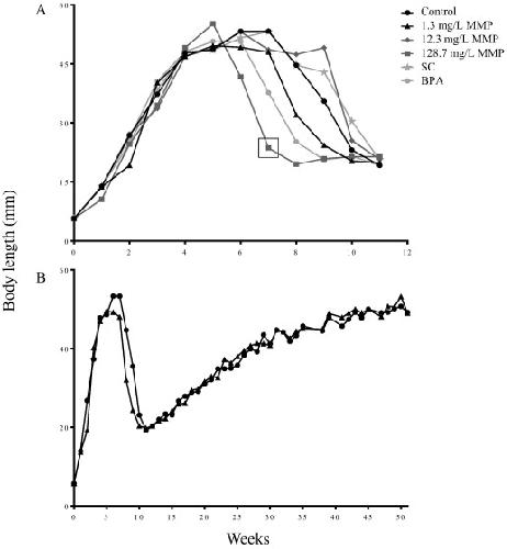
Fig. 2.
Effects of monomethyl phthalate on Western clawed frog body length after exposure of (A) 11 w and (B) 51 w. Data are expressed as mean. Every week, between 6 and 10 animals were measured from mouth to tail (NF46–NF66) and or from snout-to-vent (NF66 and on). The box indicates a statistically significant difference between the highest MMP concentration and the water-only control. Legend: BPA: 3.0 mg/L bisphenol A, C: water-only control, MMP: monomethyl phthalate, and SC: solvent control for BPA (0.01% v/v DMSO).
Fig. 3.
Effects of monomethyl phthalate on Western clawed frog sex ratio following 11 weeks of exposure. Data are expressed as percentage of male and female per treatment. Sex ratios were determined from 20 to 41 animals per treatment. The asterisk indicates a statistically significant difference between 128.7 mg/L MMP and the water-only control. Legend: BPA: 3.0 mg/L bisphenol A as positive control, C: water-only control, MMP: monomethyl phthalate, and SC: solvent control for BPA (0.01% v/v DMSO).
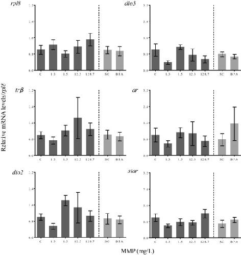
Fig. 4.
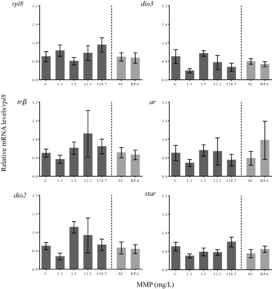
Expression of thyroid hormone- and reproduction-related genes in Western clawed frogs after 11 w of exposure to monomethyl phthalate. Data are presented as mean ± SEM. Ribosomal protein L8 (rpl8) was used as control gene to normalize the expression of target genes.
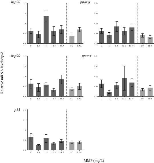
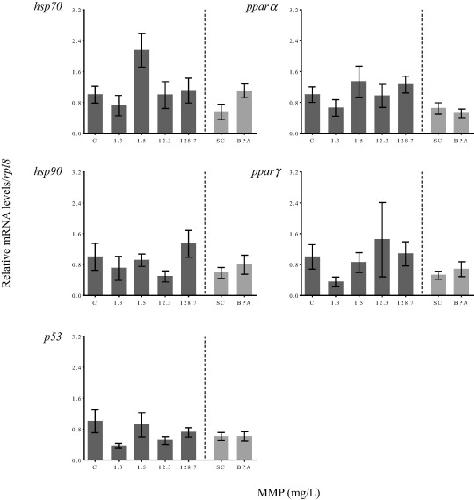
Fig. 5.
Expression of cellular stress- and peroxisome-related genes in Western clawed frogs after 11 w of exposure to monomethyl phthalate. Data are presented as mean ± SEM. Ribosomal protein L8 (rpl8) was used as control gene to normalize the expression of target genes.
Fig. 6.
Expression of thyroid hormone- and reproduction-related genes in Western clawed frogs after 51 w of exposure to monomethyl phthalate. Data are presented as mean ± SEM. Ornithine decarboxylase (odc) was used as control gene to normalize the expression of target genes.
Fig. 7.
Expression of cellular stress- and peroxisome-related genes in Western clawed frogs after 51 w of exposure to monomethyl phthalate. Data are presented as mean ± SEM. Ornithine decarboxylase (odc) was used as control gene to normalize the expression of target genes. The asterisk indicates a statistically significant difference between the males from the water-only control and the males from the 1.3 mg/L MMP.